【指導参考事項】
|
泥炭地におけるリ-ドカナリ-グラスの窒素用量と刈取回数試験成績 道立天北農試天塩支場 |
Ⅰ 試験目的
リ-ドカナリ-グラスは、低温地に適する牧草の一種であるが、当地方の泥炭地にも良く生育するので、その栽培に当たって、適正な窒素の施用と刈取回数との関連を明らかにする。
Ⅱ 試験の方法
1. 試験圃場 天塩支場内低位泥炭地
2. 試験圃・造成年次 昭和38年
3. 試験年次 昭和39年~40年
4. 1区面積及び区制 1区16m2、分割区試験法3反復
5. PH炭カルにて、6.0に矯正、表土15cm
6. 排水、明渠、深さ50cmに水位を保持、間隔12m (昭和36年施行)
7. 初年目造成法
プラウで15cm耕鋤後、トラクタ-で2回スデキング石灰を全面散布後、耕耘機で2回混和砕土、レ-キで整地7月15日施肥後耕耘機で7cmに混和10a当
リ-ドカナリ-グラス1.0kg散播して後、鎮圧した。
基肥量
窒素4.0kg(硫安)、燐酸15.0kg(1/3過石2/3ヨウリン)、加里10.0kg(硫加)
8. 処理区分
大処理 刈取回数 年2回(標準)3回、4回
小処理 窒素施用量(刈取毎)kg/10a 2.4.6
窒素は硫安 なお共通肥料として、燐酸5kg(過石)加里5kg(硫加)を春季及び刈取直後に施用した。
9. 牧草収穫期
| ◎昭39年度 | 1番草 | 2番草 | 3番草 | 4番草 |
| 2回刈取 | 6月23日 | 9月7日 | ||
| 3回刈取 | 6月11日 | 8月6日 | 9月30日 | |
| 4回刈取 | 6月6日 | 7月25日 | 8月25日 | 10月8日 |
| ◎昭40年度 | ||||
| 2回刈取 | 6月23日 | 9月4日 | ||
| 3回刈取 | 6月14日 | 7月30日 | 10月2日 | |
| 4回刈取 | 6月7日 | 7月14日 | 8月19日 | 10月6日 |

| 利 用 区 |
N用 施用 |
昭和39年度 | 昭和40年度 | ||||||
| 1番草 | 2番草 | 3番草 | 4番草 | 1番草 | 2番草 | 3番草 | 4番草 | ||
| 2 回 刈 取 |
0 | 6.60 | 3.89 | 1.36 | 1.73 | ||||
| 2 | 6.71 | 5.08 | 5.74 | 3.34 | |||||
| 4 | 7.89 | 5.87 | 5.98 | 4.92 | |||||
| 6 | 8.45 | 6.12 | 7.26 | 5.82 | |||||
| 3 回 刈 取 |
0 | 5.32 | 3.59 | 2.05 | 2.12 | 1.70 | 1.33 | ||
| 2 | 5.00 | 5.30 | 3.36 | 5.04 | 4.30 | 2.53 | |||
| 4 | 5.81 | 7.68 | 4.76 | 6.54 | 6.52 | 3.80 | |||
| 6 | 6.57 | 8.27 | 5.04 | 7.69 | 8.07 | 4.58 | |||
| 4 回 刈 取 |
0 | 4.86 | 2.69 | 6.48 | 1.36 | 1.76 | 2.05 | 1.75 | 1.02 |
| 2 | 4.65 | 5.57 | 10.19 | 1.73 | 4.20 | 3.68 | 3.58 | 2.25 | |
| 4 | 5.84 | 7.82 | 12.65 | 2.18 | 5.56 | 6.11 | 6.03 | 3.27 | |
| 6 | 6.17 | 8.71 | 12.48 | 2.45 | 5.51 | 7.51 | 6.83 | 3.81 | |
| 利 用 区 |
N用 施用 |
昭和39年度 | 昭和40年度 | ||||||
| 1番草 | 2番草 | 3番草 | 4番草 | 1番草 | 2番草 | 3番草 | 4番草 | ||
| 2 回 刈 取 |
0 | 1.31 | 1.64 | 2.34 | 2.28 | ||||
| 2 | 1.66 | 1.44 | 1.51 | 1.42 | |||||
| 4 | 1.85 | 1.51 | 2.21 | 1.51 | |||||
| 6 | 2.45 | 1.78 | 2.28 | 1.54 | |||||
| 3 回 刈 取 |
0 | 1.83 | 1.80 | 1.92 | 2.49 | 2.17 | 2.03 | ||
| 2 | 2.20 | 1.74 | 2.26 | 2.45 | 1.82 | 1.96 | |||
| 4 | 2.28 | 1.82 | 2.38 | 2.56 | 1.89 | 1.99 | |||
| 6 | 2.41 | 2.20 | 2.42 | 3.05 | 2.06 | 2.38 | |||
| 4 回 刈 取 |
0 | 2.41 | 1.96 | 2.61 | 3.22 | 2.35 | 2.38 | 2.87 | 2.80 |
| 2 | 2.37 | 1.96 | 2.66 | 2.77 | 2.38 | 2.41 | 2.83 | 2.59 | |
| 4 | 2.50 | 2.17 | 2.81 | 3.15 | 2.79 | 2.45 | 2.94 | 2.80 | |
| 6 | 2.98 | 2.32 | 3.32 | 3.57 | 3.26 | 3.02 | 3.36 | 2.98 | |
