|
水稲用コンバインの利用拡張に関する試験 −テーリングスと脱粒、選別性能の関係− |
植生及び収量
| 稈長 (cm) |
穂長 (cm) |
穂数 (cm) |
こう稈重量 (kg/10a) |
籾重量 (kg/10a) |
| 58.2 | 16.3 | 21.5 | 974 | 606 |
| 試験 月日 |
試験 NO. |
扱胴 回転数 (rpm) |
クレンシ−ブ 開度 |
作業 速度 (m/sec) |
刈取 高さ (cm) |
作物水分 | 流量 | わら比 (s/G) |
||
| 籾 (%) |
こう稈 (%) |
殻粒量 (t/hr) |
わら量 (t/hr) |
|||||||
| 9/28 | 1 | rpm 800 |
2/3 | 0.33 | 9 | 27.0 | 70.6 | 2.62 | 4.00 | 1.5 |
| 2 | 〃 | 〃 | 2.76 | |||||||
| 3 | 1/2 | 0.36 | 15 | 2.36 | 4.78 | 2.0 | ||||
| 4 | 〃 | 0.34 | 2.10 | |||||||
| 5 | 1/3 | 0.37 | 15 | 2.28 | 5.00 | 2.2 | ||||
| 6 | 〃 | 0.36 | 1.80 | |||||||
| 7 | 900 | 2/3 | 0.32 | 18 | 2.12 | 2.41 | 1.1 | |||
| 8 | 〃 | 0.33 | 2.16 | |||||||
| 9 | 1/2 | 0.31 | 16 | 26.0 | 70.6 | 2.12 | 2.79 | 1.3 | ||
| 10 | 〃 | 〃 | 1.71 | |||||||
| 11 | 1/3 | 〃 | 15 | 1.54 | 4.56 | 2.9 | ||||
| 12 | 〃 | 〃 | 2.09 | |||||||
| 13 | 1.000 | 2/3 | 0.32 | 14 | 2.43 | 3.62 | 1.5 | |||
| 14 | 〃 | 〃 | 2.56 | |||||||
| 15 | 1/2 | 0.35 | 17 | 26.6 | 70.6 | 2.96 | 3.93 | 1.3 | ||
| 16 | 〃 | 〃 | 2.91 | |||||||
| 17 | 1/3 | 〃 | 18 | 2.04 | 4.08 | 2.0 | ||||
| 18 | 〃 | 〃 | 1.91 | |||||||
| 10/7 | 19 | 800 | 2/3 | 0.37 | 19 | 20.1 | 73.0 | 2.10 | 2.70 | 1.3 |
| 20 | 〃 | 〃 | 2.06 | |||||||
| 21 | 1/2 | 〃 | 19 | 2.20 | 2.70 | 1.2 | ||||
| 22 | 〃 | 〃 | 2.34 | |||||||
| 23 | 1/3 | 0.39 | 18 | 1.84 | 3.04 | 1.6 | ||||
| 24 | 〃 | 〃 | 2.02 | |||||||
| 25 | 1.000 | 2/3 | 0.38 | 18 | 20.1 | 75.3 | 2.00 | 2.24 | 1.1 | |
| 26 | 〃 | 〃 | 2.20 | |||||||
| 27 | 1/2 | 0.39 | 15 | 2.08 | 3.12 | 1.5 | ||||
| 28 | 〃 | 〃 | 2.12 | |||||||
| 29 | 1/3 | 0.39 | 15 | 2.22 | 3.52 | 1.6 | ||||
| 30 | 〃 | 〃 | 2.11 | |||||||
| 31 | 900 | 2/3 | 0.38 | 15 | 20.1 | 66.3 | 2.08 | 2.64 | 1.3 | |
| 32 | 〃 | 〃 | 2.13 | |||||||
| 33 | 1/2 | 0.37 | 14 | 1.74 | 2.70 | 1.5 | ||||
| 34 | 〃 | 〃 | 1.94 | |||||||
| 35 | 1/3 | 0.36 | 17 | 1.92 | 2.94 | 1.5 | ||||
| 36 | 〃 | 〃 | 2.03 | |||||||
| 37 | 800 | 2/3 | 0.51 | 12 | 2.60 | 3.20 | 1.2 | |||
| 38 | 〃 | 〃 | 2.94 | |||||||
| 39 | 1/2 | 0.49 | 15 | 2.34 | 3.30 | 1.4 | ||||
| 40 | 〃 | 〃 | 2.20 | |||||||
