【普及奨励事項】
|
秋播なたねの施肥に関する試験 (A)北海道立中央農業試験場化学部 北海道農業試験場 作物部 |
Ⅰ三要素試験
1)目的 菜種に対する施肥基準設定に関する基礎資料を得るために実施した。
2)試験実施場所
(イ)石狩郡石狩町 第四紀古層
海成洪積(頁岩質)埴土(1958~59年)
(ロ)岩内郡共和村 第四紀古層
〃 (砂岩質)埴壌土(1962~63年)
3)試験区別
1.無肥料区 2.無窒素区 3.無燐酸区 4.無加里区 5.三要素区
○供試品種 秋播菜種 岩内
○一区面積 16.5m2 2連制
○施用要素量(g/a)
石狩町 岩内町
窒素 1,140 1,200
燐酸 760 800
加里 570 800
○石狩町は全量基肥に施用、共和村の窒素は1/3基肥2/3分施とし、分施の窒素は越冬後の起生期に行う。
4)試験結果
ⅰ)生育調査結果
イ)石狩試験地
| 試験区別 | 草丈(㎝) | 茎数(30㎝間) | |||||
| 45日目 | 起生期 | 開花期 | 成熟期 | 45日目 | 起生期 | 開花期 | |
| 1 無肥料区 | 17.7 | 12.3 | 107.7 | 122.3 | 17 | 16 | 16 |
| 2 無窒素区 | 21.0 | 13.2 | 109.5 | 123.6 | 20 | 18 | 18 |
| 3 無燐酸区 | 21.9 | 18.2 | 129.4 | 137.4 | 16 | 14 | 15 |
| 4 無加里区 | 26.9 | 21.2 | 135.5 | 147.2 | 16 | 13 | 14 |
| 5 三要素区 | 35.4 | 21.9 | 134.7 | 141.3 | 18 | 17 | 18 |
ロ)共和村試験地
| 草丈(㎝) | 45日目 葉数 |
起生期 葉数 |
成熟期 分枝米 |
冬損 歩合 |
|||
| 45日目 | 起生期 | 成熟期 | |||||
| 1 無肥料区 | - | - | - | - | - | - | - |
| 2 無窒素区 | 25.4 | 19.4 | 133.6 | 5 | 6 | 5.5 | 6.3 |
| 3 無燐酸区 | 25.4 | 17.9 | 136.6 | 5 | 6.5 | 5.5 | 14.3 |
| 4 無加里区 | 31.5 | 21.4 | 142.5 | 6 | 7 | 7.5 | 27.8 |
| 5 三要素区 | 33.0 | 19.7 | 142.8 | 6 | 7 | 6.5 | 20.5 |
ⅱ)収量調査
| 試験区別 | 石狩試験地 | 共和村試験地 | ||||||
| a当収量(㎏) | 子実重比% | a当収量(㎏) | 子実重比% | |||||
| 茎稈重 | 莢重 | 子実重 | 茎稈重 | 莢重 | 子実重 | |||
| 1 無肥料区 | 27.62 | 13.87 | 24.43 | 68 | - | - | - | - |
| 2 無窒素区 | 36.82 | 17.96 | 29.66 | 82 | 41.36 | 15.65 | 21.10 | 77 |
| 3 無燐酸区 | 36.27 | 20.00 | 31.59 | 87 | 43.41 | 19.84 | 23.55 | 86 |
| 4 無加里区 | 39.66 | 23.41 | 36.14 | 100 | 52.69 | 21.60 | 26.20 | 96 |
| 5 三要素区 | 42.73 | 22.05 | 36.14 | 100 | 51.32 | 23.49 | 27.40 | 100 |
ⅲ)養分吸収量及粗脂肪収量(a当)
| 試験区別 | 石 狩 試 験 地 | 共 和 試 験 地 | ||||||
| 窒素(g) | 燐酸(g) | 加里(g) | (粗脂肪)(㎏) | (粗脂肪率)(%) | 窒素(g) | 燐酸(g) | 加里(g) | |
| 無肥料区 | 1001 | 370 | 638 | 10.39 | 64 | - | - | - |
| 無窒素区 | 1146 | 487 | 808 | 12.99 | 80 | 1121 | 590 | 1262 |
| 無燐酸区 | 1182 | 465 | 911 | 14.19 | 88 | 1340 | 514 | 1357 |
| 無加里区 | 1437 | 548 | 1011 | 16.61 | 103 | 1693 | 729 | 1627 |
| 三要素区 | 1372 | 570 | 1027 | 16.19 | 100 | 1621 | 671 | 1597 |
ⅳ)考察
イ)石狩町
冬枯れによる被害は比較的少なく、収量調査結果では三要素の中窒素が最も肥効が大で、次いで燐酸肥効が認められたが、加里の肥効は全く認められなかった。
尚三要素吸収量は窒素が死赤穂1372g/a、燐酸570g/a、加里1027g/aで落葉の分も考えると、非常に多肥性作物である。
ロ)共和村
冬枯れは無加里区が最も被害が大きく、三要素区、無燐酸区、無窒素区の順であった。
収量調査結果は、石狩町と同じ傾向にあった。
すなわち、三要素の中で窒素の肥が大で、燐酸これに次ぎ、加里の肥効も多少認められた。
三要素の最高収量は、窒素1621g/a、燐酸671g/a、加里1597g/aとなって、燐酸加里は、石狩町より多かった。
Ⅱ養分吸収家庭に関する調査(1963~64年)
1)目的 なたねの無機成分(窒素、燐酸、加里、石灰、苦土)の吸収家庭を調査し、合理的な施肥法の基礎資料とする。
2)試験方法
①試験実施場所 北海道立中央農業試験場発寒川 沖積土壌、埴壌土
②供試品種 岩内種
③施肥量(a当要素量)
窒素 1130g(1/3基肥2/3起生期に分施)
燐酸 750g
加里 560g
④栽植密度 畦巾45㎝、株間30㎝間に千鳥に6本10a当1.08L播種し、越冬前後に間引いて上述の如くする。
⑤資料採取回数 越冬前2回、越冬後は、窒素分施前1回、以後約15日おきに採取し、窒素、燐酸、加里、石灰、苦土を各部地別に分析調査した。
3)試験結果および考察
(1)草丈、乾物重
第1表 生育概況 (個体当)
| 24/10 | 3/12 | 1/4 | 15/4 | 4/5 | 18/5 | 1/6 | 13/6 | 1/7 | (16/7)* | 29/7 | ||
| 草丈 (㎝) | 14.1 | 18.9 | 13.1 | 15.1 | 17.3 | 86.2 | 138.6 | 136.0 | 140.6 | 134.5 | 144.6 | |
| 葉数 (枚) | 4.6 | 5.8 | 3.3 | 4.2 | 8.8 | 13.4 | 12.8 | 4.8 | ||||
| 分枝数 (本) | 5.2 | 9.8 | 7.4 | 8.8 | 7.6 | 8.6 | ||||||
| 乾物重(g) | 葉部 | 0.8 | 3.55 | 0.99 | 1.41 | 2.17 | 6.54 | 4.22 | 1.96 | 0.18 | ||
| 茎稈部 | 0.48 | 7.26 | 14.66 | 15.86 | 19.56 | 14.62 | 14.86 | |||||
| 花部 | 1.16 | 3.62 | ||||||||||
| 莢部 | 6.56 | 15.92 | 10.70 | 11.06 | ||||||||
| 子実部 | 1.88 | 6.38 | 8.38 | 13.32 | ||||||||
| 総重 | 0.8 | 3.55 | 0.99 | 1.41 | 2.65 | 14.96 | 22.50 | 26.24 | 42.04 | 33.70 | 39.24 | |
| 生 育 状 況 | 9月11日 9月17日 4月28日 5月10日 6月19日 7月29日 播種期 発芽期 抽苔気 開花期 落花期 成熟期 |
|||||||||||
第1表にみられる如く越冬前の生育量は、播種から積雪をみるまで約2ヶ月の期間があるので、相当量に達した(抽苔期より多い)が、越冬後は冬損により一時草丈、乾物量は低下する。抽苔期頃より草丈、乾物重の増大は急速となり、草丈は落花終期頃に最高に達するが乾物重はややおくれて6月下旬頃から7月上旬に最高に達するものと思われた。
乾物重の推移を部位別にみると、先ず開花盛期に葉重が最高に達し、次いで茎稈重の増加が急速となり、稍々遅れて莢重も増大した。
この両者は6月下旬から7月上旬に最高に達し、それが減少しはじめると、これを補償するように子実重が増大した。すなわち秋播なたねの器官形成は葉→茎稈→莢→子実重の順に進行する。
(2)無機成分含有率
第2表 無機成分含有率 (乾物%)
| 24/10 | 3/12 | 1/4 | 15/4 | 4/5 | 18/5 | 1/6 | 14/6 | 1/7 | (16/7)* | 29/7 | ||
| 窒素 | 葉部 | 4.60 | 4.03 | 5.78 | 5.28 | 4.31 | 3.51 | 3.47 | 3.28 | |||
| 茎稈部 | 2.91 | 1.70 | 1.20 | 1.19 | 0.62 | 0.50 | 0.52 | |||||
| 花部 | 5.40 | 4.15 | ||||||||||
| 莢部 | 2.71 | 1.35 | 0.88 | 0.59 | ||||||||
| 子実部 | 3.24 | 3.37 | 3.46 | 3.49 | ||||||||
| 燐酸 | 葉部 | 1.15 | 1.08 | 1.50 | 1.50 | 1.04 | 0.68 | 0.82 | 0.77 | |||
| 茎稈部 | 0.67 | 0.84 | 0.69 | 0.64 | 0.31 | 0.26 | 0.22 | |||||
| 花部 | 2.02 | 1.44 | ||||||||||
| 莢部 | 1.19 | 0.79 | 0.72 | 0.51 | ||||||||
| 子実部 | 1.33 | 1.66 | 1.69 | 1.69 | ||||||||
| 加里 | 葉部 | 3.14 | 2.40 | 2.69 | 3.90 | 2.88 | 2.54 | 2.85 | 2.93 | |||
| 茎稈部 | 1.53 | 2.73 | 1.95 | 1.80 | 1.57 | 1.40 | 1.33 | |||||
| 花部 | 1.13 | 1.15 | ||||||||||
| 莢部 | 2.38 | 2.10 | 1.80 | 1.61 | ||||||||
| 子実部 | 1.67 | 1.24 | 0.90 | 0.83 | ||||||||
| 石灰 | 葉部 | 2.29 | 2.05 | 0.87 | 1.10 | 1.84 | 2.73 | 3.78 | 4.81 | |||
| 茎稈部 | 0.33 | 0.70 | 0.71 | 0.76 | 0.89 | 1.00 | 1.05 | |||||
| 花部 | 1.06 | 1.00 | ||||||||||
| 莢部 | 1.09 | 1.63 | 2.61 | 2.73 | ||||||||
| 子実部 | 0.83 | 0.59 | 0.50 | 0.47 | ||||||||
| 苦土 | 葉部 | 0.43 | 0.57 | 0.46 | 0.52 | 0.58 | 0.58 | 0.55 | 0.44 | |||
| 茎稈部 | 0.34 | 0.23 | 0.27 | 0.20 | 0.19 | 0.13 | 0.13 | |||||
| 花部 | 0.26 | 0.32 | ||||||||||
| 莢部 | 0.57 | 0.28 | 0.22 | 0.11 | ||||||||
| 子実部 | 0.29 | 0.32 | 0.44 | 0.51 | ||||||||
第2表によれば、葉部の窒素、燐酸の含有率は、秋期は生育の進むにつれ低下するが、越冬直後に再び高まって最高に達し、以後減少の方向をとる、加里も秋は同様であるが越冬後稍々遅れて、最高に達し、抽台期以後は大きな変化はない。石灰は生育初期に高く、越冬後は急激に低下するが、生育の進展と共に再び増加し、越冬直後の6倍位に達した。苦土の変化は生育初期より緩慢であったが葉重の多い時期に稍高い傾向にあった。
茎稈、莢の含有率は、窒素、燐酸、加里、苦土は初期に高く、以後低下の方向を示したが、石灰は、漸増の傾向を示した。
子実の窒素、燐酸、苦土の含有率は初期より漸増の傾向を示し、加里、石灰は初期に高く以後漸次低下の経過をとった。
(3)無機成分吸収量
第3表 無機成分吸収量 (mg/個体)
| 24/10 | 3/12 | 1/4 | 15/4 | 4/5 | 18/5 | 1/6 | 13/6 | 1/7 | (16/7) | 29/7 | ||
| 窒素 | 葉部 | 36.8 | 143.1 | 57.2 | 74.4 | 93.5 | 229.6 | 146.4 | 64.3 | |||
| 茎稈部 | 14.0 | 123.4 | 175.9 | 188.7 | 121.3 | 73.1 | 77.3 | |||||
| 花部 | 62.6 | 150.2 | ||||||||||
| 莢部 | 181.1 | 214.9 | 94.2 | 65.3 | ||||||||
| 子実部 | 62.8 | 215.0 | 289.9 | 464.9 | ||||||||
| 合計 | 36.8 | 143.1 | 57.2 | 74.4 | 107.5 | 415.6 | 472.5 | 496.9 | 551.2 | 457.2 | 607.5 | |
| 燐酸 | 葉部 | 9.2 | 38.3 | 14.9 | 21.2 | 22.6 | 44.5 | 34.6 | 15.1 | |||
| 茎稈部 | 3.2 | 61.0 | 101.2 | 101.5 | 60.6 | 38.0 | 32.7 | |||||
| 花部 | 23.4 | 52.1 | ||||||||||
| 莢部 | 78.1 | 125.8 | 77.0 | 56.4 | ||||||||
| 子実部 | 25.0 | 105.9 | 139.9 | 225.1 | ||||||||
| 合計 | 9.2 | 38.3 | 14.9 | 21.1 | 25.8 | 128.9 | 187.9 | 219.7 | 292.3 | 254.9 | 314.2 | |
| 加里 | 葉部 | 25.1 | 85.2 | 26.6 | 55.0 | 62.5 | 166.1 | 120.3 | 57.4 | |||
| 茎稈部 | 7.3 | 198.2 | 285.9 | 288.5 | 309.0 | 204.7 | 197.6 | |||||
| 花部 | 13.1 | 41.6 | ||||||||||
| 莢部 | 156.1 | 334.3 | 192.6 | 178.1 | ||||||||
| 子実部 | 31.4 | 79.1 | 75.4 | 110.6 | ||||||||
| 合計 | 25.1 | 85.2 | 26.6 | 55.0 | 69.8 | 377.4 | 447.8 | 533.4 | 722.4 | 472.7 | 486.3 | |
| 石灰 | 葉部 | 18.3 | 72.8 | 8.6 | 15.5 | 39.9 | 178.5 | 159.5 | 94.3 | |||
| 茎稈部 | 1.6 | 50.8 | 104.0 | 120.5 | 174.1 | 146.2 | 156.0 | |||||
| 花部 | 12.3 | 36.2 | ||||||||||
| 莢部 | 71.5 | 259.5 | 279.3 | 301.9 | ||||||||
| 子実部 | 15.6 | 37.6 | 41.9 | 62.6 | ||||||||
| 合計 | 18.3 | 72.8 | 8.6 | 15.5 | 41.5 | 241.6 | 299.7 | 301.9 | 471.2 | 467.4 | 520.5 | |
| 苦土 | 葉部 | 3.4 | 20.2 | 4.6 | 7.3 | 12.6 | 37.9 | 23.2 | 8.6 | |||
| 茎稈部 | 1.6 | 16.7 | 39.6 | 31.7 | 37.2 | 19.0 | 19.3 | |||||
| 花部 | 3.0 | 11.6 | ||||||||||
| 莢部 | 37.4 | 44.6 | 23.5 | 12.2 | ||||||||
| 子実部 | 5.5 | 20.4 | 36.9 | 67.9 | ||||||||
| 合計 | 3.4 | 20.2 | 4.6 | 7.3 | 14.2 | 57.6 | 74.4 | 83.2 | 102.2 | 79.4 | 99.4 | |
第3表に示す通り、各要素の吸収経過は、大体乾物重の経過と並行したが、加里の吸収量の最大になる時期は6月下旬から7月上旬であり、窒素、燐酸、石灰は生育末期まで増大した。苦土は7月上旬に最大となり平行状態と成った。
尚、開花盛期より莢形成始頃におあけて、各要素の吸収速度が、ゆるやかになることは、生育の質的転換期のためと考えられるが、興味あることであった。
(4)無機成分の移行
第3表より、窒素、燐酸、苦土は茎莢よりかなり子実へ移行がみられるが、加里、石灰の移行、特に石灰のそれは僅少であることが認められる。
第4表 落葉の推移
| 期 間 | 13/6 | 16/6 | 20/6 | 25/6 | 1/7 | 合計 | 最大吸収量との差 | |
| 乾物重 g/1個体 | 1.60 | 0.10 | 0.178 | 0.26 | 0.13 | 2.26 | ||
| 含有率(無水物%) | 窒素 | 1.00 | 1.28 | 1.16 | 1.09 | 1.09 | ||
| 燐酸 | 1.01 | 0.22 | 0.23 | 0.27 | 0.28 | |||
| 加里 | 0.34 | 1.32 | 1.23 | 1.41 | 1.29 | |||
| 石灰 | 1.45 | 5.63 | 6.38 | 6.42 | 7.19 | |||
| 苦土 | 7.44 | 0.62 | 0.99 | 0.75 | 1.02 | |||
| 含量(㎏/1個体) | 窒素 | 12.5 | 1.3 | 2.3 | 3.7 | 1.3 | 22.1 | 207.5 |
| 燐酸 | 3.9 | 0.2 | 0.5 | 0.9 | 0.3 | 5.8 | 38.7 | |
| 加里 | 19.9 | 1.4 | 3.1 | 4.7 | 1.8 | 30.9 | 135.2 | |
| 石灰 | 82.6 | 5.4 | 14.0 | 24.7 | 9.3 | 136.0 | 42.5 | |
| 苦土 | 8.1 | 5.5 | 9.3 | 1.9 | 0.6 | 25.4 | 12.5 | |
落葉は、落花終後、急速に落葉して、7月上旬に殆どみられない。そこで落葉を集めて分析した結果を第4表に示したが、石灰が多く、加里、苦土、窒素と次ぎ、燐酸は一番少ない。今これらの量と葉のこれらの成分の最大吸収量との差、すなわち葉から他の部位への移行量と、成熟期のこれ等の成分の子実中の量とを比較すると、窒素、燐酸、苦土は遙かに達する時期で、茎莢で最大量になる時期とはかなりのずれがみられる(約30~45日)これ等の事から葉は子実には直接働かず、茎莢がかなり寄与しているものと思考される。
尚、他の部位より子実に特に苦土、燐酸が多いことは苦土、燐、燐脂質、および油脂の間の関係を示すものといえよう。
Ⅲ窒素用量試験(1962~63年)
1)目的
なたねの栽培面積の多い、石狩、後志支庁管内に於いて、窒素の容量試験を行い、合理的施肥基準設定に関する基礎資料を得るために実施する。
2)実施場所
(イ)石狩郡石狩町高岡
第四紀古層 海成洪積 頁岩 埴土
(ロ)岩内郡共和村
第四紀古層 海成洪積 砂岩 埴譲土
3)試験方法
(イ)石狩試験地
| 試験区別 | 施肥量 ㎏/a | 備 考 | ||
| 窒 | 燐酸 | 加里 | ||
| 1無窒素区 | - | 0.8 | 0.8 | 窒素施用法1/3量 基肥2/3量起生期に分肥 Mgoとして各区0.4㎏/a施用する。 2区制 |
| 2窒素4㎏ 燐酸8㎏ | 0.4 | 〃 | 〃 | |
| 3窒素8㎏ 燐酸8㎏ | 0.8 | 〃 | 〃 | |
| 4窒素12㎏ 燐酸8㎏ | 1.2 | 〃 | 〃 | |
| 5窒素16㎏ 燐酸8㎏ | 1.6 | 〃 | 〃 | |
| 6窒素8㎏ 燐酸16㎏ | 0.8 | 1.6 | 〃 | |
| 7窒素12㎏ 燐酸16㎏ | 1.2 | 〃 | 〃 | |
| 8窒素16㎏ 燐酸16㎏ | 1.6 | 〃 | 〃 | |
(ロ)共和村試験地
| 試験区別 | 施肥量 ㎏/a | 備 考 | ||
| 窒素 | 燐酸 | 加里 | ||
| 1無窒素区 | - | 0.8 | 0.8 | 窒素施用法1/3量基肥2/3量起生期に分施 Mgoとして各区0.4㎏/a施用する。 10~14区は深耕 |
| 2無燐酸区 | 1.2 | - | 〃 | |
| 3窒素4㎏ 燐酸8㎏区 | 0.4 | 0.8 | 0.8 | |
| 4窒素8㎏ 燐酸8㎏区 | 0.8 | 〃 | 〃 | |
| 5窒素12㎏ 燐酸8㎏区 | 1.2 | 〃 | 〃 | |
| 6窒素16㎏ 燐酸8㎏区 | 1.6 | 〃 | 〃 | |
| 7窒素8㎏ 燐酸16㎏区 | 0.8 | 1.6 | 〃 | |
| 8窒素12㎏ 燐酸16㎏区 | 1.2 | 〃 | 〃 | |
| 9窒素16㎏ 燐酸16㎏区 | 1.6 | 〃 | 〃 | |
| 10無窒素区 | - | 〃 | 〃 | |
| 11窒素8㎏ 燐酸16㎏区 | 0.8 | 〃 | 〃 | |
| 12窒素12㎏ 燐酸16㎏区 | 1.2 | 〃 | 〃 | |
| 13窒素16㎏ 燐酸16㎏区 | 1.6 | 〃 | 〃 | |
| 14窒素20㎏ 燐酸16㎏区 | 2.0 | 〃 | 〃 | |
4)試験成績
石狩試験地 生育収量調査
| 試験区別 | 45日目 草丈 (㎝) |
起生用 | 成熟期 | 冬損 歩合 (%) |
a当収量(㎏) | 子実 重比 (%) |
子実(g) | ||||||
| 草丈 (㎝) |
葉数 (枚) |