| 利 用 区 |
N用 施用 |
昭和39年度 | 昭和40年度 | ||||||||
| 1番草 | 2番草 | 3番草 | 4番草 | 年合計 | 1番草 | 2番草 | 3番草 | 4番草 | 年合計 | ||
| 2 回 刈 取 |
0 | 6.92 | 4.85 | - | - | 11.77 | 1.94 | 2.87 | - | - | 4.81 |
| 2 | 8.91 | 5.56 | - | - | 14.47 | 5.29 | 3.46 | - | - | 8.75 | |
| 4 | 11.67 | 6.73 | - | - | 18.40 | 8.07 | 5.42 | - | - | 13.49 | |
| 6 | 16.56 | 8.28 | - | - | 24.84 | 10.10 | 6.55 | - | - | 16.65 | |
| 3 回 刈 取 |
0 | 6.62 | 3.62 | 2.17 | - | 12.41 | 2.74 | 1.69 | 1.73 | - | 6.46 |
| 2 | 7.48 | 5.17 | 4.18 | - | 16.83 | 6.42 | 3.60 | 3.18 | - | 13.20 | |
| 4 | 9.01 | 7.83 | 6.24 | - | 23.08 | 8.72 | 5.67 | 4.84 | - | 19.21 | |
| 6 | 10.77 | 10.19 | 6.70 | - | 27.66 | 12.20 | 7.64 | 6.97 | - | 26.81 | |
| 4 回 刈 取 |
0 | 7.37 | 2.59 | 2.25 | 1.93 | 17.14 | 1.86 | 1.81 | 1.81 | 1.37 | 6.85 |
| 2 | 6.94 | 5.35 | 8.41 | 2.11 | 22.81 | 4.50 | 3.28 | 3.65 | 2.85 | 14.28 | |
| 4 | 9.20 | 8.31 | 11.02 | 3.02 | 31.55 | 6.98 | 5.54 | 6.38 | 4.40 | 23.30 | |
| 6 | 11.59 | 9.91 | 12.85 | 3.86 | 38.21 | 8.08 | 8.40 | 8.27 | 5.45 | 30.20 | |
| 利 用 区 |
N施 用量 |
N利用率(%) | N1kg当生産量D.C.Pkg | ||
| 39年 | 40年 | 39年 | 40年 | ||
| 2 回 刈 取 |
0 | - | - | - | - |
| 2 | 68 | 99 | 4.20 | 6.15 | |
| 4 | 83 | 108 | 5.18 | 6.78 | |
| 6 | 109 | 99 | 6.81 | 6.17 | |
| 3 回 刈 取 |
0 | - | - | - | - |
| 2 | 74 | 117 | 2.92 | 7.33 | |
| 4 | 89 | 109 | 4.91 | 6.80 | |
| 6 | 85 | 115 | 4.86 | 7.17 | |
| 4 回 刈 取 |
0 | - | - | - | - |
| 2 | 71 | 93 | 4.44 | 5.81 | |
| 4 | 90 | 103 | 5.63 | 6.43 | |
| 6 | 68 | 97 | 5.49 | 6.08 | |






Ⅳ 試験結果および考察
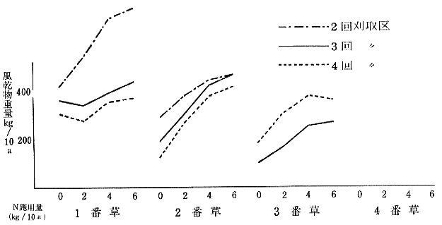
第2表、第2図に示したように乾物収量について、年間合計を見ると初年度(昭和39年)は無N区の収量は比較的高い傾向を示し、N施用量に伴う乾物収量の増加は刈取利用の多い区ほど高かった。
2年目の乾物収量は、無N区の場合、利用回数の多少にかかわらず初年度より低下した。しかしNの施用量を増すことにより、1年目に比し収量の低下する割合は少なく、また年間の合計収量も高かった。ことにNの増施効果が刈取利用の多い区ほど高い傾向を示した。
第3表 乾物生産速度を比較すると、初年度の1番草では刈取利用の少ない場合、1日当りの乾物生産量は多い傾向を示したが(特に2回刈区で顕著)2番草では無N区を除き、N量の増加に伴って、しかも刈取利用の回数が多い場合ほど乾物生産量が多かった。さらに3番草では、この傾向は顕著で、Nの増施による1日当りの生産量も高かった。
2年目では、N施用量の増加と、刈取利用の多い区が、1.2.3番草とも乾物生産速度は高い傾向を示した。
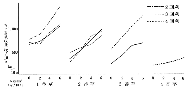
Nの吸収量は、乾物収量の結果とほぼ同様の傾向を示した。(第5表及び第4図)
刈取利用回数を多くする事によって、増収する一つの要因として第6図の如く再生の速度に著しい差異が認められ、刈取利用回数を多くするに従って再生期までの日数が短かった。
これを要約すると
1. 全乾物収量は、無Nの橋は刈取利用の回数を増しても少なかったが、N量を増した場合は乾物収量も多くなるとともに、刈取利用回数の増加により増収した。
2. 1日当りの乾物生産量は、2番草以降、N施用量の増加、刈取利用の多い区が高かった。
3. N施用量の増加、刈取利用の増加によってNの全吸収量も増した。