| 41 | 1/3 | 0.52 | 15 | 2.60 | 4.30 | 1.6 | ||||
| 42 | 〃 | 〃 | 2.77 | |||||||
| 43 | 900 | 2/3 | 0.50 | 18 | 3.02 | 3.70 | 1.2 | |||
| 44 | 〃 | 〃 | 2.86 | |||||||
| 45 | 1/2 | 0.50 | 11 | 20.5 | 74.3 | 2.45 | 3.84 | 1.5 | ||
| 46 | 〃 | 〃 | 3.24 | |||||||
| 47 | 1/3 | 0.51 | 16 | 3.38 | 5.72 | 1.7 | ||||
| 48 | 〃 | 〃 | 3.80 | |||||||
| 49 | 1.000 | 2/3 | 0.50 | 14 | 3.86 | 5.40 | 1.4 | |||
| 50 | 〃 | 〃 | 3.44 | |||||||
| 51 | 1/2 | 0.51 | 15 | 4.06 | 5.66 | 1.4 | ||||
| 52 | 〃 | 〃 | 3.77 | |||||||
| 53 | 1/3 | 0.52 | 15 | 20.8 | 74.0 | 4.14 | 5.74 | 1.4 | ||
| 54 | 〃 | 〃 | 3.11 | |||||||
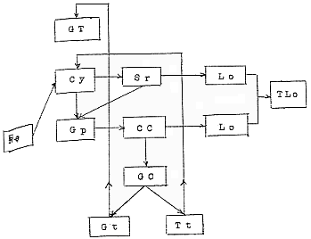
![]() |
サンプル採取位置 奇数No. GT TLo 偶数No. GT Tt |
| コンバイン脱穀、選別、分離課程 Fe. 供給部 Lo. 損失 Cy. 脱穀部 TLo. 総損失 Sr. 分離部 Gp. 穀粒受 測定方法 CC. 1次選別部 GC. 2 〃 0→ 20m→ 25m→ 30m→35m Gt. 1番口穀粒受 助走 損失 Gt.Tt. Gt.Tt. Tt. 2 〃 測定 開放 測定 Gt. グレンタンク |
|
| 試験 No. |
精粒口 | 分離日 | 選別口 | ||||||||||
| 総重 (kg) |
精粒重 (kg) |
莢雑物 |
未脱粒 (g) |
左割合 (%) |
ささり粒 (g) |
左割合 (%) |
飛散粒 (g) |
左割合 (%) |
総精 粒重 (kg) |
総損 失重 (g) |
総損失 割合 (%) |
||
| (g) | (%) | ||||||||||||
| 1 | 11.480 | 11.010 | 470 | 4.1 | 610 | 5.1 | 250 | 2.1 | 88 | 0.7 | 11.958 | 948 | 7.9 |
| 3 | 9.540 | 9.100 | 440 | 4.6 | 1.290 | 11.8 | 320 | 3.0 | 104 | 0.9 | 10.814 | 2.610 | 15.7 |
| 5 | 6.360 | 5.710 | 550 | 8.6 | 930 | 13.4 | 260 | 3.7 | 37 | 0.5 | 6.937 | 1.227 | 17.6 |
| 7 | 9.670 | 9.190 | 480 | 5.0 | 240 | 2.5 | 95 | 1.0 | 170 | 1.7 | 9.695 | 550 | 5.2 |
| 9 | 9.930 | 9.480 | 450 | 4.5 | 330 | 3.3 | 130 | 1.3 | 205 | 2.0 | 10.145 | 665 | 6.6 |
| 11 | 7.520 | 6.880 | 640 | 8.5 | 630 | 7.7 | 200 | 2.4 | 528 | 6.4 | 8.230 | 1.350 | 6.8 |
| 13 | 11.200 | 10.600 | 600 | 5.4 | 340 | 3.0 | 160 | 1.4 | 147 | 1.2 | 11.247 | 647 | 8.4 |
| 15 | 12.020 | 11.400 | 620 | 5.2 | 320 | 2.7 | 170 | 1.4 | 51 | 0.4 | 11.941 | 541 | 8.7 |
| 17 | 8.670 | 8.170 | 500 | 5.8 | 350 | 4.0 | 190 | 2.2 | 49 | 0.6 | 8.759 | 582 | 11.2 |
| 19 | 8.340 | 7.890 | 450 | 5.4 | 460 | 5.3 | 120 | 1.4 | 145 | 1.7 | 8.615 | 625 | 4.6 |
| 21 | 8.720 | 8.240 | 480 | 5.5 | 510 | 5.6 | 200 | 2.2 | 85 | 0.9 | 9.035 | 795 | 4.9 |