草丈 (㎝) |
分枝数 (枚) |
総重 | 茎莢重 | 子実重 | 1粒重 | 千粒重 | 粒大 (mm) |
||||
| 1 -N | 12.5 | 7.9 | 3 | 89.3 | 4 | 39.6 | 39.67 | 27.27 | 12.40 | 100 | 627 | 5.8 | 2.07 |
| 2 N4P8 | 15.0 | 9.4 | 3.5 | 104.6 | 5 | 36.2 | 57.85 | 39.69 | 18.16 | 146 | 634 | 5.3 | 2.02 |
| 3 N8P8 | 16.3 | 10.5 | 3.5 | 108.7 | 7 | 29.2 | 58.75 | 39.11 | 19.64 | 158 | 640 | 5.5 | 2.04 |
| 4 N12P8 | 16.8 | 11.1 | 4 | 108.0 | 7 | 44.5 | 65.91 | 43.39 | 22.52 | 182 | 643 | 5.5 | 2.00 |
| 5 N16P8 | 17.6 | 11.6 | 5 | 107.7 | 7 | 42.7 | 68.10 | 44.36 | 23.75 | 192 | 640 | 5.5 | 2.03 |
| 6 N8P16 | 16.3 | 10.6 | 4 | 106.8 | 7 | 35.9 | 61.79 | 40.70 | 21.09 | 170 | 638 | 5.5 | 2.03 |
| 7 N12P16 | 17.3 | 11.8 | 4 | 108.9 | 7 | 36.8 | 73.33 | 47.82 | 25.52 | 206 | 644 | 5.3 | 2.05 |
| 8 N16P16 | 16.7 | 13.6 | 5 | 114.8 | 8 | 38.1 | 74.88 | 48.41 | 26.47 | 213 | 644 | 5.8 | 2.06 |
分析結果(乾物百分中%)
| 試験区別 | 窒 素 | 燐 酸 | 加 里 | ||||||
| 茎稈 | 莢 | 子実 | 茎稈 | 莢 | 子実 | 茎稈 | 莢 | 子実 | |
| 1 -N | 0.61 | 0.85 | 3.99 | 0.11 | 0.21 | 1.20 | 1.04 | 2.15 | 0.71 |
| 2 N4P8 | 0.66 | 0.85 | 3.61 | 0.12 | 0.18 | 1.40 | 1.28 | 2.00 | 0.63 |
| 3 N8P8 | 0.58 | 0.86 | 3.52 | 0.14 | 0.20 | 1.31 | 1.25 | 2.05 | 0.73 |
| 4 N12P8 | 0.60 | 0.85 | 3.56 | 0.13 | 0.24 | 1.30 | 1.44 | 2.12 | 0.73 |
| 5 N16P8 | 0.70 | 0.89 | 3.73 | 0.19 | 0.26 | 1.31 | 1.10 | 2.17 | 0.68 |
| 6 N8P16 | 0.63 | 0.92 | 3.53 | 0.16 | 0.29 | 1.38 | 1.31 | 2.22 | 0.76 |
| 7 N12P16 | 0.63 | 0.90 | 3.78 | 0.15 | 0.31 | 1.51 | 1.57 | 1.79 | 0.77 |
| 8 N16P16 | 0.77 | 0.97 | 3.94 | 0.15 | 0.28 | 1.49 | 1.33 | 2.28 | 0.72 |
吸収量(㎏/a)
| 試験区別 | 窒 素 | 燐 酸 | 加 里 | |||||||||
| 茎稈 | 莢 | 子実 | 計 | 茎稈 | 莢 | 子実 | 計 | 茎稈 | 莢 | 子実 | 計 | |
| 1 -N | 0.123 | 0.061 | 0.495 | 0.679 | 0.022 | 0.015 | 0.149 | 0.186 | 0.209 | 0.154 | 0.088 | 0.451 |
| 2 N4P8 | 0.187 | 0.095 | 0.656 | 0.938 | 0.034 | 0.021 | 0.254 | 0.309 | 0.362 | 0.228 | 0.114 | 0.704 |
| 3 N8P8 | 0.164 | 0.095 | 0.691 | 0.949 | 0.039 | 0.022 | 0.257 | 0.318 | 0.353 | 0.224 | 0.143 | 0.720 |
| 4 N12P8 | 0.186 | 0.105 | 0.802 | 1.093 | 0.040 | 0.052 | 0.293 | 0.385 | 0.447 | 0.261 | 0.158 | 0.866 |
| 5 N16P8 | 0.240 | 0.114 | 0.886 | 1.240 | 0.060 | 0.030 | 0.311 | 0.401 | 0.347 | 0.278 | 0.162 | 0.787 |
| 6 N8P16 | 0.170 | 0.117 | 0.744 | 1.037 | 0.045 | 0.037 | 0.291 | 0.373 | 0.366 | 0.283 | 0.160 | 0.809 |
| 7 N12P16 | 0.209 | 0.132 | 0.965 | 1.306 | 0.050 | 0.045 | 0.386 | 0.481 | 0.520 | 0.263 | 0.197 | 0.980 |
| 8 N16P16 | 0.255 | 0.148 | 1.043 | 1.446 | 0.050 | 0.043 | 0.394 | 0.487 | 0.441 | 0.349 | 0.191 | 0.981 |
共和試験地 生育収量調査
| 試験区別 | 45日目 | 起生期 | 成熟期 | 冬損 歩合 % |
a当収量(㎏) | 子実 重比 % |
子実 | |||||||
| 草丈 (㎝) |
葉数 (枚) |
草丈 (㎝) |
葉数 (枚) |
草丈 (㎝) |
葉数 (枚) |
総重 | 茎莢重 | 子実重 | 1立重 (g) |
千粒重 (g) |
粒大 (mm) |
|||
| 1 -N | 25.4 | 5 | 19.4 | 6 | 133.6 | 5.5 | 6.3 | 78.11 | 57.01 | 21.10 | 100 | 627 | 6.5 | 2.21 |
| 2 -P | 25.4 | 5 | 17.9 | 6.5 | 136.6 | 5.5 | 14.3 | 86.80 | 63.25 | 23.55 | 112 | 628 | 6.0 | 2.20 |
| 3 N4P8 | 28.8 | 5 | 20.0 | 7 | 141.9 | 6.5 | 36.2 | 100.49 | 74.29 | 26.20 | 124 | 629 | 6.0 | 2.20 |
| 4 N8P8 | 28.1 | 5 | 19.7 | 6.5 | 143.3 | 7.5 | 19.1 | 96.19 | 70.39 | 25.80 | 122 | 627 | 5.8 | 2.19 |
| 5 N12P8 | 33.0 | 6 | 19.7 | 7 | 142.8 | 8.5 | 20.5 | 104.79 | 77.52 | 27.27 | 129 | 631 | 6.0 | 2.25 |
| 6 N16P8 | 37.2 | 5.5 | 19.3 | 6.5 | 142.3 | 7.5 | 14.3 | 102.21 | 74.81 | 27.40 | 130 | 634 | 6.3 | 2.22 |
| 7 N8P16 | 35.0 | 6 | 23.0 | 78 | 147.9 | 7.5 | 13.7 | 104.23 | 74.25 | 29.73 | 141 | 632 | 6.0 | 2.23 |
| 8 N12P16 | 34.7 | 6 | 21.3 | 6 | 141.9 | 7.5 | 26.5 | 114.19 | 85.59 | 28.60 | 136 | 629 | 6.8 | 2.24 |
| 9 N16P16 | 36.3 | 6 | 21.8 | 7 | 145.5 | 8.5 | 12.4 | 104.96 | 77.15 | 27.31 | 129 | 631 | 6.3 | 2.28 |
| 10 -N | 25.2 | 5 | 18.2 | 6 | 135.1 | 5.5 | 19.9 | 75.90 | 52.29 | 23.61 | 100 | 622 | 6.0 | 2.35 |
| 11 N8P16 | 29.8 | 5.5 | 20.5 | 7 | 142.7 | 7 | 21.7 | 95.97 | 66.13 | 29.84 | 126 | 633 | 6.0 | 2.21 |
| 12 N12P16 | 33.1 | 5.5 | 23.5 | 7 | 151.4 | 8 | 15.6 | 107.15 | 74.42 | 32.74 | 139 | 641 | 6.0 | 2.24 |
| 13 N16P16 | 33.4 | 6 | 23.1 | 7.5 | 151.4 | 7.5 | 24.0 | 107.74 | 74.92 | 32.84 | 139 | 631 | 6.5 | 2.23 |
| 14 N20P16 | 35.6 | 6 | 23.0 | 7 | 145.4 | 8 | 22.7 | 113.94 | 79.44 | 34.30 | 145 | 633 | 6.0 | 2.25 |
分析結果(乾物百分中%)
| 試験区別 | 窒 素 | 燐 酸 | 加 里 | ||||||
| 茎稈 | 莢 | 子実 | 茎稈 | 莢 | 子実 | 茎稈 | 莢 | 子実 | |
| 1 -N | 0.73 | 0.58 | 3.45 | 0.34 | 0.44 | 1.80 | 1.93 | 1.98 | 0.73 |
| 2 -P | 0.72 | 0.94 | 3.57 | 0.17 | 0.39 | 1.54 | 1.88 | 1.86 | 0.71 |
| 3 N4P8 | 0.81 | 0.94 | 3.58 | 0.15 | 0.48 | 1.73 | 1.79 | 1.83 | 0.75 |
| 4 N8P8 | 0.69 | 0.93 | 3.60 | 0.15 | 0.41 | 1.61 | 1.88 | 1.81 | 0.75 |
| 5 N12P8 | 0.74 | 1.03 | 3.60 | 0.19 | 0.45 | 1.70 | 1.75 | 1.81 | 0.83 |
| 6 N16P8 | 0.80 | 0.98 | 3.60 | 0.20 | 0.50 | 1.73 | 2.29 | 2.00 | 0.79 |
| 7 N8P16 | 0.68 | 0.89 | 3.65 | 0.19 | 0.46 | 1.85 | 1.81 | 1.95 | 0.83 |
| 8 N12P16 | 0.88 | 0.92 | 3.81 | 0.24 | 0.53 | 1.63 | 1.77 | 2.07 | 0.85 |
| 9 N16P16 | 0.82 | 1.06 | 3.80 | 0.20 | 0.44 | 1.84 | 1.86 | 2.02 | 0.77 |
| 10 -N | 0.70 | 0.73 | 3.45 | 0.25 | 0.44 | 1.70 | 1.86 | 2.00 | 0.73 |
| 11 N8P16 | 0.76 | 0.73 | 3.32 | 0.25 | 0.43 | 1.70 | 1.95 | 1.90 | 0.74 |
| 12 N12P16 | 0.67 | 0.88 | 3.73 | 0.20 | 0.41 | 1.75 | 2.00 | 1.86 | 0.82 |
| 13 N16P16 | 0.89 | 1.05 | 3.88 | 0.25 | 0.50 | 1.60 | 2.07 | 1.95 | 0.77 |
| 14 N20P16 | 0.79 | 1.04 | 3.80 | 0.22 | 0.43 | 2.00 | 1.71 | 1.81 | 0.79 |
吸収量(㎏/a)
| 試験区別 | 窒 素 | 燐 酸 | 加 里 | |||||||||
| 茎稈 | 莢 | 子実 | 計 | 茎稈 | 莢 | 子実 | 計 | 茎稈 | 莢 | 子実 | 計 | |
| 1 -N | 0.302 | 0.091 | 0.728 | 1.121 | 0.141 | 0.069 | 0.380 | 0.590 | 0.798 | 0.310 | 0.154 | 1.262 |
| 2 -P | 0.313 | 0.186 | 0.841 | 1.340 | 0.074 | 0.077 | 0.363 | 0.514 | 0.816 | 0.369 | 0.174 | 1.359 |
| 3 N4P8 | 0.427 | 0.203 | 0.938 | 1.568 | 0.079 | 0.103 | 0.453 | 0.635 | 0.940 | 0.395 | 0.197 | 1.532 |
| 4 N8P8 | 0.347 | 0.187 | 0.929 | 1.463 | 0.075 | 0.082 | 0.415 | 0.572 | 0.946 | 0.364 | 0.188 | 1.498 |
| 5 N12P8 | 0.404 | 0.245 | 0.982 | 1.621 | 0.104 | 0.103 | 0.464 | 0.671 | 0.957 | 0.414 | 0.226 | 1.597 |
| 6 N16P8 | 0.411 | 0.230 | 0.982 | 1.627 | 0.103 | 0.113 | 0.474 | 0.694 | 1.175 | 0.470 | 0.216 | 1.861 |
| 7 N8P16 | 0.351 | 0.204 | 0.986 | 1.640 | 0.098 | 0.105 | 0.550 | 0.753 | 0.934 | 0.446 | 0.247 | 1.627 |
| 8 N12P16 | 0.541 | 0.222 | 1.085 | 1.853 | 0.148 | 0.128 | 0.466 | 0.742 | 1.089 | 0.499 | 0.243 | 1.831 |
| 9 N16P16 | 0.449 | 0.238 | 1.090 | 1.725 | 0.109 | 0.099 | 0.503 | 0.711 | 1.018 | 0.453 | 0.210 | 1.681 |
| 10 -N | 0.249 | 0.122 | 0.815 | 1.186 | 0.089 | 0.074 | 0.401 | 0.564 | 0.662 | 0.334 | 0.172 | 1.168 |
| 11 N8P16 | 0.342 | 0.154 | 1.038 | 1.534 | 0.113 | 0.091 | 0.507 | 0.711 | 0.878 | 0.401 | 0.221 | 1.500 |
| 12 N12P16 | 0.335 | 0.215 | 0.991 | 1.771 | 0.100 | 0.100 | 0.753 | 0.773 | 1.000 | 0.455 | 0.268 | 1.723 |
| 13 N16P16 | 0.451 | 0.250 | 1.274 | 1.975 | 0.127 | 0.119 | 0.525 | 0.771 | 1.048 | 0.464 | 0.253 | 1.765 |
| 14 N20P16 | 0.423 | 0.269 | 1.303 | 1.995 | 0.118 | 0.111 | 0.686 | 0.915 | 0.917 | 0.468 | 0.271 | 1.656 |
窒素吸収率(%)
| 試験区別 | (石狩)窒素 | (共和)窒素 | (共和深耕)窒素 |
| N4P8 | 65 | 112 | |
| N8P8 | 34 | 43 | |
| N12P8 | 34 | 42 | |
| N16P8 | 35 | 32 | |
| N8P16 | 45 | 65 | 37 |
| N12P16 | 52 | 61 | 49 |
| N16P16 | 48 | 37 | 49 |
| N20P16 | 40 |
5)考察
生育調査
石狩、共和の量試験地共に発芽状態は良好で、越冬前の生育も整一になる経過を示し、窒素の増加に伴い生育が旺盛となり、葉色も濃色を呈したが、共和に於いては、窒素16㎏施用以上の各区は稍過剰気味となり、生育が抑制的傾向にあった。
両試験地共燐酸の倍量区生育は旺盛であり、共和の深耕区は生育量が特に多かった。
起生期は各試験地共に4月15日前後と成り、冬損歩合は石狩に於いては35%前後、共和は20%前後となったが、深耕区の方が稍々冬損歩合が少ない様に観察された。しかし、数字の上ではその差が判然としないが、共和に於いては16㎏以上は稍々過剰気味の傾向を示した。
燐酸を倍量施用した各区は、草丈、葉色、葉巾ともに稍々まさる様に観察されたが、数字の上では判然としなかった。
7月下旬、成熟期に成り、両試験地共に収穫を了した。
収量調査
石狩試験地は、窒素量の増加に伴い収量は増加し、燐酸の増施効果も認められた。
共和試験地は、窒素の増加に伴い、停滞気味ではあるが、収量が増加し、燐酸の増施効果は判然としなかったが、深耕を行った場合は、窒素の増施効果が認められた。
分析結果
分析結果から、石狩においては窒素16㎏区が窒素の含有率高く、窒素12㎏区と16㎏区の収量差が僅少のことから、大体16㎏位が過剰段階への転位点の様に思われる。燐酸増施区の窒素含有率、吸収量の高いことが認められた。しかし燐酸、加里、の含有率には一定の傾向は認め難かった。共和試験地に於いて、三要素の含有率の一定の傾向は認め難いが、吸収量は窒素施用の増加に伴い増加しているが、収量には結び付かず、石狩試験地に比較して吸収量が多い割合に収量が高くない所に問題がある様に思われた。
吸収率をみると、石狩試験地の場合、燐酸を増量した場合、窒素の吸収率が上昇し、共和の場合も同様の傾向が認められた。
しかし何れにしても窒素16㎏区の吸収率が低いこと、収量差の少ないことから16㎏では多い様である。
深耕した場合は、普通耕の場合より稍上昇が少ないが、N20㎏を施用しても40%の吸収率を示した。
以上、石狩、後志支庁管内の、秋播なたねの代表的栽培地帯であるが、石狩町と、共和村に於いて窒素の用量試験を行ったが、石狩町に於いては窒素の適量は大体16㎏/10a前後が妥当であり共和村では12㎏/10a位である。
Ⅳ窒素分施割合に関する試験
1)目的 なたねに対する窒素の分施割合は如何程が良いかを合理的に検討せんとする。
2)試験方法
①試験実施場所
イ 石狩町 第四紀古層、海成洪積(頁岩) 埴土、1958~59年
ロ 北海道立中央農試 発寒川、沖積土壌、埴壌土、1962~63年
②試験区別(1区15m2)
イ 石狩町(2連制)
1.無窒素区
2.全量基肥区
3.窒素1/2基肥1/2分施区
4.窒素2/3基肥1/3分施区
5.窒素1/3基肥2/3分施区
ロ 中央農試(3連制)
1.無窒素区
2.全量基肥区
3.窒素2/3基肥1/3分施区
4.窒素1/3基肥2/3分施区
③施肥量(a当要素量)
(両試験地共通)窒素1130g(分施Nは起生期に施用)
燐酸750g
加里560g
④栽植密度 畦巾45㎝、株間30㎝間に千鳥に6本、10a当1.08L播種し、越冬前後に間引いて上述の如くする。
3)試験成績
イ 石狩町(1958~59年)
①生育収量調査結果
| 試験区別 | 草丈(㎝) | 茎数(30㎝間) | a当収量(㎏) | 子実 重比 % |
千粒重 (g) |
|||||||
| 45日目 | 起生期 | 開花期 | 成熟期 | 45日目 | 起生期 | 開花期 | 茎稈重 | 莢重 | 子実重 | |||
| 1 -N | 21.0 | 13.2 | 109.5 | 123.6 | 20 | 18 | 18 | 36.82 | 17.96 | 29.66 | 82 | 5.7 |
| 2 全基 | 35.4 | 21.9 | 134.7 | 141.3 | 18 | 17 | 18 | 42.73 | 22.05 | 36.14 | 100 | 5.7 |
| 3 N1/2、1/2 | 33.7 | 20.7 | 131.8 | 146.5 | 18 | 16 | 17 | 40.12 | 29.44 | 41.14 | 114 | 5.7 |
| 4 N2/3、1/3 | 34.5 | 22.2 | 135.5 | 151.6 | 19 | 16 | 16 | 41.71 | 25.57 | 38.98 | 108 | 5.8 |
| 5 N1/3、2/3 | 31.3 | 20.1 | 134.5 | 152.6 | 19 | 15 | 15 | 43.98 | 27.73 | 43.75 | 121 | 5.6 |
②分析結果(乾物中%)
| 試験区分 | 窒素 | 燐酸 | 加里 | 粗脂肪 | ||||||
| 茎稈 | 莢 | 子実 | 茎稈 | 莢 | 子実 | 茎稈 | 莢 | 子実 | ||
| 1 -N | 0.31 | 0.48 | 3.43 | 0.16 | 0.10 | 1.48 | 1.07 | 1.56 | 0.68 | 46.30 |
| 2 全基 | 0.28 | 0.42 | 3.44 | 0.11 | 0.26 | 1.40 | 1.04 | 2.07 | 0.59 | 47.41 |
| 3 N1/2、1/2 | 0.31 | 0.39 | 3.42 | 0.10 | 0.16 | 1.25 | 1.02 | 2.53 | 0.57 | 43.89 |
| 4 N2/3、1/3 | 0.28 | 0.31 | 3.24 | 0.11 | 0.20 | 1.31 | 1.59 | 2.34 | 0.58 | 44.31 |
| 5 N1/3、2/3 | 0.41 | 0.42 | 3.59 | 0.09 | 0.20 | 1.26 | 0.96 | 2.53 | 0.60 | 41.07 |
