【指導参考事項】
|
寒冷地水田に対する硝酸系化成肥料の追肥効果に関する試験 北海道立上川農業試験場土壌肥料科 (昭和42〜44年) |
・ 目 的
最近、多収水稲の期待生育を遂行させる方策として、硝酸性窒素の方がアンモニア性窒素よりも技術的に容易であり、しかも、安全であるとの報告が多い。
従って、寒地水稲の後期追肥における硝酸系化成肥料の利用をその施用時期及び施用量との関連において、アンモニア系化成肥料と比較検討し、その実用性を査定せんとする。
・ 試験方法
○供試品種 そらち
○試験処理
肥料の形態……アンモニア系化成(15-10-12)、硝酸系化成(15-10-15)TN15%の中、AN9%、NN6%
追肥時期 ……幼形期、止葉期、穂揃期
追肥量 ……0.2、0.33kg/a
処理は肥料の形態×追肥時期×追肥量の組合せ
基肥共通施用量(kg/a)N:0.8、P2O5:1.0、K2O:0.8
・ 試験成果の概要
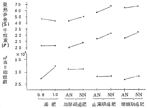
1) NN化成の追肥効果が顕著に認められ、収量面からみると幼形期追肥ではAN化成と殆ど変わらないが、止葉期以降の追肥では明らかにAN化成を凌駕する。特に、有効茎歩合が高まる中で穂数が確保され、且、千粒重及び登熟歩合が増加するなど、その施用効果はAN化成に比して安定的効率的である。
2) NN化成の追肥量としては、0.2kg/aよりも0.33kg/a追肥の方が良い。
3) NN化成の追肥時期としては、硝酸性Nの特長よりみて有利である。特に、低温年においてはその傾向が顕著である。
4) NN化成はAN化成に比して生育中期みおける乾物生産能率がやや劣るが、生育後期には逆に吸収窒素の生産能率が高い傾向を示している。叉、NN化成は微弱ながら土壌条件を酸化的にして根活力の向上などに寄与している。
・ 主要成果の具体的デ−タ−
1. アンモニア系化成と硝酸系化成の追肥効果
| 区 名 | 42年 | 43年 | 44年 | 3ヶ年平均 収量比 (%) |
|||
| 玄米重 (kg/a) |
収量比 (%) |
玄米重 (kg/a) |
収量比 (%) |
玄米重 (kg/a) |
収量比 (%) |
||
| 基 肥 AN 0.8区 | 55.6 | 100 | 61.4 | 100 | 39.4 | 100 | 100 |
| 幼形期追肥AN 0.2区 | 59.7 | 107 | 62.8 | 103 | 40.4 | 103 | 104 |
| 〃 NN 0.2区 | 56.6 | 102 | 63.9 | 104 | 40.3 | 102 | 103 |
| 〃 NN0.33区 | 57.1 | 103 | 66.3 | 108 | 41.6 | 106 | 106 |
| 止葉期追肥AN 0.2区 | 57.4 | 103 | 63.5 | 103 | 40.9 | 104 | 103 |
| 〃 NN 0.2区 | 57.1 | 103 | 67.5 | 110 | 40.5 | 103 | 105 |
| 〃 NN0.33区 | 57.7 | 104 | 67.4 | 110 | 44.5 | 113 | 109 |
| 基 肥 ANN 1.0区 | 57.3 | 103 | 64.1 | 104 | 38.2 | 97 | 101 |
| 区 名 | 生育期間 | 乾物生産量(g/m2) | N吸収量(g/m2) | |||||
| 茎葉 | 穂 | 計 | 茎葉 | 穂 | 計 | |||
| 止葉期 追 肥 |
AN | 最分期〜出穂期 | 265 | 89 | 354 | 1.1 | 1.2 | 2.3 |
| 出穂期〜成熟期 | -119 | 511 | 392 | -3.7 | 6.3 | 2.6 | ||
| NN | 最分期〜出穂期 | 260 | 98 | 358 | 1.3 | 1.4 | 2.7 | |
| 出穂期〜成熟期 | -111 | 514 | 403 | -3.5 | 6.5 | 3.0 | ||

・ 普及指導上の注意事項
1) NN化成はAN化成に比して葉色への発現程度が淡いので、特に追肥量については過剰にならぬ様に考慮を要する。
2)脱窒がおこる様な土壌条件下ではNN化成追肥の効果が少ないので、水管理を十分行って土壌のEhを高め、酸化的な状態でNN化成追肥をすることが望ましい。