| 23 | 7.020 | 6.540 | 480 | 6.8 | 490 | 6.7 | 180 | 2.5 | 145 | 2.0 | 7.355 | 815 | 4.2 |
| 25 | 7.750 | 7.280 | 470 | 6.1 | 165 | 2.1 | 75 | 1.0 | 125 | 1.5 | 7.645 | 365 | 5.8 |
| 27 | 7.940 | 7.380 | 560 | 7.0 | 150 | 2.8 | 75 | 1.0 | 150 | 1.9 | 7.755 | 375 | 7.0 |
| 29 | 8.540 | 7.880 | 660 | 7.7 | 185 | 2.3 | 75 | 0.9 | 85 | 1.0 | 8.225 | 345 | 8.5 |
| 31 | 8.140 | 7.580 | 560 | 6.9 | 265 | 3.3 | 90 | 1.1 | 115 | 1.4 | 8.050 | 470 | 9.8 |
| 33 | 7.140 | 6.520 | 620 | 8.7 | 300 | 5.3 | 100 | 1.4 | 90 | 1.3 | 7.010 | 490 | 10.3 |
| 35 | 7.920 | 7.400 | 520 | 6.6 | 450 | 5.5 | 130 | 1.6 | 110 | 1.4 | 8.090 | 690 | 12.2 |
| 37 | 7.540 | 7.060 | 480 | 6.4 | 500 | 6.4 | 150 | 1.9 | 120 | 1.5 | 7.830 | 770 | 9.0 |
| 39 | 7.120 | 6.630 | 450 | 6.3 | 515 | 7.0 | 180 | 2.4 | 70 | 0.9 | 7.395 | 765 | 10.0 |
| 41 | 7.340 | 6.970 | 370 | 5.0 | 560 | 7.1 | 230 | 2.9 | 165 | 2.2 | 7.925 | 955 | 10.2 |
| 43 | 8.040 | 7.520 | 520 | 6.5 | 435 | 5.3 | 185 | 2.2 | 120 | 1.5 | 8.260 | 740 | 9.0 |
| 45 | 7.330 | 6.820 | 510 | 7.0 | 455 | 6.0 | 155 | 2.0 | 155 | 2.0 | 7.585 | 765 | 10.0 |
| 47 | 9.740 | 7.240 | 500 | 5.1 | 710 | 6.9 | 265 | 2.6 | 70 | 0.7 | 10.285 | 1.045 | 10.2 |
| 49 | 10.540 | 10.100 | 440 | 4.2 | 510 | 4.6 | 240 | 2.5 | 135 | 1.2 | 10.985 | 885 | 8.0 |
| 51 | 11.160 | 10.500 | 660 | 5.9 | 470 | 4.2 | 170 | 1.5 | 130 | 1.2 | 11.270 | 770 | 6.9 |
| 53 | 10.740 | 10.230 | 510 | 4.7 | 550 | 5.0 | 175 | 1.6 | 105 | 0.9 | 11.060 | 830 | 7.5 |
| 試験 No. |
1番口 | 2番口 | 総合 | ||||||||||||||||
| Gt 全重 (kg) |
Og 籾重 (kg) |
Gs わらしいな (kg) |
Gs/Gt 左割合 (%) |
Gg/Gt 籾割合 (%) |
Gt/Gt+Tt 全重割合 (%) |
Gs/Gs+Ts わらしいな割合 (%) |
Tt 全重 (kg) |
Tg 籾重 (kg) |
Ts わらしいな (kg) |
Ts/Tt 左割合 (%) |
Tg/Tt 籾割合 (%) |
Tt/Gt+Tt 全重割合 (%) |
Ts/Gs+Ts わらしいな割合 (%) |
Gt+Tt 総重 (kg) |
Gg+Tg 総籾重 (kg) |
Gs+Ts わらしいな 割合 (kg) |
Gg+Ts/ Gt+Tt 左割合 (%) |
gg+Tg/ Gt+Tt 籾総重 割合 (%) |
|
| 2 | 9.37 | 8.61 | 0.76 | 6 | 94 | 93 | 64 | 0.70 | 0.27 | 0.43 | 61 | 39 | 7 | 36 | 10.07 | 8.880 | 1.119 | 11.0 | 89.0 |