③当三要素吸収量及粗脂肪収量
| 試験区別 | 窒素(g) | 燐酸(g) | 加里(g) | 粗脂肪(㎏) | 粗脂肪比率(%) | N吸収率(%) |
| 1 -N | 1,146 | 487 | 808 | 12.99 | 80 | - |
| 2 全量基肥区 | 1,372 | 570 | 1,027 | 16.19 | 100 | 20 |
| 3 N1/2基肥1/2分施区 | 1,555 | 571 | 1,281 | 17.16 | 100 | 36 |
| 4 N2/3基肥1/3分施区 | 1,385 | 575 | 1,369 | 16.49 | 96 | 21 |
| 5 N1/3基肥2/3分施区 | 1,688 | 610 | 1,283 | 17.05 | 99 | 48 |
草丈の伸長は初期には基肥量の多い程長いが、開花期頃から分施した各区が追いつき、全量基肥区は、開花期頃に窒素欠乏の様相を呈した。収量調査の結果は、基肥量の少ないN1/3基肥2/3分施区が最も優った。
併し、分析結果より見ると、基肥量少なく分施両多い区は、窒素の含有率は高まるが、逆に粗脂肪の含有率が低下すること、即ち蛋白、脂肪の逆相関の傾向が見られた。
ロ 中央農業試験場(1961~1963年)
第1表 生育調査成績(a) (1962~1963年)
| 試 験 区 別 | 冬枯 歩合 % |
抽苔期 月日 |
開花期 月日 |
落花期 月日 |
成熟期 月日 |
成熟期 | 穂長 ㎝ |
一穂 莢数 |
莢長 ㎝ |
|
| 草丈 | 分枝数 | |||||||||
| 無 窒 素 区 | 36.1 | 5.2 | 5.19 | 6.14 | 7.24 | 120.0 | 5 | 25 | 15 | 5.7 |
| 全 量 基 肥 区 | 42.1 | 5.2 | 5.19 | 6.14 | 7.21 | 128.0 | 6 | 26 | 18 | 5.3 |
| 窒素2/3基肥1/3分施区 | 45.6 | 5.1 | 5.19 | 6.14 | 7.23 | 139.0 | 7 | 31 | 20 | 4.7 |
| 窒素1/3基肥2/3分施区 | 36.1 | 5.1 | 5.18 | 6.14 | 7.24 | 138.0 | 8 | 33 | 26 | 5.4 |
第2表 生育調査成績(6) (1962~1963年)
| 試 験 区 別 | 草 丈 (㎝) | ||||||
| 25/10 | 15/4 | 2/5 | 20/5 | 4/6 | 18/6 | 6/7 | |
| 無 窒 素 区 | 18.7 | 13.1 | 14.0 | 81.0 | 116.7 | 122.9 | 111.6 |
| 全 量 基 肥 区 | 22.2 | 14.3 | 21.1 | 93.6 | 122.9 | 127.5 | 124.4 |
| 窒素2/3基肥1/3分施区 | 27.9 | 17.0 | 22.8 | 97.7 | 121.6 | 131.9 | 129.8 |
| 窒素1/3基肥2/3分施区 | 24.6 | 13.9 | 19.8 | 94.2 | 124.3 | 135.4 | 126.9 |
①生育概況
発芽当初は全量基肥区は、窒素過剰による生育抑制的傾向にあったが漸次基肥量の多い程、生育は旺盛となった。越冬前、全量基肥区>N2/3基1/3分区>N1/3基2/3分区と草丈且葉数多く順次したが、無窒素区はかなり劣った。
越冬後も同様の傾向にあったが、抽苔期は、N2/3基肥2/3分施区、稍早く、無窒素区、全量基肥区は稍遅れた。
開花期、更に落花終に至っても大凡その傾向は類似していた。開花終近く成って、無窒素区以外の各区の草丈の差位はみられなくなったが、分施量の多い程、葉色は濃色を示し、全量基肥区は明らかに窒素欠乏の様相を示した。
第3表 収量調査成績 (1963年)
| 試験区別 | 一莢 結実数 |
a当収量(㎏) | 子実 重比 (%) |
子実 比重 (g) |
子実 千粒重 (g) |
1962年 | 備 考 | |||
| 茎稈 | 莢 | 子実 | a当 子実重(㎏) |
子実 重比(%) |
||||||
| 無 窒 素 区 | 13 | 32.65 | 9.38 | 16.78 | 76 | 650 | 4.9 | 13.59 | 63 | 1962年子実重 L.S.D 5%=3.00㎏ 1%=4.54㎏ |
| 全 量 基 肥 区 | 12 | 43.03 | 13.89 | 22.03 | 100 | 649 | 4.9 | 21.69 | 100 | |
| 窒素2/3基肥1/3分施区 | 12 | 51.74 | 12.15 | 24.92 | 113 | 657 | 5.2 | 26.21 | 121 | |
| 窒素1/3基肥2/3分施区 | 11 | 61.11 | 18.75 | 33.35 | 151 | 659 | 5.2 | 27.95 | 129 | |
第4表 窒素吸収量吸収率(1963年)
| 試験区別 | 窒素吸収量 ㎏/a | 窒素 吸収率 (%) |
|||
| 茎稈 | 莢 | 子実 | 合計 | ||
| 無 窒 素 区 | 0.137 | 0.045 | 0.550 | 0.732 | - |
| 全 量 基 肥 区 | 0.207 | 0.054 | 0.760 | 1.021 | 26 |
| 窒素2/3基肥1/3分施区 | 0.191 | 0.074 | 0.780 | 1.045 | 27 |
| 窒素1/3基肥2/3分施区 | 0.269 | 0.143 | 1.164 | 1.576 | 66 |
②収量調査
無窒素区の収量の低いのは当然であるがその他は基肥量の少ないもの程収量が多かった。分施区の増収機構を収量構成要素についてみると分施割合の多い区程分枝数、一穂莢数、千粒重が多く、一莢結実粒数があまり明瞭な傾向がみられない以外、各要素とも分施割合の多い区が良好であった。
尚窒素の吸収率については1/3基肥2/3分施区が特に高く、その効率の高いことがうかがわれた。
第5表 生育時期別生育および乾物重の推移(mg/1個体)(1961~1962年)
| 試験区別 | 区分 | 26/10 | 12/2 | 18/4 | 7/5 | 16/5 | 1/6 | 12/6 | 25/6 | 14/7 | 27/7 |
| 全量基肥区 | 草丈(㎝) | 29.1 | 32.9 | 14.8 | 42.3 | 82.4 | 122.9 | 128.2 | 132.6 | 136.2 | 126.1 |
| 葉数(枚) | 5 | 6 | 9 | 14 | 16 | 10 | |||||
| 分枝数(本) | 1 | 6 | 5 | 7 | 6 | 6 | 6 | ||||
| 1/3基肥 2/3分施区 |
草丈(㎝) | 26.1 | 38.1 | 13.9 | 32.9 | 78.6 | 122.2 | 129.5 | 132.6 | 137.7 | 129.5 |
| 葉数(枚) | 5 | 5 | 8 | 12 | 13 | 14 | |||||
| 分枝数(本) | 1 | 6 | 5 | 7 | 7 | 7 | 8 | ||||
| 全量基肥区 | 葉 部 | 2.60 | 5.05 | 1.82 | 2.55 | 3.54 | 2.16 | 0.70 | |||
| 茎稈部 | 2.00 | 4.54 | 8.36 | 11.00 | 12.00 | 12.74 | 10.94 | ||||
| 花 部 | 0.64 | 0.66 | |||||||||
| 莢 部 | 1.88 | 7.70 | 13.50 | 10.14 | 7.74 | ||||||
| 子実部 | 3.62 | 1.20 | 9.20 | ||||||||
| 合 計 | 2.60 | 5.05 | 1.82 | 4.55 | 8.72 | 13.06 | 19.40 | 29.12 | 33.08 | 27.88 | |
| 1/3基肥 2/3分施区 |
葉 部 | 2.05 | 3.20 | 1.25 | 1.95 | 4.62 | 3.36 | 2.80 | 0.90 | ||
| 茎稈部 | 1.20 | 4.70 | 8.26 | 13.10 | 15.40 | 13.74 | 13.74 | ||||
| 花 部 | 0.74 | 1.46 | |||||||||
| 莢 部 | 1.50 | 9.20 | 19.80 | 11.94 | 11.54 | ||||||
| 子実部 | 4.72 | 11.20 | 11.40 | ||||||||
| 合 計 | 2.05 | 3.20 | 1.25 | 3.15 | 10.06 | 14.58 | 25.10 | 40.82 | 36.88 | 36.68 |
第6表 (A)生育時期別窒素含有率(乾物中%)(1961~1962年)
| 試験区別 | 区分 | 26/10 | 12/2 | 18/4 | 7/5 | 16/5 | 1/6 | 12/6 | 25/6 | 14/7 | 27/7 |
| 全量基肥区 | 葉 部 | 4.84 | 3.94 | 4.99 | 3.51 | 2.89 | 2.56 | 2.85 | |||
| 茎稈部 | 2.08 | 1.29 | 0.82 | 0.83 | 0.74 | 0.38 | 0.35 | ||||
| 花 部 | 4.62 | 3.81 | |||||||||
| 莢 部 | 3.14 | 2.49 | 1.50 | 0.67 | 0.31 | ||||||
| 子実部 | 3.17 | 3.01 | 3.18 | ||||||||
| 1/3基肥 2/3分施区 |
葉 部 | 3.33 | 3.14 | 4.77 | 4.11 | 4.39 | 3.20 | 3.87 | |||
| 茎稈部 | 2.90 | 2.50 | 1.57 | 1.28 | 0.82 | 0.43 | 0.38 | ||||
| 花 部 | 5.84 | 4.59 | |||||||||
| 莢 部 | 3.04 | 3.24 | 1.64 | 0.67 | 0.31 | ||||||
| 子実部 | 3.59 | 3.36 | 3.45 |
第6表 (B)生育時期別窒素吸収量(mg/個体)(1961~1962年)
| 試験区別 | 区分 | 26/10 | 12/2 | 18/4 | 7/5 | 16/5 | 1/6 | 12/6 | 25/6 | 14/7 | 27/7 |
| 全量基肥区 | 葉 部 | 126.0 | 199.0 | 90.8 | 89.5 | 102.3 | 55.3 | 20.0 | |||
| 茎稈部 | 41.6 | 58.6 | 68.6 | 91.3 | 88.5 | 48.4 | 38.3 | ||||
| 花 部 | 29.6 | 25.1 | |||||||||
| 莢 部 | 59.0 | 191.7 | 202.5 | 70.0 | 24.0 | ||||||
| 子実部 | 114.8 | 307.8 | 292.7 | ||||||||
| 合計 | 126.0 | 199.0 | 90.8 | 131.1 | 190.6 | 208.0 | 303.0 | 405.8 | 425.4 | 355.0 | |
| 1/3基肥 2/3分施区 |
葉 部 | 64.4 | 100.5 | 59.6 | 80.1 | 149.2 | 107.5 | 108.4 | |||
| 茎稈部 | 34.8 | 117.5 | 129.7 | 167.7 | 126.3 | 59.1 | 52.2 | ||||
| 花 部 | 43.2 | 67.0 | |||||||||
| 莢 部 | 45.6 | 298.1 | 324.7 | 80.0 | 35.8 | ||||||
| 子実部 | 169.4 | 376.3 | 393.3 | ||||||||
| 合計 | 64.4 | 100.5 | 59.6 | 114.9 | 309.9 | 349.8 | 574.2 | 620.4 | 515.4 | 481.3 |
第6表 (C)生育時期別脂肪含有率(%)(1963年)
| 試験区別 | 4/6 | 18/6 | 6/7 | 20/7 |
| 無 窒 素 区 | 1.66 | 1.09 | 43.90 | 45.02 |
| 全 量 基 肥 区 | 3.23 | 2.30 | 42.38 | 43.93 |
| N1/3基肥、2/3分施区 | 1.97 | 4.29 | 42.16 | 43.42 |
第7表 越冬直前炭水物含有率(%)(1961年)
| 試験区別 | 全糖 | 還元糖 | 肥還元糖 | 粗澱粉 |
| 無 窒 素 区 | 22.66 | 12.65 | 10.01 | 11.07 |
| 全 量 基 肥 区 | 22.38 | 13.37 | 9.01 | 9.42 |
| N2/1基肥、1/3分施区 | 24.29 | 14.30 | 9.99 | 10.21 |
| N1/3基肥、2/3分施区 | 28.78 | 17.43 | 11.35 | 10.56 |
③生育家庭の分析
分施区の増収内容を生育家庭の面から考察するために、全量基肥区、N1/3基肥、2/3分施区について乾物重、窒素含有率、吸収量等について各生育時期別に比較した。(第5、6表)
乾物重、窒素吸収量共に抽苔期頃迄は全量基肥区が優っていたが、以後分施区が優った。
全量基肥区と分施区の最も特徴的な差異は、葉重の最も増大する開花期間中の葉の乾物重、窒素絶対量が分施区の方が多く、且つ窒素含有率が落葉期まで遙かに高く維持され、落葉もおそいことで、当然それと平行して同化機能も旺盛であると考えられる。而も菜種の期間形成は葉→茎→莢→子実と進むので、以上のことはその後の茎や莢の生長、子実の充実に好結果をもたらしていると考えられ、その後の各部位の乾物重、窒素含有率並びに吸収量にそのことが充分に反映されていた。
脂肪含有率については、当然全量基肥区が最初に高くなることは了解できるが、その後の推移についてはサンプリングの問題の為か明瞭な結果はつかみ得なかった。
尚越冬前の炭水化物含有率を調査した結果では無窒素区は別として、基肥量の少ないほど還元糖、非還元糖、澱粉含有率が何れも高く、越冬の為めのエネルギー物資の貯蔵、冬枯抵抗性の為望ましい状態にあると考えられたが、冬損歩合との間に明瞭な関係は見出し得なかった。
4)摘要
1961~1963年にかけて菜種に対する窒素分施割合につき試験を実施し次の結果を得た。
①最も収量の多かったのは1/3基肥2/3分施区で、以下基肥割合の多い程収量は低かった。
②分施区の増収機構を成熟期の諸形質についてみると、一穂莢数が多く、決定要素千粒重が良かったが、一莢結実粒数はあまり明瞭な傾向はみられなかった。
③増収機構を生育過程についてみると、分施量の増加により、開花中特に莢の形成のはじまる後半の葉の乾物量が、全量基肥区に比べ、N1/3基肥2/3分施区は多く、且つ窒素含有率も高かったが、このことは、葉の機能も旺盛であると考えられ、以後の茎稈、莢、子実等の器官形成に耕結果をもたらし、増収に結びついたものと思われる。
④窒素の吸収率についてはN1/3基肥2/3分施区が特に多く、その効率の高いことがうかがわれた。
Ⅴ窒素用量総合試験(1963~1964年)
1)目的
なたねに対する合理的な施肥量並びに施肥法確立の資料を得んとする。
2)実施場所
(イ)札幌市琴似町北海道立中央農業試験場 第四紀新層 川成沖積 埴壌土
(ロ)岩内郡共和村 第四紀新層 海成洪積 埴壌土
3)試験方法
(イ)中央農業試験場 規模 1区 10m2 3連制
| 試験区別 | 施肥量 ㎏/10a | 備考 | |||
| 窒素 | 燐酸 | 加里 | |||
| 1 無窒素区 | - | 7.5 | 5.6 | 分施する窒素は越冬後、起生期に行う。 3連制 |
|
| 2 窒素基肥4㎏分施4㎏区 | 8 | 4 | 7.5 | 5.6 | |
| 4 | |||||
| 3 窒素基肥4㎏分施8㎏区 | 12 | 4 | 7.5 | 5.6 | |
| 8 | |||||
| 4 窒素基肥4㎏分施12㎏区 | 16 | 4 | 7.5 | 5.6 | |
| 12 | |||||
| 5 窒素基肥8㎏区 | 8 | 8 | 7.5 | 5.6 | |
| 0 | |||||
| 6 窒素基肥8㎏分施4㎏区 | 12 | 8 | 7.5 | 5.6 | |
| 4 | |||||
| 7 窒素基肥4㎏分施8㎏区 | 16 | 8 | 7.5 | 5.6 | |
| 8 | |||||
| 8 窒素基肥12㎏分施8㎏区 | 12 | 12 | 7.5 | 5.6 | |
| 0 | |||||
| 9 窒素基肥12㎏分施4㎏区 | 16 | 12 | 7.5 | 5.6 | |
| 4 | |||||
(ロ)事和村 規模 1区 15m2 2連制
| 試験区別 | 施肥量 ㎏/10a | 備考 | |||
| 窒素 | 燐酸 | 加里 | |||
| 1 無窒素区 | - | 16 | 8 |
追肥する窒素は、越冬後起生期に行う。 Mgoとして4㎏/10aを各区に施用する。 |
|
| 2 窒素基肥4㎏分施8㎏区 | 12 | 4 | 16 | 8 | |
| 8 | |||||
| 3 窒素基肥4㎏分施12㎏区 | 16 | 4 | 16 | 8 | |
| 12 | |||||
| 4 窒素基肥4㎏分施16㎏区 | 20 | 4 | 16 | 8 | |
| 16 | |||||
| 5 窒素基肥8㎏分施4㎏区 | 12 | 8 | 16 | 8 | |
| 4 | |||||
| 6 窒素基肥8㎏分施8㎏区 | 16 | 8 | 16 | 8 | |
| 8 | |||||
| 7 窒素基肥8㎏分施12㎏区 | 20 | 8 | 16 | 8 | |
| 12 | |||||
| 8 窒素基肥12㎏ | 12 | 12 | 16 | 8 | |
| 0 | |||||
| 9 窒素基肥12㎏分施4㎏区 | 16 | 12 | 16 | 8 | |
| 4 | |||||
| 10 窒素基肥12㎏分施8㎏ | 20 | 12 | 16 | 8 | |
| 8 | |||||
4)試験成績
(イ)中央農業試験場
生育調査
| 試験区別 | 冬枯れ 歩合 (%) |
抽苔期 (月日) |
開花期 (月日) |
落花期 (月日) |
成熟期 (月日) |
45日目(24/10) | (25/5) 草丈 (㎝) |
成熟期 | ||
| 草丈 (㎝) |
葉数 (枚) |
草丈 (㎝) |
分枝数 | |||||||
| 1 -N | 7.8 | 5.5 | 5.18 | 6.17 | 7.26 | 9.2 | 4.0 | 82.4 | 127.7 | 4.1 |
| 2 N4 N4 | 0.8 | 5.4 | 5.18 | 6.15 | 7.25 | 15.9 | 5.1 | 103.1 | 144.6 | 7.3 |
| 3 N4 N8 | 6.4 | 5.4 | 5.18 | 6.17 | 7.29 | 16.4 | 5.0 | 103.9 | 147.0 | 8.4 |
| 4 N4 N12 | 0.0 | 5.4 | 5.18 | 6.17 | 7.28 | 16.9 | 5.0 | 105.9 | 149.3 | 9.1 |
| 5 N8 N0 | 15.8 | 5.4 | 5.18 | 6.15 | 7.25 | 16.9 | 5.0 | 110.3 | 142.6 | 6.7 |
| 6 N8 N4 | 6.6 | 5.4 | 5.18 | 6.15 | 7.25 | 16.5 | 4.9 | 109.5 | 145.6 | 7.6 |
| 7 N8 N8 | 6.8 | 5.4 | 5.18 | 6.16 | 7.27 | 17.4 | 5.3 | 108.0 | 146.9 | 8.7 |
| 8 N12 N0 | 14.2 | 5.4 | 5.17 | 6.14 | 7.25 | 16.6 | 5.1 | 111.8 | 150.7 | 7.5 |
| 9 N12 N4 | 15.4 | 5.4 | 5.18 | 6.15 | 7.27 | 16.7 | 5.2 | 111.9 | 154.5 | 8.4 |
収量調査
| 試験区別 | a当収量(㎏) | 子実 重比 (%) |
穂重 (g) |
1穂 莢数 |
莢重 (g) |
一莢 結実数 |
粒色 | 粒大の 整否 |
粒大 | ||
| 稈重 | 莢重 | 子実重 | |||||||||
| 1 -N | 22.22 | 6.48 | 10.87 | 100 | 32 | 15 | 5.3 | 9 | 黒褐色 | 中 | 大 |
| 2 N4 N4 | 47.22 | 13.57 | 22.04 | 203 | 38 | 21 | 5.4 | 10 | 〃 | 〃 | 〃 |
| 3 N4 N8 | 61.72 | 19.44 | 26.07 | 240 | 38 | 23 | 5.6 | 10 | 〃 | 〃 | 〃 |
| 4 N4 N12 | 64.20 | 22.54 | 29.22 | 269 | 38 | 23 | 5.7 | 10 | 〃 | 〃 | 〃 |
| 5 N8 N0 | 48.46 | 12.96 | 19.06 | 175 | 33 | 19 | 5.5 | 10 | 〃 | 〃 | 〃 |
| 6 N8 N4 | 50.93 | 14.20 | 22.93 | 211 | 35 | 20 | 5.1 | 9 | 〃 | 〃 | 〃 |
| 7 N8 N8 | 60.19 | 17.91 | 26.07 | 240 | 38 | 22 | 5.4 | 9 | 〃 | 〃 | 〃 |
| 8 N12 N0 | 46.36 | 12.96 | 20.13 | 185 | 34 | 19 | 5.3 | 9 | 〃 | 〃 | 〃 |
| 9 N12 N4 | 59.87 | 16.67 | 26.61 | 245 | 38 | 21 | 5.7 | 11 | 〃 | 〃 | 〃 |
分析結果(凡乾物 百分中%)
| 試験区別 | 水 分 | 窒 素 | 燐 酸 | 加 里 | ||||||||
| 茎稈 | 莢 | 子実 | 茎稈 | 莢 | 子実 | 茎稈 | 莢 | 子実 | 茎稈 | 莢 | 子実 | |
