【普及奨励事項】
|
1.課題の分類 線 虫・畑 作 2.試験課題名 ジャガイモシストセンチュウの防除技術確立 3)輪作体系確立試験 3.期 間 昭和48年〜57年 4.担 当 中央農試病虫部.畑作部 5.予算区分 道 費 6.協力分担 |
7.目 的
輪作年限と線虫密度の変動および線虫被害との関係を知り、また輪作作物の多収栽培を実証し、輪作体系確立の資料とする。
8.試験研究方法
試験実施場所 虻田郡真狩村
(1)輪作年限と線虫密度の変動
区分:連作、2年輪作、3年輪作、,5年輪作、7年輪作、9年輪作
殺線虫剤D-D50L/10a、ばれいしょ品種「紅丸」「ツニカ」の組合せ
(2)輪作作物の多収栽培
4年輪作区において実施. 輪作式:ジャガイモ→コムギ→マメ→テンサイ
①麦 類:ア、春播コムギの品種選定と播種量(300、500、700粒/㎡)
イ、春播コムギに対するCCC処理(20cc/a、5〜6葉期)
ウ、秋播コムギの播種期(8月下旬、9月上、中、下旬)と播種量(標準、1.5倍)
②豆 類:ア、アズキの品種選定
イ、早生品種に対する枯凋剤ジクワット処理(30cc/a,熟莢30%時)
ウ、ダイズの品種選定
工、ダイズの栽植法(畦幅66㎝一定、株間5〜25㎝、1株1〜2本立て)
③テンサイ:栽植法に関する試験 ア、畦幅と株間 イ、密度と配列の効果
9.結果の概要・要約
(1)連輪作と線虫密度の変動および作物の生育収量
①非寄主作物を1作すると線虫密度は約20〜30%減少する。しかし、感受性品種の栽培により低密度の場合でも高密度に復元した。
②ジャガイモの収量は輪作年限が長くなるにつれ回復するが,4年輪作区で「紅丸」は約70%、「ツニカ」は約80%に回復した。
(2)輪作作物の多収栽培
①春播コムギ:ア、短稈な外国品種との比較で「ハルヒカリ」が適し、標準栽培でよい。 イ、「ハルヒカリ」は稈長が長く倒伏する年が多かった。倒伏防止手段としてのCCC処理は、稈長が約12㎝短縮され倒伏は軽減された。(昭和55年指導参考)
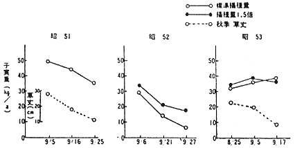
②秋播コムギ:ア、当長期積雪地帯では播種期が遅れると冬損が多発し減収する。(冬損の多発が輪作作物としての導入の阻害要因) イ、「ホロシリコムギ」の播種期は9月上旬が適期、中旬播では播種量1.5倍で穂数が確保され、収量回復(昭和52年度、標準の47%から78%に増加)がみられる。9月下旬播では冬損の多発及び生育量が劣って、播種量増による収量回復は困難である。
③アズキ:ア、品種では「暁大納言」が「宝小豆」に比し11%多収(昭和48年)であったが、成熟期の遅延しやすい当地帯では「宝小豆」が適している。イ、早生品種「ハヤテショウズ」の枯凋剤処理により秋播コムギの前作物としての利用可否を検討したが,茎葉枯凋は無処理の成熟期より約5日早まった(昭和54年)。成熟期の早い年(9月上旬)で利用できると考えられる。
④ダイズ:ア、品種では「キタムスメ」及び「トヨスズ」が10月上旬に成熟期に達し、多収であり適している。イ、ダイズの栽植本数は品種によって若干傾向は違ったが、概ね標準栽植本数のa当り800株程度でよい。
⑤テンサイ:糖分向上を目的とし、「モノヒル」を供試して、栽植法を密度と配列比(畦幅:株間)の関連で検討した。根重及び糖量は配列比を高め、正方形植に近づけるにつれ高まった。10a当り栽植本数は6000〜8000本が望ましい。(昭和52年、指導参考)
10.主要成果の具体的数字
輪作年限と線虫密度の変動

| 年次/ 輪作式 |
昭和 48年 |
49 | 50 | 51 | 52 | 53 | 54 | 55 | 56 |
| 連作 | ジャガ イモ |
ジャガ イモ |
ジャガ イモ |
ジャガ イモ |
ジャガ イモ |
ジャガ イモ |
ジャガ イモ |
ジャガ イモ |
ジャガ イモ |
| 交互作 | ムギ | ジャガ イモ |
ムギ | ジャガ イモ |
ムギ | ジャガ イモ |
ムギ | ジャガ イモ |
ムギ |
| 3年輪作 | マメ | テンサイ | ジャガ イモ |
マメ | テンサイ | ジャガ イモ |
マメ | テンサイ | ジャガ イモ |
| 5 〃 | ムギ | マメ | テンサイ | トウモ ロコシ |
ジャガ イモ |
ムギ | マメ | テンサイ | トウモ ロコシ |
| 7 〃 | ムギ | トウモ ロコシ |
マメ | テンサイ | アカク ローバ |
アカク ローバ |
ジャガ イモ |
ムギ | トウモ ロコシ |
| 9 〃 | ムギ | テンサイ | トウモ ロコシ |
マメ | アルファル ファ |
アルファル ファ |
アルファル ファ |
アルファル ファ |
ジャガ イモ |
第1表 連輪作と収量変動
| 品種 | 輪作式 | 上いも(Kg/10a) | 例数 | 無線虫ほ比 |
| 紅丸 | 無線虫ほ | 4,533.1±1,015.5 | 8 | 100 |
| 4年輪作 | 2,993.0±613.4 | 4 | 66 | |
| 3年輪作 | 2,761.3±497.8 | 3 | 61 | |
| 2年輪作 | 2,173.5±938.8 | 4 | 48 | |
| 連作 | 1,881.0±538.3 | 9 | 41 | |
| ツニカ | 無線虫ほ | 4,022.7±796.1 | 6 | 100 |
| 4年輪作 | 3,302.7±456.7 | 3 | 82 | |
| 3年輪作 | 2,641.5±385.4 | 2 | 66 | |
| 2年輪作 | 2,967.0±395.9 | 3 | 74 | |
| 連作 | 2,065.7±334.6 | 6 | 51 |

11.今後の問題点