| 4 | 9.28 | 8.58 | 0.70 | 8 | 92 | 91 | 56 | 0.86 | 0.305 | 0.555 | 64 | 36 | 9 | 44 | 10.14 | 8.885 | 1.255 | 12.3 | 87.7 |
| 6 | 7.26 | 6.96 | 0.30 | 4 | 96 | 66 | 22 | 3.68 | 2.58 | 1.10 | 30 | 70 | 34 | 78 | 10.94 | 9.54 | 1.400 | 12.8 | 87.2 |
| 8 | 9.56 | 9.11 | 0.45 | 5 | 95 | 94 | 53 | 0.56 | 0.15 | 0.41 | 73 | 27 | 6 | 47 | 10.12 | 9.26 | 0.860 | 8.5 | 91.5 |
| 10 | 9.02 | 8.57 | 0.52 | 6 | 94 | 90 | 46 | 0.95 | 0.39 | 0.56 | 59 | 41 | 10 | 54 | 9.97 | 8.96 | 1.130 | 11.2 | 88.8 |
| 12 | 9.83 | 9.38 | 0.45 | 5 | 95 | 78 | 37 | 2.82 | 2.04 | 0.78 | 28 | 72 | 22 | 63 | 12.56 | 11.42 | 1.230 | 9.7 | 90.3 |
| 14 | 11.78 | 11.18 | 0.60 | 5 | 95 | 96 | 61 | 0.52 | 0.14 | 0.38 | 73 | 27 | 4 | 39 | 12.30 | 11.32 | 0.980 | 8.0 | 92.0 |
| 16 | 12.09 | 11.55 | 0.54 | 5 | 95 | 93 | 44 | 0.89 | 0.20 | 0.69 | 77 | 23 | 7 | 56 | 12.98 | 11.75 | 1.230 | 9.5 | 90.5 |
| 18 | 12.13 | 11.59 | 0.54 | 7 | 93 | 89 | 57 | 1.47 | 1.07 | 0.40 | 27 | 73 | 11 | 43 | 13.60 | 12.66 | 0.940 | 7.0 | 93.0 |
| 20 | 8.19 | 7.74 | 0.45 | 6 | 94 | 89 | 48 | 1.00 | 0.506 | 0.494 | 49 | 51 | 11 | 52 | 9.19 | 8.246 | 0.944 | 10.3 | 89.7 |
| 22 | 9.22 | 8.76 | 0.46 | 5 | 95 | 86 | 44 | 1.46 | 0.976 | 0.484 | 33 | 67 | 14 | 56 | 10.68 | 9.736 | 1.054 | 9.9 | 90.1 |
| 24 | 9.78 | 9.20 | 0.58 | 6 | 94 | 84 | 44 | 1.934 | 1.46 | 0.474 | 25 | 75 | 16 | 56 | 11.714 | 10.66 | 1.314 | 9.0 | 91.0 |
| 26 | 8.56 | 8.07 | 0.49 | 6 | 94 | 91 | 53 | 0.85 | 0.406 | 0.444 | 52 | 48 | 9 | 47 | 9.41 | 8.476 | 0.934 | 9.9 | 90.1 |
| 28 | 8.24 | 7.55 | 0.69 | 8 | 92 | 90 | 61 | 0.88 | 0.441 | 0.439 | 50 | 50 | 10 | 39 | 9.12 | 7.991 | 1.129 | 12.4 | 87.6 |
| 30 | 8.64 | 7.68 | 0.56 | 7 | 93 | 86 | 51 | 1.44 | 0.871 | 0.529 | 38 | 62 | 14 | 49 | 10.04 | 8.151 | 1.089 | 10.8 | 89.2 |
| 32 | 8.35 | 7.78 | 0.47 | 6 | 94 | 90 | 51 | 0.88 | 0.426 | 0.454 | 52 | 48 | 10 | 49 | 9.23 | 8.20 | 0.924 | 10.0 | 90.0 |
| 34 | 8.08 | 7.27 | 0.81 | 10 | 90 | 88 | 66 | 1.11 | 0.696 | 0.414 | 37 | 63 | 12 | 34 | 9.19 | 7.966 | 1.224 | 13.3 | 86.7 |