| 1 -N | 6.53 | 7.55 | 5.63 | 0.42 | 0.53 | 3.14 | 0.26 | 0.47 | 1.90 | 1.27 | 1.22 | 0.75 |
| 2 N4 N4 | 7.99 | 7.71 | 5.76 | 0.42 | 0.42 | 3.15 | 0.19 | 0.44 | 1.85 | 1.08 | 1.30 | 0.72 |
| 3 N4 N8 | 7.75 | 7.71 | 5.63 | 0.53 | 0.57 | 3.42 | 0.20 | 0.43 | 1.85 | 1.35 | 1.52 | 0.68 |
| 4 N4 N12 | 8.04 | 7.71 | 5.95 | 0.59 | 0.53 | 3.19 | 0.21 | 0.37 | 1.95 | 1.04 | 1.61 | 0.76 |
| 5 N8 N0 | 7.82 | 7.48 | 5.68 | 0.42 | 0.65 | 2.94 | 0.24 | 0.52 | 1.85 | 1.04 | 1.26 | 0.76 |
| 6 N8 N4 | 7.89 | 7.82 | 5.68 | 0.57 | 0.53 | 3.04 | 0.39 | 0.42 | 1.99 | 1.35 | 1.25 | 0.67 |
| 7 N8 N8 | 8.19 | 7.64 | 5.77 | 0.48 | 0.48 | 3.40 | 0.28 | 0.42 | 1.90 | 1.15 | 1.30 | 0.75 |
| 8 N12 N0 | 7.35 | 7.43 | 5.75 | 0.42 | 0.53 | 3.00 | 0.20 | 0.43 | 2.00 | 1.00 | 1.20 | 0.75 |
| 9 N12 N4 | 7.66 | 7.09 | 5.96 | 0.46 | 0.42 | 3.21 | 0.18 | 0.43 | 1.85 | 1.04 | 1.20 | 0.68 |
吸収量(㎏/a)
| 試験区別 | 窒 素 | 燐 酸 | 加 里 | |||||||||
| 茎稈 | 莢 | 子実 | 合計 | 茎稈 | 莢 | 子実 | 合計 | 茎稈 | 莢 | 子実 | 合計 | |
| 1 -N | 0.093 | 0.034 | 0.341 | 0.468 | 0.058 | 0.031 | 0.207 | 0.296 | 0.282 | 0.079 | 0.082 | 0.443 |
| 2 N4 N4 | 0.198 | 0.057 | 0.694 | 0.949 | 0.089 | 0.060 | 0.408 | 0.557 | 0.510 | 0.176 | 0.159 | 0.845 |
| 3 N4 N8 | 0.327 | 0.117 | 0.892 | 1.336 | 0.123 | 0.084 | 0.482 | 0.689 | 0.833 | 0.296 | 0.177 | 1.309 |
| 4 N4 N12 | 0.379 | 0.120 | 0.932 | 1.431 | 0.135 | 0.043 | 0.570 | 0.788 | 0.668 | 0.363 | 0.222 | 1.253 |
| 5 N8 N0 | 0.204 | 0.084 | 0.569 | 0.857 | 0.116 | 0.067 | 0.358 | 0.541 | 0.504 | 0.163 | 0.147 | 0.814 |
| 6 N8 N4 | 0.290 | 0.075 | 0.697 | 1.062 | 0.199 | 0.060 | 0.4560 | 0.715 | 0.688 | 0.178 | 0.154 | 1.020 |
| 7 N8 N8 | 0.289 | 0.086 | 0.886 | 1.261 | 0.169 | 0.075 | 0.495 | 0.739 | 0.692 | 0.233 | 0.196 | 1.121 |
| 8 N12 N0 | 0.195 | 0.069 | 0.604 | 0.868 | 0.093 | 0.056 | 0.403 | 0.552 | 0.463 | 0.156 | 0.151 | 0.770 |
| 9 N12 N4 | 0.275 | 0.070 | 0.854 | 1.199 | 0.108 | 0.072 | 0.492 | 0.672 | 0.623 | 0.200 | 0.181 | 1.004 |
収量分析表
| 基肥量基準 | 収量比(%) | 分施量基準 | 収量比(%) | 施肥量基準 | 収量比(%) | |||
| -N | 100 | -N | 100 | -N | 100 | |||
| ┌ │ ┤ │ └ |
N4 N4 | 203 | ┌ ┤ └ |
N8 N0 | 175 | ┌ ┤ └ |
N4 N4 | 203 |
| N4 N8 | 240 | N12 N0 | 185 | N8 N0 | 175 | |||
| N4 N12 | 269 | ┌ │ ┤ │ └ |
N4 N4 | 203 | ┌ │ ┤ │ └ |
N4 N8 | 240 | |
| ┌ │ ┤ │ └ |
N8 N0 | 175 | N8 N4 | 211 | N8 N04 | 211 | ||
| N8 N4 | 211 | N12 N4 | 245 | N12 N0 | 185 | |||
| N8 N8 | 240 | ┌ ┤ └ |
N4 N8 | 240 | ┌ │ ┤ │ └ |
N4 N12 | 269 | |
| ┌ ┤ └ |
N12 N0 | 185 | N8 N8 | 240 | N8 N8 | 240 | ||
| N12 N4 | 245 | N4 N12 | 269 | N12 N4 | 245 | |||
越冬前の生育量は、基肥窒素の増加に伴い生育が旺盛であった。発芽より生育初期にかけて、窒素12㎏基肥区は、稍々窒素の過剰と成り、生育抑制気味に見受けられたが、生育の進展と共に旺盛となった。
冬枯れほぼ雨は、一定の傾向はないが、基肥窒素の増加に伴って、稍々多い様に感じられた。越冬後、開花初期頃までは、基肥窒素の施用量の多い各区が、生育旺盛で、生育の進展も早い様に見受けられたが、しかし開花終わり頃から、窒素欠乏の様相を呈し、N12N0区、N8N0区の各区は、-N区の生育と同じ様に見受けられた。窒素を分施した各区は、開花初頃から漸次葉色濃く、且つ生育も旺盛となった。又分施量12㎏の区は濃緑色を呈し過剰気味にみえた。成熟期の草丈は一定の傾向は見受けられないが、分枝数は、分施窒素の量の多い区が、多い傾向にあった。
収量調査から、基肥量を基準にみた場合は分施量の増加に伴って、収量に増加を示した。
分施量を基準にみた場合は基肥量を増加するほど増収するが、基肥量を一定にして分施量を変えた場合ほどは増収に反映しない。
又全施肥量を基準にしてみた場合は勿論施肥量の多い方が収量が高いが、同一施肥量内で基肥と分施量の割合を変えた場合の影響は全施肥量が少ない場合の方が大であった。
収量構成要素は分施量の多い方が分枝数、一穂莢数が多いが、分施量を同一にしてみた場合、基肥量を増加しても分枝数にのみ反映していた。
尚、窒素の含有率は一定の傾向を示さないが、吸収量は収量の増加と共に増加した。
又、N4N12区が最高の収量でった。
(ロ)共和村試験地
生育調査
| 試験区別 | 冬損 歩合 (%) |
抽苔期 (月日) |
開花期 (月日) |
成熟期 (月日) |
草丈(㎝) | 葉数(枚) | 分枝数(本) | 穂長 (㎝) |
|||||
| 45日目 | 起生期 | 開花期 | 成熟期 | 45日目 | 起生期 | 開花期 | 成熟期 | ||||||
| 1 -N | 8.2 | 5.4 | 5.20 | 8.24 | 17.1 | 10.6 | 112.3 | 115.1 | 5.3 | 4.6 | 3.7 | 4.0 | 27.5 |
| 2 N4 N8 | 7.6 | 5.4 | 5.20 | 8.25 | 19.2 | 13.6 | 140.8 | 144.0 | 5.5 | 5.1 | 7.9 | 8.0 | 33.1 |
| 3 N4 N12 | 10.9 | 5.4 | 5.20 | 8.26 | 19.8 | 13.9 | 134.6 | 141.9 | 5.4 | 5.4 | 7.6 | 8.3 | 35.9 |
| 4 N4 N16 | 11.0 | 5.4 | 5.20 | 8.26 | 19.7 | 13.8 | 143.7 | 141.6 | 5.3 | 5.3 | 9.9 | 8.2 | 35.1 |
| 5 N8 N4 | 16.7 | 5.4 | 5.20 | 8.25 | 20.7 | 14.8 | 141.1 | 141.4 | 5.4 | 5.6 | 8.0 | 6.6 | 33.2 |
| 6 N8 N8 | 17.0 | 5.4 | 5.20 | 8.26 | 21.0 | 16.6 | 144.1 | 145.3 | 5.6 | 5.6 | 8.4 | 7.6 | 32.4 |
| 7 N8 N12 | 18.3 | 5.4 | 5.20 | 8.26 | 21.1 | 15.0 | 147.5 | 149.1 | 5.7 | 5.5 | 10.5 | 8.0 | 35.4 |
| 8 N12 N0 | 21.7 | 5.4 | 5.20 | 8.25 | 20.5 | 16.2 | 133.5 | 138.0 | 5.5 | 5.7 | 6.3 | 6.6 | 27.2 |
| 9 N12 N4 | 21.7 | 5.4 | 5.20 | 8.25 | 20.7 | 16.1 | 142.0 | 151.6 | 5.5 | 5.8 | 7.6 | 7.4 | 36.1 |
| 10 N12 N8 | 19.4 | 5.4 | 5.20 | 8.25 | 20.6 | 16.2 | 144.5 | 145.1 | 5.3 | 5.6 | 10.9 | 7.6 | 35.6 |
収量調査
| 試験区別 | a当収量(㎏) | 子実 重比 (%) |
粒大の 整否 |
粒色 | 粒大 (mm) |
1粒重 (g) |
千粒重 (g) |
||
| 稈重 | 莢重 | 子実重 | |||||||
| 1 -N | 16.56 | 4.69 | 12.29 | 100 | 中 | 黒褐色 | 2.31 | 1.152 | 7.1 |
| 2 N4 N8 | 44.48 | 14.69 | 29.58 | 241 | 〃 | 〃 | 2.27 | 1.156 | 6.5 |
| 3 N4 N12 | 43.13 | 15.52 | 31.46 | 256 | 〃 | 〃 | 2.24 | 1.159 | 6.4 |
| 4 N4 N16 | 48.44 | 16.46 | 32.71 | 266 | 〃 | 〃 | 2.22 | 1.162 | 6.6 |
| 5 N8 N4 | 35.00 | 14.38 | 26.46 | 215 | 〃 | 〃 | 2.23 | 1.156 | 6.5 |
| 6 N8 N8 | 44.90 | 14.90 | 29.79 | 242 | 〃 | 〃 | 2.17 | 1.160 | 6.7 |
| 7 N8 N12 | 54.79 | 17.50 | 36.04 | 293 | 〃 | 〃 | 2.24 | 1.164 | 6.4 |
| 8 N12 N0 | 24.79 | 8.90 | 17.92 | 146 | 〃 | 〃 | 2.25 | 1.156 | 6.4 |
| 9 N12 N4 | 41.67 | 14.79 | 26.88 | 219 | 〃 | 〃 | 2.30 | 1.149 | 6.6 |
| 10 N12 N8 | 49.58 | 17.29 | 31.49 | 256 | 〃 | 〃 | 2.24 | 1.162 | 6.4 |
分析結果(風乾物百分中%)
| 試験区別 | 水 分 | 窒 素 | 燐 酸 | 加 里 | ||||||||
| 茎稈 | 莢 | 子実 | 茎稈 | 莢 | 子実 | 茎稈 | 莢 | 子実 | 茎稈 | 莢 | 子実 | |
| 1 -N | 8.32 | 8.64 | 3.43 | 0.61 | 0.45 | 3.09 | 0.30 | 0.30 | 1.80 | 1.40 | 1.77 | 0.41 |
| 2 N4 N8 | 8.29 | 8.56 | 3.73 | 0.41 | 0.43 | 3.18 | 0.10 | 0.30 | 1.85 | 1.50 | 1.73 | 0.75 |
| 3 N4 N12 | 7.80 | 8.69 | 3.86 | 0.51 | 0.44 | 3.22 | 0.13 | 0.27 | 1.65 | 1.45 | 1.62 | 0.70 |
| 4 N4 N16 | 8.08 | 8.45 | 3.86 | 0.55 | 0.49 | 3.44 | 0.18 | 0.30 | 1.75 | 1.65 | 1.74 | 0.60 |
| 5 N8 N4 | 8.11 | 8.04 | 3.81 | 0.44 | 0.40 | 3.16 | 0.11 | 0.31 | 1.70 | 1.45 | 1.69 | 0.58 |
| 6 N8 N8 | 8.21 | 8.11 | 3.76 | 0.40 | 0.45 | 3.46 | 0.13 | 0.24 | 1.85 | 1.46 | 1.65 | 0.67 |
| 7 N8 N12 | 8.26 | 8.37 | 3.90 | 0.40 | 0.44 | 3.31 | 0.13 | 0.26 | 1.65 | 1.30 | 1.66 | 0.67 |
| 8 N12 N0 | 7.75 | 8.55 | 3.61 | 0.40 | 0.50 | 3.17 | 0.16 | 0.25 | 1.67 | 1.15 | 1.70 | 0.65 |
| 9 N12 N4 | 7.57 | 8.46 | 3.72 | 0.44 | 0.48 | 3.25 | 0.16 | 0.28 | 1.83 | 1.20 | 1.68 | 0.68 |
| 10 N12 N8 | 7.57 | 8.40 | 4.06 | 0.44 | 0.49 | 3.16 | 0.18 | 0.27 | 1.74 | 1.43 | 1.72 | 0.67 |
吸収量(㎏/a)
| 試験区別 | 窒 素 | 燐 酸 | 加 里 | |||||||||
| 茎稈 | 莢 | 子実 | 合計 | 茎稈 | 莢 | 子実 | 合計 | 茎稈 | 莢 | 子実 | 合計 | |
| 1 -N | 0.101 | 0.021 | 0.380 | 0.502 | 0.050 | 0.014 | 0.221 | 0.285 | 0.232 | 0.083 | 0.050 | 0.365 |
| 2 N4 N8 | 0.178 | 0.063 | 0.941 | 1.182 | 0.045 | 0.044 | 0.547 | 0.636 | 0.667 | 0.254 | 0.222 | 1.143 |
| 3 N4 N12 | 0.220 | 0.068 | 1.013 | 1.301 | 0.056 | 0.042 | 0.519 | 0.617 | 0.625 | 0.251 | 0.220 | 1.096 |
| 4 N4 N16 | 0.266 | 0.081 | 1.125 | 1.472 | 0.087 | 0.049 | 0.572 | 0.708 | 0.799 | 0.286 | 0.196 | 1.281 |
| 5 N8 N4 | 0.154 | 0.058 | 0.836 | 1.048 | 0.039 | 0.045 | 0.450 | 0.534 | 0.508 | 0.243 | 0.154 | 0.905 |
| 6 N8 N8 | 0.180 | 0.067 | 1.031 | 1.278 | 0.058 | 0.036 | 0.551 | 0.645 | 0.656 | 0.246 | 0.200 | 1.102 |
| 7 N8 N12 | 0.219 | 0.077 | 1.193 | 1.489 | 0.071 | 0.046 | 0.595 | 0.721 | 0.712 | 0.291 | 0.245 | 1.245 |
| 8 N12 N0 | 0.099 | 0.045 | 0.568 | 0.712 | 0.040 | 0.022 | 0.299 | 0.361 | 0.285 | 0.152 | 0.117 | 0.554 |
| 9 N12 N4 | 0.183 | 0.071 | 0.874 | 1.128 | 0.067 | 0.041 | 0.492 | 0.600 | 0.500 | 0.249 | 0.183 | 0.932 |
| 10 N12 N8 | 0.218 | 0.085 | 0.994 | 1.297 | 0.089 | 0.047 | 0.547 | 0.638 | 0.709 | 0.297 | 0.211 | 1.217 |
収量分析表
| 基肥量基準 | 収量比(%) | 分施量基準 | 収量比(%) | 施肥量基準 | 収量比(%) | |||
| -N | 100 | -N | 100 | -N | 100 | |||
| ┌ │ ┤ │ └ |
N4 N8 | 241 | ┌ ┤ └ |
N12 N0 | 146 | ┌ │ ┤ │ └ |
N4 N8 | 241 |
| N4 N12 | 256 | N8 N4 | 215 | N8 N4 | 215 | |||
| N4 N16 | 266 | N12 N4 | 219 | N12 N0 | 146 | |||
| ┌ │ ┤ │ └ |
N8 N4 | 215 | ┌ │ ┤ │ └ |
N4 N8 | 241 | ┌ │ ┤ │ └ |
N4 N12 | 256 |
| N8 N8 | 242 | N8 N8 | 242 | N8 N8 | 242 | |||
| N8 N12 | 293 | N12 N8 | 256 | N12 N4 | 219 | |||
| ┌ │ ┤ │ └ |
N12 N0 | 146 | ┌ ┤ └ |
N4 N12 | 256 | ┌ │ ┤ │ └ |
N4 N16 | 266 |
| N12 N4 | 219 | N8 N12 | 293 | N8 N12 | 293 | |||
| N12 N8 | 256 | N4 N16 | 266 | N12 N8 | 256 | |||
越冬前の生育量は、中央農試と同じ傾向にあった。すなわち、基肥窒素の増加に伴って生育が旺盛であったが、窒素12㎏基肥区は稍々過剰となり、45日目の調査では生育が抑制気味の様に観察された。しかしN8㎏、N12㎏区間の差は判然とせず、起生期に於いても、同じ傾向にあった。
越冬後開花期の調査では、草丈に於いて、無窒素区は論外として、全量を基肥で施したN12、N0区が劣り、N4、N12区も稍々劣ったが、その他の各区の差は判然としなかった。しかし分施量12㎏以上は濃緑を呈し、稍過剰気味の様に思えた。葉数は各区の差異は、数字の上で判然としなかったが、葉巾、生育量は、窒素を分施した各区が優る様に観察された。分枝数、穂長については、分施量の多い区が優る傾向にあったが、分施量を同一にして基肥量を変えた場合穂長は増したが、分枝数は一定の傾向がなかった。中央農試の場合と同じく、基肥量の影響の方が、分施量のそれより小さく、又施肥量の低い段階ほど分施割合の影響が大であった。
分析結果からはN含有率については一定の傾向は認められず吸収量は収量の多い区程多かった。
尚、N8、N12区が最高の収量であった。
窒素吸収率
| 中 央 農 試 | 共 和 村 | ||||
| 区別 | N吸収量㎏/a | 吸収率% | 区別 | N吸収量㎏/a | 吸収率% |
| 1 -N | 0.468 | - | 1 -N | 0.502 | - |
| 2 N4 N4 | 0.481 | 60.1 | 2 N4 N8 | 1.182 | 56.7 |
| 3 N4 N8 | 1.336 | 72.3 | 3 N4 N12 | 1.301 | 49.9 |
| 4 N4 N2 | 1.431 | 60.2 | 4 N4 N16 | 1.472 | 48.5 |
| 5 N8 N0 | 0.857 | 48.6 | 5 N8 N4 | 1.048 | 45.6 |
| 6 N8 N4 | 1.062 | 49.5 | 6 N8 N8 | 1.278 | 48.5 |
| 7 N8 N8 | 1.261 | 49.6 | 7 N8 N12 | 1.489 | 49.4 |
| 8 N12 N0 | 0.868 | 33.3 | 8 N12 N0 | 0.712 | 17.5 |
| 9 N12 N4 | 1.199 | 45.7 | 9 N12 N4 | 1.128 | 39.1 |
| 10 N12 N8 | 1.297 | 39.8 | |||
4)考察
中央農試、共和村試験地共に、窒素を12㎏基肥とした場合、発芽並に、初期生育は抑制された。
越冬前の生育は基肥量の多い方が旺盛であった。
越冬後は、開花初期頃まで、基肥窒素の多い区が、生育旺盛であるが、爾後は窒素欠乏の様相を呈する。これに反して、窒素を分施した各区は、開花期頃から葉色濃く且つ、生育も旺盛となった。尚分施量12㎏以上は濃緑を呈し、特に16㎏では過剰と思われた。
吸収構成要素は、量試験地共に、窒素の分施量の増加に伴い、良好な結果をもたらしたが、基肥量の増加はその度合いが低かった。
収量調査結果からは、窒素の分施量の多い区が、著しく増加を示したが、基肥量の増加による増収の程度は低かった。
分析結果よりは、窒素の含有率は、量試験地共に判然とした傾向を示さなかったが、吸収量は、収量と比例した。窒素の吸収率は基肥量の少ない苦が全般に高かった。
以上基肥量より分施量の方が収量に及ぼす影響が大きいなこと。分施量12㎏以上は葉色からみて多すぎること。肥料の吸収率の点等から基肥は4~8㎏、分施量は10㎏程度が妥当と思われる。
Ⅳ燐酸用量試験(1963~1964年)
1)目的 なたねの栽培面積の多い、石狩、後志支庁管内に於いて、燐酸の用量試験を行い、合理的施肥基準設定に関する基礎資料を得るために実施する。
2)実施場所
(イ)石狩郡石狩町高岡 第四紀古層 海成洪積 頁岩 埴土
(ロ)岩内郡共和村 第四紀古層 海成洪積 砂岩 埴壌土
3)試験方法
(石狩、共和試験地共に同じ)石狩試験地は冬枯れにより試験を中止する。
規模1区15m2 2連制
| 試 験 区 別 | 施肥量 ㎏/10a | 備 考 | |||
| 窒素 | 燐酸 | 加里 | 苦土 | ||
| 1 無燐酸区 | 16 | 0 | 8 | 4 | 窒素は基肥1/3量、 越冬後起生期に2/3量施肥する。 2連制 |
| 2 燐酸8㎏区 | 16 | 8 | 8 | 4 | |
| 3 燐酸12㎏区 | 16 | 12 | 8 | 4 | |
| 4 燐酸16㎏区 | 16 | 16 | 8 | 4 | |
| 5 燐酸20㎏区 | 16 | 20 | 8 | 4 | |
| 6 熔燐区 | 16 | 16 | 8 | - | |
| 7 1/2過石 1/2熔燐区 | 16 | 16 | 8 | 2 | |
4)試験結果
共和村試験地 生育調査
| 試験区別 | 冬損 歩合 (%) |
起生期 (月日) |
開花期 (月日) |
成熟期 (月日) |
草 丈 (㎝) | 葉数(枚) | 分枝数(本) | 穂長 (㎝) |
|||||
| 45日目 | 起生期 | 開花期 | 成熟期 | 45日目 | 起生期 | 開花期 | 成熟期 | ||||||
| 1 -P | 15.3 | 5.4 | 5.20 | 8.24 | 15.2 | 13.3 | 124.8 | 128.5 | 4.7 | 4.5 | 6.2 | 7.4 | 34.0 |
| 2 P8 | 13.0 | 5.4 | 5.20 | 8.25 | 21.3 | 15.6 | 140.0 | 145.1 | 5.3 | 5.4 | 7.4 | 8.9 | 30.8 |
| 3 P12 | 19.0 | 5.4 | 5.20 | 8.25 | 22.1 | 17.0 | 141.8 | 140.4 | 5.4 | 5.1 | 8.0 | 8.4 | 39.1 |
| 4 P16 | 18.2 | 5.4 | 5.20 | 8.25 | 22.9 | 16.6 | 141.3 | 143.2 | 5.5 | 5.4 | 7.2 | 7.7 | 38.9 |
| 5 P20 | 26.0 | 5.4 | 5.20 | 8.25 | 22.3 | 17.0 | 150.9 | 150.3 | 5.5 | 5.4 | 8.9 | 9.0 | 33.5 |
| 6 熔燐 | 22.3 | 5.4 | 5.20 | 8.25 | 19.3 | 16.8 | 145.4 | 154.8 | 5.2 | 5.1 | 9.4 | 9.4 | 32.0 |
| 7 1/2過石 1/2熔P |
19.1 | 5.4 | 5.20 | 8.25 | 19.6 | 16.5 | 142.3 | 139.2 | 5.3 | 5.3 | 9.8 | 9.9 | 31.2 |
収量調査
| 試験区別 | a当収量(㎏) | 子実 重比 (%) |
粒大の 整否 |
粒色 | 粒大 (mm) |
1立重 (g) |
千粒重 (g) |
||
| 稈重 | 莢重 | 子実重 | |||||||
| 1 -P | 32.08 | 13.96 | 24.58 | 100 | 中 | 黒褐色 | 2.29 | 1157 | 6.5 |
| 2 P8 | 53.96 | 16.67 | 32.50 | 132 | 〃 | 〃 | 2.31 | 1156 | 6.6 |
| 3 P12 | 50.73 | 16.04 | 29.58 | 120 | 〃 | 〃 | 2.28 | 1160 | 6.6 |
| 4 P16 | 51.88 | 16.46 | 31.46 | 128 | 〃 | 〃 | 2.31 | 1162 | 6.7 |
| 5 P20 | 47.15 | 15.94 | 31.94 | 130 | 〃 | 〃 | 2.22 | 1164 | 6.4 |
| 6 熔燐 | 45.52 | 15.31 | 30.63 | 124 | 〃 | 〃 | 2.26 | 1162 | 6.5 |
| 7 1/2過石 1/2熔P燐 |
48.85 | 16.15 | 32.00 | 130 | 〃 | 〃 | 2.26 | 1163 | 6.5 |
分析結果(風乾物 百分中%)
| 試験区別 | 水 分 | 窒 素 | 燐 酸 | 加 里 | ||||||||
| 茎稈 | 莢 | 子実 | 茎稈 | 莢 | 子実 | 茎稈 | 莢 | 子実 | 茎稈 | 莢 | 子実 | |
| 1 -P | 7.92 | 8.80 | 3.79 | 0.48 | 0.63 | 3.31 | 0.10 | 0.17 | 1.67 | 1.12 | 1.62 | 0.58 |
| 2 P8 | 8.15 | 8.62 | 3.68 | 0.59 | 0.49 | 3.46 | 0.17 | 0.25 | 1.72 | 1.36 | 1.73 | 0.58 |
| 3 P12 | 6.20 | 8.21 | 3.94 | 0.65 | 0.51 | 3.36 | 0.21 | 0.37 | 1.66 | 1.46 | 1.70 | 0.58 |
| 4 P16 | 8.13 | 8.50 | 3.74 | 0.55 | 0.62 | 3.35 | 0.19 | 0.41 | 1.89 | 1.30 | 1.50 | 0.64 |
| 5 P20 | 8.00 | 8.70 | 4.03 | 0.63 | 0.45 | 3.31 | 0.26 | 0.38 | 1.72 | 1.50 | 1.50 | 0.67 |
| 6 熔燐 | 8.40 | 8.88 | 5.11 | 0.60 | 0.51 | 3.27 | 0.25 | 0.28 | 1.50 | 1.55 | 1.85 | 0.75 |
| 7 1/2過石 1/2熔P燐 |
8.26 | 8.60 | 3.94 | 0.51 | 0.62 | 3.35 | 0.27 | 0.35 | 1.83 | 1.62 | 2.00 | 0.67 |
吸収量(㎏/a)
| 試験区別 | 窒 素 | 燐 酸 | 加 里 | |||||||||
| 茎稈 | 莢 | 子実 | 合計 | 茎稈 | 莢 | 子実 | 合計 | 茎稈 | 莢 | 子実 | 合計 | |
| 1 -P | 0.154 | 0.088 | 0.814 | 1.056 | 0.032 | 0.024 | 0.411 | 0.466 | 0.359 | 0.226 | 0.143 | 0.728 |
| 2 P8 | 0.318 | 0.082 | 1.125 | 1.525 | 0.092 | 0.042 | 0.559 | 0.692 | 0.734 | 0.288 | 0.189 | 1.211 |
| 3 P12 | 0.330 | 0.082 | 0.994 | 1.406 | 0.107 | 0.059 | 0.491 | 0.657 | 0.741 | 0.273 | 0.172 | 1.185 |
| 4 P16 | 0.285 | 0.102 | 1.054 | 1.441 | 0.099 | 0.068 | 0.595 | 0.761 | 0.674 | 0.247 | 0.201 | 1.123 |
| 5 P20 | 0.297 | 0.072 | 1.057 | 1.426 | 0.123 | 0.061 | 0.549 | 0.733 | 0.707 | 0.239 | 0.214 | 1.160 |
| 6 熔燐 | 0.273 | 0.078 | 1.002 | 1.353 | 0.114 | 0.043 | 0.460 | 0.616 | 0.706 | 0.283 | 0.230 | 1.219 |
| 7 1/2過石 1/2熔P燐 |
0.249 | 0.100 | 1.085 | 1.435 | 0.132 | 0.057 | 0.593 | 0.781 | 0.791 | 0.323 | 0.217 | 1.332 |
吸収率(%)
| 区別 | -P | P18 | P12 | P16 | P20 | 熔燐 | 1/2過石 1/2熔燐 |
| 吸収率(%) | - | 28.2 | 15.9 | 18.4 | 13.0 | 9.4 | 19.7 |
5)考察
越冬前の生育は-P区は論外として熔燐区、1/2過石、1/2熔燐区が劣り、又燐酸施用量間では8㎏区が稍劣った。(石狩試験地も同様であった)
越冬後の生育も開花期頃まで大体同様に経過したが、その後熔燐区、1/2過石、1/2熔燐区の分枝数が増加した。
尚、冬損歩合はP20㎏区、熔燐区が稍多い様であった。
収量は燐酸施与量間には大差なく8㎏で既に充分の様な結果となり、これ以上の施与は前半の生育を稍良好にするに止まった。
又熔燐は単用するより過石と併用する方がよい様であった。
分析結果からは含有率については一定の傾向はみとめられず、吸収量は1/2過石、1/2熔燐区が最高を示した。
吸収率は、P8が28.2%と成り最高であった。
(B)北海道農業試験場、農芸化学部
1窒素用量試験 昭和37年度
(Ⅰ)試験目的
秋播菜種に対して窒素の用量試験を行いその適量を尻菜種の施肥合理化の資料に供する。
(Ⅱ)試験地の位置
札幌市琴似町八軒 北海道農業試験場
(Ⅲ)試験地の特徴
イ)試験地の概往の取扱(経歴並び前作)
(10a当 要素量㎏)
| 堆肥 | N | P2O5 | K2O | 前作 | |
| 昭和34年度 | 1,875 | 11.25 | 11.25 | 4.50 | 甜菜 |
| 昭和35年度 | 1,100 | 1.82 | 5.20 | 3.75 | 馬鈴薯 |
| 昭和36年度 | 4.00 | 3.50 | 2.00 | 燕麦 |
ロ)土質及土性 河成沖積、埴壌土
ハ)畑地水田裏作の別 畑地
ニ)土壌の断面
|
埴壌土 表土21㎝(作土15㎝) | ||
| 砂壌土 |
(Ⅳ)試験設計
| 10a当 要素量(㎏) | 10a当 施肥量(㎏) | |||||||
| N | P2O5 | K2O | 尿素 | 過石 | 熔燐 | 硫加 | ||
| 秋 | 春 | 秋 | 秋 | 秋 | ||||
| 1 無窒素 | - | 12 | 10 | - | - | 28,736 | 31,579 | 20,000 |
| 2 窒素4㎏ | 4 | 12 | 10 | 2,899 | 5,797 | 28,736 | 31,579 | 20,000 |
| 3 窒素7㎏ | 7 | 12 | 10 | 5,072 | 10,145 | 28,736 | 31,579 | 20,000 |
| 4 窒素10㎏ | 10 | 12 | 10 | 7,264 | 14,493 | 28,736 | 31,579 | 20,000 |
| 5 窒素13㎏ | 13 | 12 | 10 | 9,420 | 18,841 | 28,736 | 31,579 | 20,000 |
| 6 窒素16㎏ | 16 | 12 | 10 | 11,594 | 23,188 | 28,736 | 31,579 | 20,000 |
(Ⅴ)追肥の方法 畦の両側に条肥し中耕を行った。
供試作物 品種及栽培概要
供試作物、秋播菜種
供試品種、岩内種(洋種)
栽培外葉 畦巾50㎝ 株間30㎝ 6本立。
播種9月8日(播種10a当600g)
発芽期9月13日
発芽の状況、良整。
間引き 秋10月13日に第一回目の間成を行い、翌春4月19日に第二回間引を行って30㎝間に6本立とした。
管理 春季分施の期日 4月20日
中耕除草 秋、10月13日、春、4月20日
病害虫の駆除
10月13日 D.D.T.粉剤
10月30日 セレサン石灰
11月 4日 ボルドー液とD.D.T.粉剤
11月17日 セレサン石灰
(Ⅵ)調査成績
1生育調査
| 草丈(㎝) | 葉数 31/Ⅹ (枚) |
収穫期 20/Ⅶ | 発芽期 (月日) |
間花 | 成熟期 (月日) |
||||||||
| 31/Ⅹ | 15/Ⅴ | 20/Ⅶ | 分枝数 (本) |
穂長 (㎝) |
莢長 (㎝) |
莢数 (本) |
10m2当り 茎数(本) |
始 (月日) |
終 (月日) |
||||
| 1 N-0 | 24.6 | 98.2 | 133.2 | 5.6 | 5.0 | 29.5 | 6.4 | 15.6 | 336 | 9.13 | 5.17 | 6.17 | 7.19 |
| 2 N-4 | 28.6 | 95.0 | 143.3 | 5.9 | 6.4 | 33.4 | 6.2 | 17.3 | 336 | 9.13 | 5.17 | 6.17 | 7.20 |
| 3 N-7 | 29.5 | 97.7 | 147.9 | 6.2 | 7.0 | 38.4 | 6.4 | 23.9 | 336 | 9.13 | 5.17 | 6.17 | 7.21 |
| 4 N-10 | 29.6 | 98.0 | 148.1 | 6.4 | 7.8 | 35.4 | 6.4 | 22.9 | 335 | 9.13 | 5.17 | 6.17 | 7.21 |
| 5 N-13 | 31.0 | 98.6 | 149.3 | 6.4 | 8.9 | 38.0 | 6.6 | 28.2 | 344 | 9.13 | 5.17 | 6.17 | 7.22 |
| 6 N-16 | 32.3 | 99.4 | 153.4 | 6.8 | 8.4 | 38.8 | 6.8 | 27.0 | 356 | 9.13 | 5.17 | 6.17 | 7.22 |
2収量調査
| 10a当り収量(㎏) | 子実 重比 |
更正 子実重比 |
子実重比 稈重 |
1L重 (g) |
千粒重 (g) |
|||||
| 総重 | 稈重 | 子実重 | 粃重 | 更生 子実重 |
||||||
| 1 N-0 | 646.0 | 417.2 | 228.5 | 0.3 | 223.3 | 59.57 | 55 | 658 | 6.3 | |
| 2 N-4 | 950.9 | 631.2 | 319.5 | 0.3 | 321.6 | 82 | 82 | 51 | 655 | 6.3 |
| 3 N-7 | 1083.0 | 719.7 | 362.9 | 0.3 | 365.1 | 93 | 93 | 50 | 658 | 6.5 |
| 4 N-10 | 1185.8 | 794.0 | 391.4 | 0.5 | 394.1 | 100 | 100 | 49 | 656 | 6.6 |
| 5 N-13 | 1195.9 | 806.0 | 387.4 | 0.4 | 406.6 | 99 | 103 | 48 | 652 | 6.6 |
| 6 N-16 | 1329.8 | 896.9 | 432.5 | 0.5 | 426.8 | 111 | 108 | 48 | 655 | 6.8 |
3植物体分析値及要素吸収量
(1)要素含有率
| 要 素 含 有 率 (乾物 %) | |||||||||||||
| N | P2O5 | K2O | |||||||||||
| 茎 葉 | 子実 | 茎 葉 | 子実 | 茎 葉 | 子実 | ||||||||
| 19/Ⅳ | 15/Ⅴ | 20/Ⅶ | 19/Ⅳ | 15/Ⅴ | 20/Ⅶ | 19/Ⅳ | 15/Ⅴ | 20/Ⅶ | |||||
| 1 | N-0 | 4.283 | 1.900 | 0.518 | 2.872 | 1.090 | 1.012 | 0.147 | 1.557 | 2.870 | 2.273 | 1.708 | 0.819 |
| 2 | N-4 | 4.309 | 2.614 | 0.455 | 3.059 | 1.053 | 0.943 | 0.131 | 1.512 | 2.638 | 2.238 | 1.550 | 0.807 |
| 3 | N-7 | 4.325 | 2.614 | 0.471 | 3.146 | 1.017 | 0.925 | 0.130 | 1.517 | 2.638 | 2.221 | 1.469 | 0.801 |
| 4 | N-10 | 4.325 | 2.702 | 0.531 | 3.233 | 1.090 | 0.943 | 0.147 | 1.521 | 2.638 | 2.102 | 1.453 | 0.804 |
| 5 | N-13 | 4.547 | 2.986 | 0.564 | 3.322 | 1.090 | 1.004 | 0.147 | 1.530 | 2.612 | 2.015 | 1.316 | 0.870 |
| 6 | N-16 | 4.547 | 3.265 | 0.564 | 3.346 | 1.090 | 0.950 | 0.137 | 1.519 | 2.662 | 2.225 | 1.418 | 0.847 |
(2)収穫期要素吸収量
| 10 a 当 (㎏) | N利用率 | ||||||||||
| N | P2O5 | K2O | |||||||||
| 茎稈 | 子実 | 計 | 茎稈 | 子実 | 計 | 茎稈 | 子実 | 計 | |||
| 1 | N-0 | 1.906 | 6.144 | 8.050 | 0.539 | 3.320 | 3.859 | 6.271 | 1.752 | 8.023 | - |
| 2 | N-4 | 2.527 | 9.147 | 11.674 | 0.728 | 4.521 | 5.249 | 8.606 | 2.413 | 11.019 | 90.6 |
| 3 | N-7 | 2.983 | 10.683 | 13.666 | 0.823 | 5.152 | 5.975 | 9.303 | 2.720 | 12.023 | 80.2 |
| 4 | N-10 | 3.710 | 11.864 | 15.556 | 1.027 | 5.574 | 6.601 | 10.153 | 2.946 | 13.099 | 75.1 |
| 5 | N-13 | 4.000 | 12.056 | 16.056 | 1.043 | 5.547 | 6.590 | 9.335 | 3.155 | 12.490 | 61.6 |
| 6 | N-16 | 4.452 | 13.546 | 17.998 | 1.082 | 6.159 | 1.241 | 11.192 | 3.430 | 14.622 | 62.2 |
(Ⅶ)試験結果の概要
1)播種後越冬前-9月8日播種、9月13日各区共良整に発芽期に達し、発芽後積雪に至る生育も亦、極めて良好に経過した。
この間数回に亘り薬剤撒布、ぢあ1回間引、中耕(10月13日)等の管理を行った。各区間の生育はN用量試験では、N施用量の増加に従って葉色が濃くなり、生育量も増大する傾向を示し、Nの効果が顕著に認められた。
しかし硫安及尿素のN源の相違による生育の差異は認められない。起生期から成熟期-融雪は4月3日で平年より3日早く、4月5日の天候が特に良好で菜種の生育は順調に進んだ。4月19日第2回の間引、翌日にN分施後中耕を行った。間引は30㎝間に6本立となるよう注意して行ったが、若干生え切れ、冬枯れ等の箇所を生じたため必ずしも規定の本数を獲得できなかった。
起生期の生育は越冬前同様、秋N施用量の多い区の生育が旺盛であった。分施後、N用量試験は秋期同様Nの増施につれて生育量を増し、特にN多用の16㎏区は葉色が濃色で生育も幾分軟弱気味であった。このように生育量の増大は分枝数、穂長、莢数等の増加となりN増施による効果が大きい。
開花期間はN量の相違により全く変わらないが、成熟期は僅かながら-N区が早く、N多用区が遅れるがその差は1~2日位であった。
2)収量調査
収量調査の結果、N用量試験に於いては、Nの増施により稍、子実収量の増加が見られ、生育の傾向と一致している。ただN13㎏区の収量のみはN10㎏区と変わらないが、茎数の不足を補正すると同様増収を示す。
またNの増施により千粒重の増加と子実/稈重比の低下が見られる。
3)作物体三要素分析値及吸収量
N用量試験ではNの増施に伴い生育の各期共葉及稈のN含量が増大し、この傾向は子実でも同様である。またN含量の増加に対し、PK含量は減少の傾向を示すがその程度は僅かである。
この結果、収穫期の3要素吸収量はこの増施により共に増加している。
N利用率は90~60%の範囲でN16㎏区でもかなり高い値となっている。
(Ⅷ)試験結果の要約
以上秋播菜種に対して尿素を用い、N用量試験を行った結果、N用量試験では、Nの増施に伴い生育、収量、及び要素吸収量に顕著な増加が見られN増施の効果が大きかった。
N16㎏施用の場合には生育の様相からして幾分ですぎの稈があったが収量は最も高かった。
本試験の結果からNの適量は、一応N16㎏程度が限度と考えられた。
Ⅱ窒素分施割合に関する試験 昭和38年度
Ⅰ)試験目的
秋播菜種に対して尿素を用い分施試験を行い、その適量割合を尻菜種施肥合理化の資料に供する。
Ⅱ)試験地の供置
札幌市琴似町八軒 北海道農業試験場
Ⅲ)試験地の特徴
イ)試験地の既往の取扱(経歴及び前作)
| 10a当堆肥 | 10a当要素量(㎏) | 前作 | |||
| N | P2O5 | K2O | |||
| 昭和35年度 | 1.100 | 5.20 | 5.20 | 3.75 | 馬鈴薯 |
| 昭和36年度 | - | 3.70 | 4.80 | 2.00 | 人参 |
| 昭和37年度 | - | 4.00 | 4.60 | 2.50 | 燕麦 |
ロ)地質及び土性 河成沖積、壌土、排水良好
ハ)畑地水田裏作の別 畑地
ニ)土壌の断面
|
壌土 表土 21㎝ (作土15㎝) | ||
| 砂壌土 |
Ⅳ)試験設計
| 秋 春 | 10a当要素量 ㎏ | 10a 当 施 肥 量 ㎏ | ||||||||
| N | P2O5 | K2O | 尿 素 | 硫 安 | 過石 | 熔燐 | 硫加 | |||
| 秋 | 春 | 秋 | 春 | 秋 | 秋 | 秋 | ||||
| 1 硫安1/3、硫安2/3 | 10 | 10 | 8 | - | - | - | - | 23,809 | 23,809 | 16,000 |
| 2 尿素1/3、尿素2/3 | 10 | 10 | 8 | 7,249 | 14,493 | - | - | 23,809 | 23,809 | 16,000 |
| 3 尿素1/2、尿素1/2 | 10 | 10 | 8 | 10,870 | 10,870 | - | - | 23,809 | 23,809 | 16,000 |
| 4 尿素2/3、尿素1/3 | 10 | 10 | 8 | 14,493 | 7,246 | - | - | 23,809 | 23,809 | 16,000 |
| 5 尿素1/3、硫安2/3 | 10 | 10 | 8 | 7,246 | - | - | 31,748 | 23,809 | 23,809 | 16,000 |
| 6 硫2/3、尿素1/3 | 10 | 10 | 8 | - | 14,493 | 15,871 | - | 23,809 | 23,809 | 16,000 |
| 7 無窒素 | - | 10 | 8 | - | - | - | - | 23,809 | 23,809 | 16,000 |
| 8 硫2/3、硫1/3 | 10 | 10 | 8 | - | - | 31,748 | 15,871 | 23,809 | 23,809 | 16,000 |
追肥の方法 畦の両側に施肥し中耕を行った。
供試品種 秋播菜種、岩内種(洋種)
Ⅴ)栽培概要
畦巾 50㎝ 株間30㎝に6本立
播種 9月4日(播種量10a当600g)
間引 秋2月27日第1回の間引を行い翌春4月19日、第2回の間引を行って30㎝間に6本立とした。
分施の期日 4月20日
中耕除草 秋10月6日 春4月20日
病害虫の駆除 9月22日 BHC撒布(青虫防除)
収穫 7月22日
Ⅵ)調査成績
1生育調査
| 秋 春 | 草 丈 | 収穫期 20/Ⅶ | 10m2当 茎数 (本) |
発芽 | 開 花 | 成熟期 | ||||||||
| 7/Ⅴ | 18/Ⅶ | 分枝数 (本) |
穂長 (㎝) |
莢長 (㎝) |
一穂莢数 (本) |
期 | 状況 | 始 | 期 | 揃 | 終 | |||
| 1 硫1/3、硫2/3 | 29.1 | 122.2 | 5.4 | 25.0 | 5.55 | 16.4 | 400 | 9.8 | 良整 | 5.15 | 5.17 | 5.19 | 6.14 | 7.21 |
| 2 尿1/3、尿2/3 | 26.7 | 125.5 | 5.5 | 29.2 | 5.42 | 15.5 | 394 | 9.8 | 〃 | 5.13 | 5.17 | 5.19 | 6.14 | 7.22 |
| 3 尿1/2、尿1/2 | 31.4 | 130.8 | 5.9 | 28.2 | 5.71 | 17.9 | 396 | 9.8 | 〃 | 5.14 | 5.17 | 5.19 | 6.14 | 7.22 |
| 4 尿2/3、尿1/3 | 33.5 | 130.8 | 6.1 | 26.8 | 5.67 | 17.8 | 391 | 9.8 | 〃 | 5.13 | 5.17 | 5.19 | 6.14 | 7.21 |
| 5 尿1/3、硫2/3 | 28.3 | 126.5 | 5.7 | 28.0 | 5.52 | 20.5 | 385 | 9.8 | 〃 | 5.15 | 5.17 | 5.19 | 6.14 | 7.23 |
| 6 硫2/3、尿1/3 | 28.5 | 125.6 | 6.1 | 25.9 | 5.47 | 17.2 | 370 | 9.8 | 〃 | 5.13 | 5.17 | 5.19 | 6.14 | 7.22 |
| 7 無窒素 | 17.1 | 105.3 | 3.3 | 20.7 | 5.32 | 12.3 | 370 | 9.8 | 〃 | 5.15 | 5.17 | 5.19 | 6.14 | 7.25 |
| 8 硫2/3、硫1/3 | 63.2 | 126.3 | 6.1 | 23.8 | 5.64 | 13.8 | 391 | 9.8 | 〃 | 5.12 | 5.17 | 5.19 | 6.14 | 7.21 |
2収量調査
| 秋 春 | 10a当収量(㎏) | 子実 重比 |
更正 子実重比 |
子実 稈重比 |
1L重 (g) |
千粒重 (g) |
||||
| 総重 | 稈重 | 子実重 | 米比重 | 更正 子実重 |
||||||
| 1 硫1/3、硫2/3 | 738.88 | 487.8 | 250.8 | 0.28 | 248.1 | 100 | 100 | 51 | 646 | 5.4 |
| 2 尿1/3、尿2/3 | 790.62 | 542.8 | 247.5 | 0.32 | 246.0 | 99 | 99 | 46 | 634 | 3.2 |
| 3 尿1/2、尿1/2 | 802.45 | 559.5 | 242.8 | 0.15 | 241.0 | 97 | 97 | 43 | 638 | 5.2 |
| 4 尿2/3、尿1/3 | 768.73 | 531.6 | 237.0 | 0.13 | 236.2 | 95 | 95 | 45 | 644 | 5.4 |
| 5 尿1/3、硫2/3 | 816.42 | 554.6 | 261.6 | 0.22 | 262.1 | 104 | 106 | 47 | 633 | 5.3 |
| 6 硫2/3、尿1/3 | 832.00 | 566.5 | 265.2 | 0.30 | 269.3 | 106 | 109 | 47 | 636 | 4.9 |
| 7 無窒素 | 413.38 | 285.8 | 127.5 | 0.08 | 129.5 | 51 | 52 | 45 | 651 | 5.9 |
| 8 硫2/3、硫1/3 | 684.70 | 461.6 | 240.9 | 0.20 | 240.1 | 96 | 97 | 52 | 631 | 5.4 |
分散分析表
| SS | dt | MS | F | 試験区 | |
| 全体の偏差平方和 | 43,739.89 | 23 | L.S.D. | ||
| 試験区間 〃 | 41,061.32 | 7 | 5,863.90 | ※※ 34.036 |
5%水準 23.01 |
| Clock間 〃 | 265.75 | 2 | 132.88 | 0.771 | 1%水準 31.89 |
| 誤 差 | 2,412.82 | 14 | 172.34 |
3植物体分析値と要素吸収量
収穫期要素含有率(乾物%)
| 秋 春 | N | P2O5 | K2O | |||
| 茎稈 | 子実 | 茎稈 | 子実 | 茎稈 | 子実 | |
| 1 硫1/3、硫2/3 | 0.400 | 3.215 | 0.143 | 1.683 | 0.953 | 0.901 |
| 2 尿1/3、尿2/3 | 0.407 | 3.205 | 0.152 | 1.714 | 1.021 | 0.901 |
| 3 尿1/2、尿1/2 | 0.391 | 3.154 | 0.150 | 1.703 | 0.808 | 0.903 |
| 4 尿2/3、尿1/3 | 0.397 | 3.117 | 0.160 | 1.746 | 0.821 | 0.903 |
| 5 尿1/3、硫2/3 | 0.453 | 3.337 | 0.169 | 1.702 | 1.197 | 0.918 |
| 6 硫2/3、尿1/3 | 0.427 | 3.187 | 0.151 | 1.705 | 1.216 | 0.920 |
| 7 無窒素 | 0.425 | 2.231 | 0.183 | 1.701 | 1.078 | 0.902 |
| 8 硫2/3、硫1/3 | 0.420 | 3.192 | 0.172 | 1.701 | 0.957 | 0.902 |
収穫期要素吸収量(10a当㎏)
| 秋 春 | N | P2O5 | K2O | ||||||
| 茎稈 | 子実 | 計 | 茎稈 | 子実 | 計 | 茎稈 | 子実 | 計 | |
| 1 硫1/3、硫2/3 | 1.646 | 7.263 | 8.909 | 0.588 | 3.802 | 4.390 | 3.922 | 2.035 | 5.957 |
| 2 尿1/3、尿2/3 | 1.865 | 7.122 | 8.987 | 0.697 | 3.809 | 4.506 | 4.680 | 2.002 | 6.682 |
| 3 尿1/2、尿1/2 | 1.848 | 6.903 | 8.751 | 0.709 | 3.728 | 4.437 | 3.818 | 1.976 | 5.794 |
| 4 尿2/3、尿1/3 | 1.777 | 6.670 | 8.447 | 0.716 | 3.736 | 4.452 | 3.676 | 1.932 | 5.608 |
| 5 尿1/3、硫2/3 | 2.092 | 7.837 | 9.927 | 0.781 | 3.997 | 4.778 | 5.529 | 2.156 | 7.685 |
| 6 硫2/3、尿1/3 | 2.043 | 7.667 | 9.710 | 0.722 | 4.102 | 4.824 | 5.817 | 2.213 | 8.030 |
| 7 無窒素 | 1.030 | 3.719 | 4.749 | 0.443 | 1.958 | 2.401 | 2.612 | 1.038 | 3.650 |
| 8 硫2/3、硫1/3 | 1.638 | 6.945 | 8.583 | 0.671 | 3.701 | 4.372 | 3.733 | 1.963 | 5.696 |
Ⅶ)試験結果の概要
1生育の概況
播種後-越冬前。9月4日播種、9月9日各区共良整に発芽期に達し、9月下旬には葉色、生育共-N区と+N区の間に明らかな差異が生じて来たが基肥量の多少(1/3、1/2、2/3間)による差は明らかでなかった。しかし10月中旬になると基肥量の多少による差異が見られてきた。即ち、基肥2/3区は1/3区に比べ明らかに葉色も濃く、生育も良く1/2区は両者の中間でNの効果が顕著に認められた。硫安と尿素のN源の相違による生育の差異は判然としなかった。この間薬剤の撒布、第1回の間引、中耕(9月27日)等の管理を行った。
起生期→成熟期。冬期間の積雪量は平年より少なく、融雪は3月19日で平年より13日早かったが4月8日に積雪20㎝に及び降雪があり、その後天候は回復し、起生期生育は順調であった。しかし4月下旬から5月上旬にかけて気温は低く、また4月下旬から5月下旬迄は降水量が平年より30%も少なく試験圃場が特に排水良好な土地であったので旱魃のため全般に生育は遅れ、平年に比べ草丈は短く、収量も平年作におよばなかった。
起生期の生育は基肥1/3区に冬枯が若干見られたが、葉色は+N区は各区大差なく、伸長は越冬前同様、基肥量の多い区の生育が旺盛で特に硫安2/3基肥区が優れていた。
4月19日第2回の間引きN追施後中耕を行った。間引は30㎝間に6本立となるよう注意して行ったが、生え切れ、冬枯等のため規定の本数を確保することができなかった。
その後、春施肥量の多い2/3追肥区は生育が旺盛となり、葉色も濃く初期生育の遅れを挽回した。+N区間での生育は大差がなく、分枝数、穂長、莢長、莢数等も殆ど差異が認められなかった。
2収量調査
収量調査の結果、基肥1/3追肥2/3区が茎稈、子実収量共増加が見られ、基肥1/2追肥1/2区、及び基肥2/3追肥1/3区は劣った。硫安と尿素の基肥、追肥の組合せの上では硫安基肥1/3尿素追肥2/3区、尿素基肥1/3硫安追肥2/3が硫安、尿素夫々単独での基肥1/3、追肥2/3区に比べ優った。硫安、尿素のN源による差は認められなかった。
3植物体の分析結果
尿素施用区と対照硫安区の間に差異がなく両者の肥効は全く同等と判断される。
4試験結果の要約
春起生期の生育は基肥量の多い各区が稍々優り、その後は、追肥量の多い区の生育が良好となり、初期生育の遅れを挽回した。
収量調査の結果、基肥1/3、追肥2/3区が茎稈重、子実重共稍々優り、植物体分析結果も尿素、硫安両者は同一処理においてはその肥効は全く同一であることを示した。
従って、秋版菜種に対して春、秋お分施割合は本試験実施圃場においては大きな差異を認め難いが起生期以後の体内濃度の推移からみて、春追肥割合の多い方が幾分有利なものと考えられる。
(C)北海道立中央試験場 稲作部
試験目的
秋播ナタネの栽培は近年漸次減少の傾向をたどっているが、反面畑作農家の経営上に於いては、換金作物としても、又労力の配分場より見ても考慮に値すべき作物と考えられる。而し反面、一般栽培者は該作物の栽培を粗放的に取扱い、ためにその栽培法も一貫性がなく、中でも施肥に関してはまちまちであるので、栽培法を加味し施肥法確立を目的として実施した。
試験実施年次 昭和33年9月~39年8月
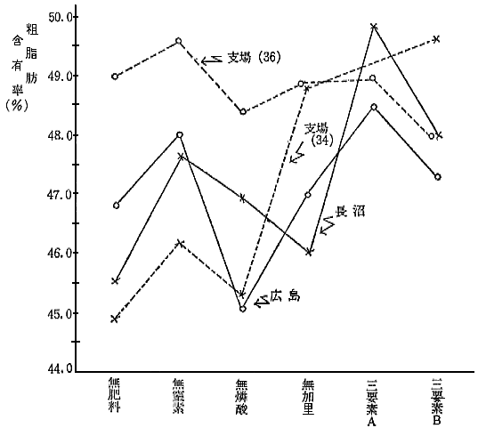
試験実施場所 空知支場 泥炭質土壌
夕張群長沼町 海成浜積(凝灰質)土壌
札幌郡広島村 火山性土壌
夕張郡由仁町 火山性土壌
岩見沢市孫別 重粘性土壌
試験地土壌の性質
| PH | Yi | 置換性 石灰 |
全窒素 | 腐植 | 炭素率 | 置換 容量 |
N/5Hcl | 可溶 | 吸収 | 係数 | |||
| H2O | Kcl | C/N | P2O5 | K2O | N | P2O5 | |||||||
| 支場 | 1層 | 5.6 | 4.9 | 1.6 | 0.45 | 0.98 | 17.0 | 10 | 36.4 | 0.020 | 0.011 | 595 | 1677 |
| 2層 | 4.2 | 3.8 | 56.9 | 0.11 | 0.48 | 18.8 | 23. | 38.9 | 0.008 | 0.009 | 667 | 1678 | |
| 長沼 | 1層 | 5.9 | 5.1 | 1.1 | 0.28 | 0.27 | 3.8 | 8 | 24.2 | 0.017 | 0.031 | 277 | 564 |
| 2層 | 5.9 | 4.9 | 1.1 | 0.39 | 0.28 | 4.4 | 9 | - | - | - | - | - | |
| 広島 | 1層 | 6.2 | 5.6 | 1.3 | 0.58 | 0.75 | 14.2 | 11 | 46.8 | 0.032 | 0.009 | 662 | 1870 |
| 2層 | 6.1 | 5.3 | 1.0 | 0.54 | 0.83 | 16.1 | 11 | 46.9 | 0.017 | 0.004 | 685 | 1940 | |
| 由仁 | 1層 | 6.2 | 5.5 | 1.8 | 0.31 | 0.29 | 5.2 | 11 | 21.4 | 0.042 | 0.007 | 334 | 723 |
| 2層 | - | - | - | - | - | - | - | - | - | - | - | - | |
| 孫別 | 1層 | 6.4 | 5.8 | 1.0 | 0.23 | 0.19 | 3.3 | 11 | 12.0 | 0.005 | 0.008 | 187 | 779 |
| 2層 | 6.1 | 5.2 | 1.0 | 0.22 | 0.17 | 3.0 | 11 | 11.5 | 0.003 | 0.002 | 191 | 799 | |
試験内容
Ⅰ 3要素試験
1.試験実施場所
(a)夕張郡長沼町 33年9月~34年8月
(b)札幌郡広島村 〃 〃
(c)空知支場 34年9月~37年8月
2.試験設計(g/a)
| 試験区名 | N | P2O5 | K2O | 備 考 |
| 1.無肥料 | - | - | - | 1~5区までは3要素全量基肥として施用 6区はN・・・1/3基肥、2/3起生期分施、P2O5、 K2Oは全量基肥として施用 |
| 2.無窒素 | - | 750 | 563 | |
| 3.無燐酸 | 1,125 | - | 〃 | |
| 4.無加里 | 〃 | 750 | - | |
| 5.3要素A | 〃 | 〃 | 563 | |
| 6. 〃 B | 〃 | 〃 | 〃 |
| (註)但し35、36年度は | ┌ │ │ ┤ │ │ └ |
N・・・1,200 |
| P2O5・・・ | ||
| K2O・・・600とし3~5区まではN1/3基肥 2/3起生期分施とす。 6区は1/3基肥:1/3起生期及び 1/3起生期及び1/3着蕾期に分施とす。 |
供試品種 秋播ナタネ(岩内)
供試肥料 硫安、過石、硫加
1区面積及び区制 16.5m2 2区制
栽培法 畦巾50㎝ 条播
播種量 1L/10a
潜土性害虫駆除のためヘプタクロール
3.0kg/10a施用
3.試験成績
(1)生育収量
(a)夕張郡長沼町(33年9月8日播種)
| 区名 | 成熟期 | 冬損率 (%) |
1株 莢数 |
a当り㎏ | 子実 / 稈莢 |
赤粒 歩合 (%) |
1L中 (g) |
千粒重 | ||
| 草丈 | 茎数 | 子実重 | 全比(%) | |||||||
| 1 | 132.3 | 11 | 47.7 | 149 | 20.4 | 60(69) | 52 | 21.0 | 652.5 | |
| 2 | 140.5 | 9 | 62.5 | 131 | 24.6 | 73(83) | 48 | 23.2 | 659.1 | |
| 3 | 149.7 | 10 | 41.2 | 243 | 29.1 | 86(98) | 50 | 27.3 | 654.1 | |
| 4 | 147.9 | 8 | 40.0 | 187 | 26.7 | 79(90) | 51 | 26.2 | 658.6 | |
| 5 | 150.6 | 10 | 52.7 | 215 | 29.6 | 88(100) | 49 | 29.7 | 662.5 | |
| 6 | 148.5 | 9 | 40.0 | 214 | 33.8 | 100(114) | 47 | 29.9 | 656.4 | |
(b)札幌郡広島村(33年9月1日播種)
| 区名 | 成熟期 | 冬損率 (%) |
1株 莢数 |
a当り㎏ | 子実 / 稈莢 |
赤粒 歩合 (%) |
1L中 (g) |
千粒重 | ||
| 草丈 | 茎数 | 子実重 | 全比(%) | |||||||
| 1 | 125.0 | 15 | 15.8 | 97 | 18.5 | 64(65) | 45 | 14.3 | 653.6 | |
| 2 | 129.2 | 11 | 40.0 | 144 | 24.6 | 85(86) | 46 | 23.8 | 653.6 | |
| 3 | 144.3 | 13 | 25.0 | 146 | 25.0 | 86(88) | 39 | 24.9 | 653.6 | |
| 4 | 161.5 | 10 | 23.6 | 167 | 28.2 | 97(99) | 43 | 25.7 | 656.9 | |
| 5 | 163.3 | 9 | 25.0 | 158 | 28.5 | 98(100) | 41 | 21.4 | 653.0 | |
| 6 | 154.3 | 12 | 25.0 | 160 | 29.1 | 100(102) | 44 | 18.9 | 653.6 | |
(c)-(1)空知支場(34年9月17日播種)
| 区名 | 成熟期 | 冬損率 (%) |
1株 莢数 |
a当り㎏ | 子実 / 稈莢 |
赤粒 歩合 (%) |
1L中 (g) |
千粒重 | ||
| 草丈 | 茎数 | 子実重 | 全比(%) | |||||||
| 1 | 91.1 | 6 | 22.3 | 136 | 8.2 | 29 | 32 | 16.5 | 642.0 | |
| 2 | 114.0 | 9 | 9.2 | 184 | 23.0 | 81 | 42 | 23.8 | 631.5 | |
| 3 | 94.5 | 5 | 22.3 | 238 | 9.0 | 32 | 33 | 22.0 | 627.0 | |
| 4 | 126.5 | 8 | 20.0 | 267 | 23.7 | 83 | 38 | 21.5 | 635.5 | |
| 5 | - | - | - | - | - | - | - | - | - | |
| 6 | 142.6 | 8 | 11.2 | 340 | 28.5 | 100 | 37 | 18.8 | 632.0 | |
(c)-2空知支場 集中豪雨のため査不能
(c)-3空知支場 (36年9月2日播種)
| 区名 | 成熟期 | 冬損率 (%) |
1株 莢数 |
a当り㎏ | 子実 / 稈莢 |
赤粒 歩合 (%) |
1L中 (g) |
千粒重 | ||
| 草丈 | 茎数 | 子実重 | 全比(%) | |||||||
| 1 | 104.3 | 15 | 25.2 | 161 | 20.3 | 48(53) | 39 | 12.1 | 646.0 | 6.02 |
| 2 | 108.2 | 18 | 6.5 | 120 | 34.9 | 83(91) | 54 | 10.2 | 640.7 | 5.86 |
| 3 | 108.2 | 21 | 4.0 | 194 | 34.2 | 81(89) | 42 | 11.1 | 640.8 | 5.97 |
| 4 | 105.7 | 20 | 2.5 | 250 | 38.0 | 90(99) | 46 | 10.2 | 635.0 | 5.83 |
| 5 | 122.9 | 15 | 9.9 | 236 | 38.3 | 918100) | 42 | 12.8 | 643.3 | 5.62 |
| 6 | 115.7 | 16 | 13.8 | 252 | 42.2 | 100(110) | 45 | 12.9 | 646.3 | 6.21 |

②養分吸収
| 場所 | (a)長沼町 | ||||
| 区名/項目 | 吸収量(g/a) | 粗脂肪(㎏/a) | |||
| N | P2O5 | K2O | 含有率 | 含有量 | |
| 1 | 740 | 420 | 680 | 45.5 | 8.64 |
| 2 | 870 | 520 | 810 | 47.7 | 10.78 |
| 3 | 1,130 | 630 | 1,170 | 47.0 | 10.80 |
| 4 | 950 | 520 | 830 | 46.0 | 11.49 |
| 5 | 1,030 | 580 | 1,110 | 49.9 | 13.78 |
| 6 | 1,370 | 690 | 1,430 | 48.0 | 15.15 |
| 場所 | (b)広島村 | ||||
| 区名/項目 | 吸収量(g/a) | 粗脂肪(㎏/a) | |||
| N | P2O5 | K2O | 含有率 | 含有量 | |
| 1 | 610 | 290 | 560 | 46.8 | 8.12 |
| 2 | 880 | 430 | 860 | 48.0 | 11.12 |
| 3 | 900 | 360 | 1,070 | 45.1 | 10.59 |
| 4 | 1,040 | 510 | 970 | 47.0 | 12.43 |
| 5 | 990 | 490 | 1,190 | 48.5 | 12.96 |
| 6 | 1,120 | 500 | 850 | 47.3 | 12.90 |
(c)-1支場(34年)
| 区名/項目 | 吸収量(g/a) | 粗脂肪(㎏/a) | |||
| N | P2O5 | K2O | 含有率 | 含有量 | |
| 1 | 420 | 100 | 360 | 44.9 | 3.49 |
| 2 | 1,000 | 350 | 740 | 46.2 | 10.09 |
| 3 | 410 | 130 | 290 | 45.3 | 3.87 |
| 4 | 950 | 340 | 720 | 48.9 | 10.99 |
| 5 | - | - | - | - | - |
| 6 | 1,100 | 410 | 1,000 | 49.6 | 13.34 |
(c)-3支場(36年)
| 区名/項目 | 吸収量(g/a) | 粗脂肪(㎏/a) | |||
| N | P2O5 | K2O | 含有率 | 含有量 | |
| 1 | 841 | 352 | 799 | 49.0 | 9.28 |
| 2 | 1,286 | 585 | 999 | 49.6 | 15.88 |
| 3 | 1,410 | 488 | 1,194 | 48.9 | 15.19 |
| 4 | 1,604 | 639 | 666 | 48.9 | 17.10 |
| 5 | 1,650 | 676 | 1,025 | 49.0 | 17.36 |
| 6 | 1,875 | 739 | 1,127 | 48.0 | 18.60 |
各要素吸収率
| 試験地 | 土壌 | N | P2O5 | K2O |
| 長沼町 | 凝灰質 | 49.3 | 8.0 | 105.6 |
| 広島村 | 火灰性 | 21.2 | 18.0 | - |
| 支場(34年) | 泥炭質 | 9.6 | 37.2 | 50.6 |
| 〃 (36年) | 〃 | 49.1 | 31.4 | 16.8 |

4.考察
(a)長沼町(凝灰質)
本土壌に於ける要素の肥効は、特に窒素の肥効顕著であって制限因子の如くである。又燐酸、加里の肥効も明らかで、中でも加里の肥効大きく、特に油脂含量に大きく影響する様である。
(b)広島村(火灰性)
本土壌に於ける要素の肥効は、窒素、燐酸共に高い。又、油脂含量との関係では、燐酸加里共に関与している如くである。
(c)支場(泥炭質)
本土壌に於ける要素の肥効は共に明らかで特に燐酸の肥効明らかで制限因子の如く現れ、初期生育より判然と作用している。而し、窒素の施用法如何で相当相殺される様である。
油脂含量に於いてもかかる傾向が認められる
Ⅱ窒素分施割合に関する試験
1.試験実施場所
(a) 夕張郡長沼町 33年9月
(b) 札幌郡広島村 〃
(c)夕張郡由仁町 37年9月
(d) 岩見沢市孫別 〃
(e) 支場 〃
2.試験設計(g/a)
(a)-(b)試験地
| 試 験 区 別 | N | P2O5 | K2O | 備 考 | |||||
| 1.N1/2基肥:1/2分施 | 1,125 | 750 | 563 |
|
|||||
| 2.N1/3 〃 :2/3 〃 | 〃 | 〃 | 〃 | ||||||
| 3.N2/3 〃 :1/3 〃 | 〃 | 〃 | 〃 |
(c)-(d)-(e)試験地
| 試 験 区 別 | N | P2O5 | K2O | 備 考 | |||||||||
| 1.無窒素 | - | 800 | 600 |
|
|||||||||
| 2.N全量基肥 | 1,200 | 〃 | 〃 | ||||||||||
| 3.N1/2基肥:1/2分施 | 〃 | 〃 | 〃 | ||||||||||
| 4.N1/3 〃 :2/3 〃 | 〃 | 〃 | 〃 | ||||||||||
| 5.N1/3 〃 :分施2回 | 〃 | 〃 | 〃 |
3.試験成績
①生育、収量
(a)夕張郡長沼町(33年9月8日播種)
| 区名 | 成熟期 | 冬損率 (%) |
1株 莢数 |
a当㎏ | 子実 / 稈莢 |
赤粒 歩合 (%) |
1L重 (g) |
千粒重 | ||
| 草丈 | 茎数 | 予定重 | 同比 | |||||||
| 1 | 149.9 | 10 | 23.1 | 282 | 30.0 | 100 | 45 | 33.9 | 664.1 | 5.15 |
| 2 | 148.2 | 11 | 8.4 | 302 | 34.0 | 114 | 48 | 34.6 | 665.0 | 4.94 |
| 3 | 153.1 | 12 | 24.3 | 263 | 33.0 | 112 | 48 | 28.7 | 666.9 | 4.96 |
(b)札幌群広島村(33年9月1日)
| 区名 | 成熟期 | 冬損率 (%) |
1株 莢数 |
a当㎏ | 子実 / 稈莢 |
赤粒 歩合 (%) |
1L重 (g) |
千粒重 | ||
| 草丈 | 茎数 | 予定重 | 同比 | |||||||
| 1 | 167.0 | 11 | 21.5 | 200 | 24.4 | 100 | 41 | 26.4 | 658.0 | 4.95 |
| 2 | 163.7 | 10 | 20.0 | 183 | 26.6 | 109 | 39 | 28.8 | 654.7 | 4.98 |
| 3 | 165.3 | 9 | 21.5 | 166 | 25.8 | 106 | 36 | 23.5 | 656.4 | 5.06 |
(c)夕張郡由仁町(37年9月5日播種)
| 区名 | 成熟期 | 冬損率 (%) |
1次分 枝数 |
a当り | 子実 / 稈莢 |
赤粒 歩合 (%) |
1L重 (g) |
千粒重 (g) |
||
| 草丈 | 茎数 | 子実重 | 同比 | |||||||
| 1 | 101.6 | 3.7 | 42.8 | 6.5 | 3.7 | 51 | 13 | 72.0 | 670.0 | 4.30 |
| 2 | 111.6 | 3.5 | 27.5 | 10.5 | 6.7 | 93 | 17 | 76.9 | 676.0 | 4.20 |
| 3 | 113.0 | 3.4 | 27.2 | 8.8 | 7.2 | 100 | 15 | 51.6 | 668.8 | 4.40 |
| 4 | 115.6 | 3.5 | 17.5 | 9.0 | 7.4 | 103 | 17 | 66.8 | 668.5 | 4.38 |
| 5 | 119.6 | 3.8 | 11.6 | 10.7 | 6.7 | 93 | 13 | 63.2 | 675.3 | 4.36 |
(d)岩見沢市孫別(37年9月6日播種)
冬損のため全減
(e)支場(37年9月1日)
| 区名 | 成熟期 | 冬損率 (%) |
1次分 枝数 |
a当り | 子実 / 稈莢 |
赤粒 歩合 (%) |
1L重 (g) |
千粒重 (g) |
||
| 草丈 | 茎数 | 子実重 | 同比 | |||||||
| 1 | 123.6 | 9.2 | 7.1 | 4.6 | 15.3 | 57 | 27 | 15.4 | 636.0 | 5.05 |
| 2 | 142.6 | 7.5 | 0 | 8.0 | 23.7 | 89 | 28 | 14.4 | 655.2 | 4.63 |
| 3 | 142.0 | 8.5 | 0 | 8.1 | 26.7 | 100 | 28 | 18.7 | 645.5 | 4.56 |
| 4 | 139.9 | 7.0 | 12.5 | 7.3 | 28.7 | 107 | 29 | 20.4 | 644.7 | 4.48 |
| 5 | 131.2 | 7.8 | 8.3 | 7.1 | 27.6 | 103 | 28 | 18.4 | 653.5 | 4.70 |

②養分吸収
| 区 名 | 粗脂肪含有率(%) | 粗脂肪量(㎏/a) | ||
| 長沼 | 広島 | 長沼 | 広島 | |
| 1.N1/2:1/2 | 46.1 | 45.9 | 12.9 | 10.5 |
| 2.N1/3:2/3 | 48.0 | 47.3 | 15.3 | 11.8 |
| 3.N2/3:1/3 | 46.1 | 46.1 | 14.4 | 11.2 |
| 区 名 | 粗脂肪含有率(%) | 粗脂肪量(㎏/a) | N吸収率(%) | |||
| 由仁 | 支場 | 由仁 | 支場 | 由仁 | 支場 | |
| 1.N-O | 34.3 | 41.6 | 2.9 | 6.4 | - | - |
| 2.N基肥 | 33.2 | 42.2 | 3.2 | 10.0 | - | 25.3 |
| 3.N1/2:1/2 | 32.3 | 42.7 | 2.9 | 11.4 | - | 44.3 |
| 4.N1/3:2/3 | 33.4 | 41.3 | 3.5 | 11.8 | 15.3 | 52.0 |
| 5.N1/3:1/3:1/3 | 32.2 | 41.4 | 3.2 | 11.4 | 26.8 | 51.8 |
4.考察
各試験地共に窒素の施用法は1/3基肥:2/3起生期分施を行った方が増収を示した。
粗脂肪量について見るといづれも1/3:2/3の処理が有利となっており、窒素の吸収率では、支場のみの結果ではあるが1/3:2/3処理に於いて52.0%となっている。従って、各土壌に於ける秋播ナタネに対する窒素の施用法は、勿論窒素の施用量との関連も考えられるが一応1/3基肥:2/3起生期分施が有利であると云える。
Ⅲ窒素用量試験
1.試験実施場所
(a)夕張郡長沼町 34年9月
(b)札幌郡広島村 〃
2.試験設計(g/a)
| 試験区別 | N | P2O5 | K2O | 備考 |
| 1.N-O | 0 | 750 | 563 | |
| 2.N7.5(硫安) | 750 | 〃 | 〃 | |
| 3.N11.3(〃) | 1,125 | 〃 | 〃 | |
| 4.N15.0(〃) | 1,500 | 〃 | 〃 |
3.試験成績
①生育、収量
(a)夕張郡長沼町(34年9月5日播種)
| 区名 | 成熟期 | 冬損率 (%) |
1次 分枝数 |
a当り㎏ | 子実 / 稈莢 |
赤粒 歩合 (%) |
1L重 (g) |
千粒重 (g) |
||
| 草丈 | 茎数 | 子実重 | 同比 | |||||||
| 1 | 129.5 | 5.3 | - | 10.3 | 16.8 | 100 | 29 | 32.8 | 656.0 | 4.72 |
| 2 | 144.7 | 6.3 | - | 11.4 | 24.9 | 148 | 40 | 49.8 | 656.0 | 4.55 |
| 3 | 146.3 | 7.4 | - | 12.6 | 24.6 | 146 | 37 | 41.5 | 653.0 | 4.71 |
| 4 | 148.9 | 8.4 | - | 10.2 | 25.6 | 152 | 33 | 38.5 | 657.0 | 4.57 |
(b)札幌郡広島村(34年9月3日)
| 区名 | 成熟期 | 冬損率 (%) |
1次 分枝数 |
a当り㎏ | 子実 / 稈莢 |
赤粒 歩合 (%) |
1L重 (g) |
千粒重 (g) |
||
| 草丈 | 茎数 | 子実重 | 同比 | |||||||
| 1 | 111.4 | 5.5 | - | 5.3 | 7.0 | 100 | 37 | 21.5 | 634.0 | 5.39 |
| 2 | 131.5 | 6.4 | - | 10.3 | 13.0 | 184 | 33 | 28.0 | 638.0 | 5.26 |
| 3 | 133.2 | 6.2 | - | 10.4 | 18.3 | 259 | 36 | 28.8 | 636.0 | 4.99 |
| 4 | 129.2 | 6.4 | - | 11.2 | 19.1 | 270 | 37 | 30.5 | 637.0 | 5.25 |

②養分吸収
| 区名 | N吸収率(%) | 粗脂肪含有率(%) | 粗脂肪量(㎏/a) | |||
| 長沼 | 広島 | 長沼 | 広島 | 長沼 | 広島 | |
| 1 | - | - | 41.0 | 48.6 | 6.5 | 3.2 |
| 2 | 35.9 | 31.1 | 46.1 | 46.6 | 11.0 | 5.7 |
| 3 | 20.7 | 48.2 | 43.4 | 45.9 | 10.1 | 7.8 |
| 4 | 20.3 | 40.8 | 42.8 | 46.0 | 10.3 | 8.1 |
4.考察
窒素の施用量と子実収量の関係を見ると、両試験地共に窒素の施用量も増加につれ漸増の傾向を示した。粗脂肪と窒素施用の関連では、窒素増加につれ低下の傾向を示している。従って秋播ナタネに対する窒素の施用量は本結果から一応12~15㎏/10aが適当の如く考えられた。
Ⅳ燐酸用量試験
1.試験実施場所
(a)札幌郡広島村 35年、36年9月
(b)岩見沢市孫別 〃 〃
(c)支場 36年9月
2.試験設計(g/a)
| 試験区別 | N | P2O5 | K2O | 備考 |
| 1.P2O5-0 | 1,200 | 0 | 600 | P2O5施用量 35年9月播種 0.750、1,500、3,000 36年9月播種 800、1,500、2,000 |
| 2.P2O5-8 | 〃 | 750~800 | 〃 | |
| 3. 〃 -15 | 〃 | 1,500 | 〃 | |
| 4. 〃 -30 | 〃 | 2,200~3,000 | 〃 |
3.試験成績
①生育、収量
(a)-1 広島村(35年9月13日播種)
| 区名 | 成熟期 | 冬損率 (%) |
1次 分枝数 |
a当り㎏ | 子実 / 稈莢 |
赤粒 歩合 (%) |
1L重 (g) |
千粒重 (g) |
||
| 草丈 | 茎数 | 子実重 | 同比 | |||||||
| 1 | 122.5 | 8.7 | 45.0 | 8.8 | 24.3 | 81 | 34 | 20.6 | 658.8 | 4.57 |
| 2 | 143.4 | 14.3 | 12.8 | 9.4 | 30.0 | 100 | 31 | 18.1 | 658.3 | 4.64 |
| 3 | 140.0 | 9.0 | 15.0 | 10.0 | 31.3 | 104 | 32 | 16.6 | 658.8 | 4.64 |
| 4 | 141.1 | 11.4 | 15.0 | 10.0 | 29.8 | 99 | 30 | 16.4 | 659.4 | 4.67 |
(a)-2広島村(36年9月9日播種)
| 区名 | 成熟期 | 冬損率 (%) |
1次 分枝数 |
a当り㎏ | 子実 / 稈莢 |
赤粒 歩合 (%) |
1L重 (g) |
千粒重 (g) |
||
| 草丈 | 茎数 | 子実重 | 同比 | |||||||
| 1 | 143.6 | 10.9 | 17.6 | 6.1 | 23.9 | 96 | 73 | 9.0 | 621.8 | 5.46 |
| 2 | 151.1 | 13.0 | 3.6 | 6.9 | 24.9 | 100 | 57 | 15.7 | 620.0 | 5.42 |
| 3 | 155.8 | 13.5 | 8.7 | 7.1 | 26.7 | 107 | 52 | 17.0 | 620.0 | 5.40 |
| 4 | 147.6 | 10.1 | 3.9 | 6.9 | 27.4 | 110 | 59 | 16.4 | 620.7 | 5.51 |
(b)-1岩見沢市(35年9月10日播種)
| 区名 | 成熟期 | 冬損率 (%) |
1次 分枝数 |
a当り㎏ | 子実 / 稈莢 |
赤粒 歩合 (%) |
1L重 (g) |
千粒重 (g) |
||
| 草丈 | 茎数 | 子実重 | 同比 | |||||||
| 1 | 133.5 | 12.5 | 26.7 | 7.5 | 28.0 | 96 | 43 | 11.9 | 628.0 | 5.06 |
| 2 | 140.9 | 14.0 | 23.1 | 7.9 | 29.2 | 100 | 38 | 14.8 | 627.5 | 5.16 |
| 3 | 141.5 | 14.0 | 12.0 | 8.2 | 30.8 | 105 | 39 | 14.5 | 628.0 | 5.36 |
| 4 | 143.8 | 13.0 | 20.6 | 9.1 | 33.0 | 113 | 36 | 12.9 | 630.5 | 5.42 |
(b)-2岩見沢市(36年9月4日播種)
| 区名 | 成熟期 | 冬損率 (%) |
1次 分枝数 |
a当り㎏ | 子実 / 稈莢 |
赤粒 歩合 (%) |
1L重 (g) |
千粒重 (g) |
||
| 草丈 | 茎数 | 子実重 | 同比 | |||||||
| 1 | 141.6 | 11.9 | 38.0 | 6.9 | 21.7 | 79 | 49 | 10.3 | 652.3 | 5.55 |
| 2 | 141.8 | 11.0 | 42.7 | 6.5 | 27.4 | 100 | 48 | 12.7 | 654.5 | 5.72 |
| 3 | 150.0 | 11.2 | 39.5 | 7.6 | 29.0 | 106 | 48 | 11.8 | 654.0 | 5.64 |
| 4 | 146.0 | 12.0 | 34.6 | 9.1 | 32.5 | 119 | 51 | 10.8 | 659.8 | 5.87 |
(c)支場(36年9月2日播種)
| 区名 | 成熟期 | 冬損率 (%) |
1次 分枝数 |
a当り㎏ | 子実 / 稈莢 |
赤粒 歩合 (%) |
1L重 (g) |
千粒重 (g) |
||
| 草丈 | 茎数 | 子実重 | 同比 | |||||||
| 1 | 140.5 | 12.7 | 26.6 | 6.5 | 32.8 | 90 | 41 | 10.2 | 642.4 | 5.88 |
| 2 | 137.4 | 14.5 | 10.3 | 7.2 | 38.3 | 100 | 42 | 11.0 | 638.5 | 5.81 |
| 3 | 146.0 | 15.0 | 4.4 | 6.5 | 38.2 | 105 | 46 | 11.0 | 640.3 | 6.18 |
| 4 | 143.3 | 16.1 | 7.6 | 6.4 | 3.0 | 107 | 47 | 10.5 | 638.5 | 6.23 |

②養分吸収
| 項 目 | P2O5吸収率 (%) | 粗脂肪含有率 (%) | 粗脂肪量 (㎏/a) | ||||||||||||
| 場 所 | 広 島 | 岩見沢 | 支場 | 広 島 | 岩見沢 | 支場 | 広 島 | 岩見沢 | 支場 | ||||||
| 区名/年次 | 35年 | 36年 | 35年 | 36年 | 36年 | 35年 | 36年 | 35年 | 36年 | 36年 | 35年 | 36年 | 35年 | 36年 | 36年 |
| 1 | - | - | - | - | - | 44.8 | 48.1 | 46.7 | 49.0 | 49.3 | 10.9 | 10.6 | 12.2 | 10.0 | 14.8 |
| 2 | 22.4 | 8.8 | 7.3 | 25.0 | 11.3 | 44.5 | 47.4 | 46.3 | 48.8 | 49.2 | 13.4 | 10.9 | 12.7 | 12.5 | 16.2 |
| 3 | 13.1 | 8.0 | 10.4 | 22.0 | 9.3 | 45.7 | 47.6 | 46.3 | 47.5 | 46.9 | 14.3 | 11.6 | 13.3 | 12.9 | 16.2 |
| 4 | 6.9 | 5.9 | 8.3 | 19.1 | 9.1 | 45.9 | 47.8 | 46.3 | 49.0 | 46.9 | 13.7 | 12.1 | 13.0 | 14.9 | 16.5 |

4.考察
冬損率と燐酸施用との関連も稍々認められる様であり、即ち燐酸施用量増加につれ冬損率も減少傾向を示している。子実収量では燐酸施用量増加につれ各土壌共に漸増の傾向を示している。一方、赤粒歩合その他品質面に於いても燐酸施用量増加につれ良好なる傾向を示しているが明らかではない。
燐酸吸収率は各土壌によって異なるが大体6.0~25.0%の間にある。次ぎに粗脂肪と燐酸施用量との件連を見ると燐酸施用量の増加につれ稍々上昇の傾向は認められるが判然たる傾向は認められない。従って、各土壌に於ける燐酸施用量は本試験条件下では8~15㎏/10aが適当の如く考えられた。
Ⅴ加里用量試験
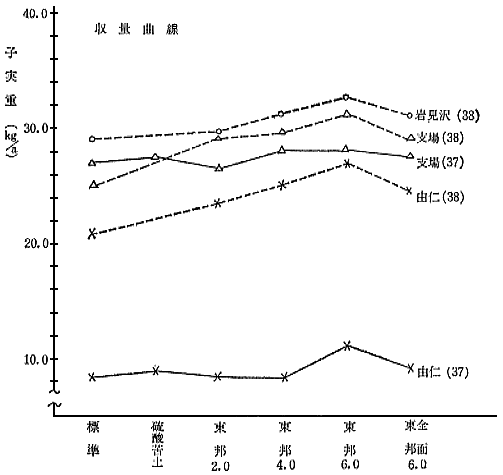
1.試験実施場所
(a)夕張郡由仁町 37年、38年9月
(b)岩見沢市孫別 〃 〃
(c)支場 〃 〃
2.試験設計(g/a)
| 試験区別 | N | P2O5 | K2O | 備考 |
| 1.K2O-0 | 1,200 | 800 | 0 | |
| 2. 〃-5 | 〃 | 〃 | 500 | |
| 3. 〃-10 | 〃 | 〃 | 1,000 | |
| 4. 〃-15 | 〃 | 〃 | 1,500 | |
| 5. 〃-20 | 〃 | 〃 | 2,000 |
その他前記試験に準ず。
3.試験成績
①生育、収量
(a)-1由仁町(37年9月5日播種)
| 区名 | 成熟期 | 冬損率 (%) |
1次 分枝数 |
a当り㎏ | 子実 / 稈莢 |
赤粒 歩合 (%) |
1L重 (g) |
千粒重 (g) |
||
| 草丈 | 茎数 | 子実重 | 同比 | |||||||
| 1 | 121.8 | 2.3 | 56.2 | 9.4 | 8.5 | 100 | 18 | 70.3 | 667.5 | 4.06 |
| 2 | 115.0 | 2.3 | 67.4 | 8.3 | 9.6 | 113 | 19 | 77.8 | 669.5 | 4.66 |
| 3 | 130.1 | 2.9 | 36.4 | 10.9 | 10.4 | 122 | 19 | 77.0 | 667.5 | 4.54 |
| 4 | 118.6 | 3.0 | 22.5 | 8.9 | 8.9 | 105 | 18 | 72.4 | 665.5 | 4.51 |
| 5 | 130.2 | 2.2 | 57.7 | 9.0 | 10.0 | 122 | 18 | 63.2 | 669.5 | 4.41 |
(a)-2由仁町(38年9月5日播種)
| 区名 | 成熟期 | 冬損率 (%) |
1次 分枝数 |
a当り㎏ | 子実 / 稈莢 |
赤粒 歩合 (%) |
1L重 (g) |
千粒重 (g) |
||
| 草丈 | 茎数 | 子実重 | 同比 | |||||||
| 1 | 144.6 | 4.2 | 68.0 | 10.7 | 26.0 | 100 | 38 | 25.7 | 650.3 | 4.51 |
| 2 | 144.9 | 3.3 | 70.8 | 9.9 | 25.9 | 100 | 44 | 26.3 | 655.5 | 4.58 |
| 3 | 147.1 | 4.0 | 63.0 | 11.0 | 27.2 | 104 | 39 | 25.0 | 653.0 | 4.83 |
| 4 | 154.6 | 4.0 | 74.3 | 9.7 | 28.4 | 109 | 39 | 23.1 | 650.3 | 4.71 |
| 5 | 138.9 | 5.0 | 54.6 | 10.0 | 29.4 | 101 | 45 | 25.2 | 648.8 | 4.75 |
(b)-1岩見沢 冬損のため全滅
(b)-2岩見沢(38年9月9日播種)
| 区名 | 成熟期 | 冬損率 (%) |
1次 分枝数 |
a当り㎏ | 子実 / 稈莢 |
赤粒 歩合 (%) |
1L重 (g) |
千粒重 (g) |
||
| 草丈 | 茎数 | 子実重 | 同比 | |||||||
| 1 | 134.7 | 14.4 | 34.0 | 6.8 | 27.4 | 100 | 33 | 18.5 | 638.8 | 5.80 |
| 2 | 133.5 | 14.0 | 33.8 | 7.2 | 28.0 | 102 | 37 | 16.6 | 635.8 | 5.73 |
| 3 | 138.0 | 12.7 | 33.1 | 7.4 | 28.3 | 103 | 38 | 14.8 | 639.0 | 6.12 |
| 4 | 143.0 | 10.7 | 32.8 | 7.5 | 30.3 | 111 | 37 | 16.8 | 640.5 | 5.97 |
| 5 | 136.7 | 13.7 | 16.4 | 6.7 | 29.1 | 106 | 37 | 15.8 | 642.0 | 5.94 |
(c)-1支場(37年9月1日播種)
| 区名 | 成熟期 | 冬損率 (%) |
1次 分枝数 |
a当り㎏ | 子実 / 稈莢 |
赤粒 歩合 (%) |
1L重 (g) |
千粒重 (g) |
||
| 草丈 | 茎数 | 子実重 | 同比 | |||||||
| 1 | 138.8 | 8.5 | - | 8.2 | 26.3 | 100 | 24 | 18.5 | 636.3 | 4.75 |
| 2 | 133.7 | 9.6 | 5.0 | 7.1 | 27.5 | 105 | 26 | 20.4 | 643.8 | 5.13 |
| 3 | 135.9 | 9.0 | 7.3 | 7.5 | 28.5 | 108 | 26 | 19.7 | 644.3 | 5.01 |
| 4 | 138.7 | 9.2 | 9.0 | 7.3 | 27.8 | 106 | 26 | 17.4 | 644.5 | 4.97 |
| 5 | 138.0 | 9.2 | - | 7.7 | 28.3 | 108 | 26 | 16.7 | 643.0 | 4.89 |
(c)-2支場(38年9月9日播種)
| 区名 | 成熟期 | 冬損率 (%) |
1次 分枝数 |
a当り㎏ | 子実 / 稈莢 |
赤粒 歩合 (%) |
1L重 (g) |
千粒重 (g) |
||
| 草丈 | 茎数 | 子実重 | 同比 | |||||||
| 1 | 134.9 | 12.6 | 11.9 | 6.8 | 20.6 | 100 | 25 | 19.8 | 630.0 | 4.99 |
| 2 | 135.9 | 10.2 | 8.4 | 7.3 | 23.5 | 114 | 21 | 17.3 | 632.3 | 4.86 |
| 3 | 139.2 | 9.8 | 7.3 | 7.8 | 24.4 | 118 | 21 | 16.3 | 639.0 | 4.66 |
| 4 | 137.9 | 9.3 | 9.6 | 7.4 | 27.1 | 131 | 21 | 16.1 | 634.0 | 5.11 |
| 5 | 134.1 | 11.1 | - | 7.2 | 22.8 | 110 | 23 | 17.9 | 634.5 | 5.31 |

②養分吸収
| 区名 | 粗脂肪含有率(%) | 粗脂肪量(㎏/a) | 加里吸収率(%) | ||||||||||||
| 由仁 | 岩見沢 | 支場 | 由仁 | 岩見沢 | 支場 | 由仁 | 岩見沢 | 支場 | |||||||
| 37 | 38 | 38 | 37 | 38 | 37 | 38 | 38 | 37 | 38 | 37 | 38 | 38 | 37 | 38 | |
| 1 | 36.9 | 41.6 | 45.8 | 42.4 | 45.5 | 2.9 | 10.2 | 11.8 | 10.2 | 8.9 | - | - | - | - | - |
| 2 | 38.3 | 41.8 | 47.0 | 43.6 | 46.9 | 3.4 | 10.2 | 12.3 | 11.0 | 10.4 | 11.2 | - | - | - | 139.6 |
| 3 | 37.8 | 42.4 | 48.1 | 46.1 | 47.8 | 3.6 | 10.8 | 12.8 | 11.9 | 11.0 | 27.5 | - | - | 26.9 | 72.9 |
| 4 | 33.9 | 42.1 | 45.3 | 46.6 | 46.0 | 2.8 | 11.2 | 12.8 | 11.8 | 10.9 | 5.8 | - | - | 31.2 | 41.7 |
| 5 | 32.7 | 41.6 | 46.6 | 45.2 | 46.2 | 3.0 | 10.2 | 12.7 | 11.6 | 9.9 | 15.6 | - | - | 23.6 | 23.6 |

4.考察
各試験地共に加里施用量15㎏/10a以上となると生育量は減少の傾向を示しており、これは特に窒素と加里の交互作用が現れているものと考えられる。
子実収量では、加里量増加につれ漸増の傾向を示すが15㎏/10a以上に於いては逆に減少傾向を示している。一方、品質の点では加里量増加につれ良好なる傾向を示しているがこれは成熟時の条件が大きく支配する様である。
次ぎに粗脂肪との関連では、加里施用量増加につれその含有率高くなるが大体、10㎏/10aに於いて高く、以後低下の傾向を示し、これは粗脂肪量に於いてもかかる傾向が認められる。
従って該土壌に於ける加里の施用量は10㎏/10a余りが適量の如く認められる。
Ⅵ苦土用量試験
1.試験実施場所
(a)夕張郡由仁町 37年、38年9月
(b)岩見沢市孫別 〃 〃
(c)支場 〃 〃
2.試験設計(g/a)
| 試験区別 | N | P2O5 | K2O | Mgo | 備考 |
| 1.標準 | 1,200 | 800 | 600 | - | |
| 2.硫酸苦土 | 〃 | 〃 | 〃 | 400 | 薬品使用(条施) |
| 3. 〃 2 | 〃 | 〃 | 〃 | 200 | 東邦産 (〃) |
| 4. 〃 4 | 〃 | 〃 | 〃 | 400 | 〃 (〃) |
| 5. 〃 6 | 〃 | 〃 | 〃 | 600 | 〃 (〃) |
| 6. 〃 全面 | 〃 | 〃 | 〃 | 600 | 〃 (全面) |
3.試験成績
①飼育、収量
(a)-1由仁(37年9月5日)播種
| 区名 | 成熟期 | 冬損率 (%) |
1次 分枝数 |
a当り㎏ | 子実 / 稈莢 |
赤粒 歩合 (%) |
1L重 (g) |
千粒重 (g) |
||
| 草丈 | 茎数 | 子実重 | 同比 | |||||||
| 1 | 122.0 | 3.7 | 24.4 | 9.9 | 8.5 | 100 | 22 | 70.5 | 666.5 | 3.56 |
| 2 | 122.3 | 2.6 | 26.7 | 11.1 | 9.2 | 108 | 22 | 62.9 | 671.0 | 3.69 |
| 3 | 118.5 | 2.7 | 34.2 | 9.1 | 8.3 | 97 | 18 | 31.3 | 672.5 | 3.91 |
| 4 | 109.7 | 2.7 | 34.8 | 9.8 | 8.7 | 102 | 21 | 48.5 | 668.0 | 3.59 |
| 5 | 122.3 | 4.4 | 21.9 | 10.8 | 11.2 | 131 | 22 | 29.8 | 665.5 | 4.06 |
| 6 | 120.3 | 4.0 | 26.5 | 9.7 | 8.8 | 104 | 17 | 57.5 | 671.5 | 4.13 |
(a)-2由仁(38年9月5日播種)
| 区名 | 成熟期 | 冬損率 (%) |
1次 分枝数 |
a当り㎏ | 子実 / 稈莢 |
赤粒 歩合 (%) |
1L重 (g) |
千粒重 (g) |
||
| 草丈 | 茎数 | 子実重 | 同比 | |||||||
| 1 | 153.2 | 5.5 | 61.3 | 11.5 | 21.0 | 100 | 33 | 17.1 | 655.3 | 4.76 |
| 2 | - | - | - | - | - | - | - | - | - | - |
| 3 | 156.0 | 4.8 | 53.9 | 10.2 | 23.7 | 113 | 41 | 17.5 | 658.3 | 4.97 |
| 4 | 146.7 | 4.8 | 61.6 | 10.6 | 25.3 | 121 | 37 | 18.7 | 663.5 | 4.62 |
| 5 | 155.6 | 7.0 | 40.7 | 10.5 | 27.5 | 131 | 44 | 16.7 | 660.5 | 4.76 |
| 6 | 153.5 | 7.5 | 34.3 | 11.3 | 24.4 | 116 | 34 | 21.6 | 658.3 | 4.83 |
(b)-1岩見沢 冬損のため全滅
(b)-2岩見沢 (38年9月9日播種)
| 区名 | 成熟期 | 冬損率 (%) |
1次 分枝数 |
a当り㎏ | 子実 / 稈莢 |
赤粒 歩合 (%) |
1L重 (g) |
千粒重 (g) |
||
| 草丈 | 茎数 | 子実重 | 同比 | |||||||
| 1 | 138.8 | 14.5 | 10.8 | 6.1 | 29.2 | 100 | - | 17.4 | 639.0 | 5.73 |
| 2 | - | - | - | - | - | - | - | - | - | - |
| 3 | 137.0 | 11.9 | 20.0 | 7.7 | 29.5 | 101 | - | 17.0 | 640.5 | 6.25 |
| 4 | 136.3 | 10.9 | 9.4 | 7.5 | 30.9 | 106 | - | 13.0 | 640.0 | 6.22 |
| 5 | 137.5 | 13.0 | 4.0 | 7.4 | 32.5 | 111 | - | 17.0 | 645.0 | 6.27 |
| 6 | 145.1 | 16.7 | 17.4 | 7.3 | 30.8 | 106 | - | 17.1 | 640.8 | 6.25 |
(c)-1支場(37年9月1日播種)
| 区名 | 成熟期 | 冬損率 (%) |
1次 分枝数 |
a当り㎏ | 子実 / 稈莢 |
赤粒 歩合 (%) |
1L重 (g) |
千粒重 (g) |
||
| 草丈 | 茎数 | 子実重 | 同比 | |||||||
| 1 | 135.1 | 7.9 | 7.1 | 6.3 | 26.8 | 100 | 29 | 17.4 | 654.8 | 4.89 |
| 2 | 132.4 | 6.3 | 3.1 | 7.5 | 27.5 | 103 | 29 | 15.9 | 655.5 | 5.03 |
| 3 | 136.9 | 7.9 | 9.2 | 8.2 | 26.4 | 98 | 28 | 15.7 | 655.0 | 4.95 |
| 4 | 136.7 | 6.4 | 5.9 | 6.9 | 28.2 | 105 | 30 | 15.7 | 657.5 | 4.95 |
| 5 | 136.7 | 6.2 | 4.7 | 6.9 | 28.3 | 106 | 30 | 16.6 | 655.3 | 5.06 |
| 6 | 137.2 | 6.2 | 8.9 | 7.8 | 27.7 | 103 | 28 | 17.1 | 655.5 | 4.90 |
(c)-2支場(38年9月9日播種)
| 区名 | 成熟期 | 冬損率 (%) |
1次 分枝数 |
a当り㎏ | 子実 / 稈莢 |
赤粒 歩合 (%) |
1L重 (g) |
千粒重 (g) |
||
| 草丈 | 茎数 | 子実重 | 同比 | |||||||
| 1 | 129.0 | 11.3 | 28.3 | 6.1 | 24.9 | 100 | 23 | 23.2 | 640.5 | 5.24 |
| 2 | - | - | - | - | - | - | - | - | - | - |
| 3 | 151.6 | 10.8 | 35.2 | 7.9 | 28.8 | 116 | 23 | 21.0 | 639.8 | 5.55 |
| 4 | 151.1 | 9.3 | 28.7 | 8.4 | 29.8 | 120 | 25 | 20.3 | 641.0 | 5.29 |
| 5 | 151.4 | 9.0 | 11.6 | 8.4 | 30.8 | 124 | 21 | 21.2 | 639.0 | 5.32 |
| 6 | 139.2 | 9.5 | 26.4 | 7.2 | 29.0 | 117 | 24 | 19.1 | 643.5 | 5.45 |

②養分吸収(38年9月)
由仁:-
| 区名 | Mgo農反(%) | Mgo | 粗脂肪含有率(%) | 粗脂肪量(㎏/a) | |||||
| 子実 | 茎 | 莢 | 吸収量(g/a) | 吸収率(%) | 37年 | 38年 | 37年 | 38年 | |
| 1 | 0.37 | 0.30 | 0.60 | 24.1 | - | 32.7 | 42.0 | 2.5 | 8.3 |
| 2 | - | - | - | - | - | 46.0 | - | 3.9 | - |
| 3 | 0.55 | 0.46 | 0.57 | 35.5 | 57.0 | 42.2 | 42.0 | 3.2 | 9.4 |
| 4 | 0.59 | 0.57 | 0.66 | 47.8 | 59.3 | 37.5 | 42.7 | 3.0 | 10.1 |
| 5 | 0.68 | 0.73 | 0.69 | 58.5 | 57.3 | 36.8 | 45.7 | 3.8 | 11.9 |
| 6 | 0.62 | 0.69 | 0.63 | 57.3 | 55.3 | 33.4 | 44.2 | 2.7 | 10.1 |
岩見沢:-
| 区名 | Mgo農反(%) | Mgo | 粗脂肪含有率(%) | 粗脂肪量(㎏/a) | |||||
| 子実 | 茎 | 莢 | 吸収量(g/a) | 吸収率(%) | 37年 | 38年 | 37年 | 38年 | |
| 1 | 0.58 | 0.23 | 0.89 | 312 | - | - | 43.1 | - | 11.7 |
| 2 | - | - | - | - | - | - | - | - | - |
| 3 | 0.61 | 0.34 | .97 | 403 | 45.5 | - | 43.4 | - | 11.9 |
| 4 | 0.56 | 0.46 | 0.93 | 470 | 39.5 | - | 45.7 | - | 13.1 |
| 5 | 0.61 | 0.34 | 0.97 | 425 | (18.8) | - | 44.0 | - | 13.3 |
| 6 | 0.57 | 0.40 | 0.92 | 457 | 24.2 | - | 45.4 | - | 13.0 |
支場:-
| 区名 | Mgo農反(%) | Mgo | 粗脂肪含有率(%) | 粗脂肪量(㎏/a) | |||||
| 子実 | 茎 | 莢 | 吸収量(g/a) | 吸収率(%) | 37年 | 38年 | 37年 | 38年 | |
| - | 0.54 | 0.11 | 0.38 | 232 | - | 46.0 | 47.1 | 11.2 | 10.9 |
| - | - | - | - | - | - | - | - | - | - |
| - | 0.54 | 0.22 | 0.43 | 402 | 85.0 | 45.7 | 47.3 | 11.1 | 12.8 |
| - | 0.50 | 0.27 | 0.52 | 423 | 47.8 | 46.0 | 47.8 | 11.9 | 13.3 |
| - | 0.57 | 0.33 | 0.59 | 600 | 61.3 | 47.9 | 47.4 | 12.5 | 13.6 |
| - | 0.56 | 0.31 | 0.57 | 489 | 42.8 | 46.8 | 47.7 | 12.0 | 12.9 |

4.考察
苦土施用により各土壌共に殆ど苦土欠類似病状認められず生育良好に経過し、且成熟も良好なる傾向を示した。子実収量に於いては、いづれも苦土施用量増加につれ増収傾向を示し、その効果歴然と認められた。又、品質に於いても一応苦土の効果認められる様である。
粗脂肪に於いても、その施用効果は認められるが、施用量との関連は余り明らかではなかった。(これは成熟期に於ける諸条件と大きく関連する事は勿論である。)
苦土の吸収量は最高6.0㎏/10aを示し吸収率では相当各土壌により差異はあるが、6㎏/10a施用で60%余りを示している。従って該土壌に於ける苦土の施用量は6㎏/10aが適量の如く考えられる。
(D)秋播「なたね」の施肥に関する試験の総括
1)石狩、空知、後志の主要「なたね」作付地帯で行われた三要素試験の結果、泥炭質土壌を除いては窒素の肥効が最も大きく続いて、燐酸加里の順に肥効が認められた。泥炭質土壌では燐酸の肥効が最も大きく、窒素がこれに次ぎ、又泥炭質および洪積土壌で加里の肥効の比較的大なる場合もあった。又三要素の吸収量はa当窒素1.0~1.9㎏、燐酸0.4~0.7㎏、加里0.9~1.6㎏で非常に多く、(落葉を含まず)多肥性作物であることが判明した。
2)無機成分吸収過程の調査から、なたねの器官形成は、葉→茎→莢→子実と進行し、無機成分(窒素燐酸・加里・石灰・苦土)の吸収蓄積の順位も大体同様の経過をとることがわかった。尚窒素・燐酸・苦土は茎莢から子実へかなり移行がみられるが加里・石灰特に石灰の移行は僅少であった。又前者の葉部から他器官への移行量は子実中の量より遙かに少なく、而も移行の時期が未だ茎莢の増大中であるので子実の充実には茎莢が関与し、葉は間接的に働くものと思われた。
3)なたねの生育の越冬前および越冬後から収穫までの二つの面があり、越冬前の窒素の吸収量は総吸収量の1/4以下にすぎないので、窒素施与量、分施割合等について試験を行った結果、基肥窒素量よりも分施窒素量の方が、収量構成内容、実際収量におよぼす影響が大であることがわかった。また基肥窒素割合を少なくした方が窒素の吸収率がよかった。具体的な窒素量で示すと10a当り基肥窒素量は4~6㎏、分施窒素量は10㎏程度がよく、これを総施与量、割合で示すならば14㎏~16㎏の窒素を1/3前後を基肥に、残りを分施することが適当であると思われた。
4)燐酸の施与適量については、かなり土壌により大幅に異なる様で10a当8㎏~15㎏という広い範囲内にあった。
5)加里は三要素試験では土壌によりあまり肥効のみられない所もあったが用量試験結果吸収量からみて10a当10㎏程度が必要の様である。
6)三要素と脂肪の関係は燐酸を欠除した場合最も含有率が下がる様であり、窒素は多施すると蛋白、脂肪の逆相関の法則に従って減少する傾向がみられた。又加里も不足すると多少影響がある様である。
7)無機成分吸収過程の調査から、苦土、燐酸が子実に多量に集積していることがわかったが、このことは、苦土、燐、脂肪質および油脂の間の関係を示すものと思われる。
又、苦土の用量試験の結果、欠乏症状を示さない場合でも吸収量から考えて10a当り6㎏程度施用することは収量、脂肪含量に好結果を与えるために必要と思われた。
8)苦土の補給の意味から燐酸質肥料として熔成燐肥の施用が好ましいと考えられるが、単用するより過燐酸石灰と半量づつ施用する方がよい様に思われた。