| 36 | 8.34 | 7.83 | 0.51 | 7 | 93 | 96 | 58 | 0.91 | 0.536 | 0.374 | 41 | 59 | 4 | 42 | 8.72 | 8.366 | 0.884 | 10.1 | 89.9 |
| 38 | 8.54 | 8.02 | 0.52 | 6 | 94 | 91 | 56 | 0.80 | 0.391 | 0.409 | 51 | 49 | 9 | 44 | 9.34 | 8.411 | 0.929 | 9.9 | 90.1 |
| 40 | 6.84 | 60.25 | 0.815 | 12 | 88 | 90 | 66 | 1.065 | 0.656 | 0.409 | 39 | 61 | 10 | 34 | 7.60 | 6.681 | 1.224 | 16.0 | 84.0 |
| 42 | 7.94 | 7.45 | 0.49 | 6 | 94 | 82 | 53 | 1.734 | 1.30 | 0.434 | 25 | 75 | 18 | 47 | 9.674 | 8.75 | 0.924 | 9.6 | 80.4 |
| 44 | 8.53 | 7.94 | 0.59 | 7 | 93 | 90 | 50 | 0.95 | 0.226 | 0.684 | 72 | 28 | 10 | 50 | 9.48 | 8.206 | 1.184 | 12.4 | 87.6 |
| 46 | 9.54 | 8.98 | 0.56 | 7 | 93 | 92 | 47 | 0.87 | 0.355 | 0.515 | 59 | 41 | 8 | 53 | 10.41 | 9.335 | 1.185 | 11.4 | 88.6 |
| 48 | 10.77 | 10.37 | 0.40 | 4 | 96 | 88 | 45 | 1.46 | 1.15 | 0.31 | 21 | 79 | 12 | 55 | 12.23 | 11.52 | 0.890 | 7.3 | 92.7 |
| 50 | 10.42 | 9.55 | 0.87 | 8 | 92 | 95 | 75 | 0.06 | 0.37 | 0.29 | 44 | 56 | 5 | 25 | 11.08 | 9.92 | 1.160 | 10.5 | 89.5 |
| 52 | 11.02 | 10.28 | 0.74 | 7 | 93 | 87 | 63 | 1.57 | 1.14 | 0.43 | 27 | 73 | 13 | 37 | 12.59 | 11.42 | 1.170 | 9.3 | 90.7 |
| 54 | 8.85 | 8.28 | 0.57 | 6 | 94 | 87 | 46 | 1.335 | 0.69 | 0.665 | 49 | 51 | 13 | 54 | 10.205 | 8.97 | 1.235 | 12.1 | 87.9 |
| 項 目/ シ−プ/ シリンダ/ 速 度 |
1番口 | 2番口 | ||||
| 穂切粒 枝梗付着粒 |
脱ぶ粒 | 穂切粒 枝梗付着粒 |
脱ぶ粒 | |||
| m/s 0.3 |
rpm 800 |
2/3 | 12.3 | 2.7 | 3.9 | 2.6 |
| 1/2 | 7.4 | 2.4 | 3.6 | 2.9 | ||
| 1/3 | 2.2 | 3.6 | 2.9 | 2.8 | ||
| 900 | 2/3 | 8.2 | 2.6 | 8.5 | 2.5 | |
| 1/2 | 5.2 | 2.3 | 5.0 | 2.6 | ||
| 1/3 | 5.2 | 3.3 | 7.2 | 2.6 | ||
| 1000 | 2/3 | 7.8 | 3.4 | 5.4 | 3.4 | |
| 1/2 | 8.6 | 3.9 | 6.3 | 3.3 | ||
| 1/3 | 1.5 | 6.0 | 0.8 | 7.9 | ||
| 0.4 | 800 | 2/3 | 11.9 | 2.8 | 10.5 | 2.6 |
| 1/2 | 10.5 | 2.4 | 9.9 | 2.7 | ||
| 1/3 | 10.8 | 3.3 | 8.3 | 3.0 | ||
| 900 | 2/3 | 10.4 | 6.3 | 7.2 | 4.0 | |
| 1/2 | 9.0 | 4.4 | 8.1 | 5.0 | ||
| 1/3 | 9.3 | 5.2 | 7.8 | 5.9 | ||
| 1000 | 2/3 | 11.2 | 4.2 | 8.6 | 3.4 | |
| 1/2 | 11.9 | 4.4 | 8.4 | 3.7 | ||
| 1/3 | 11.0 | 4.8 | 8.5 | 3.8 | ||
| 0.5 | 800 | 2/3 | 14.3 | 1.9 | 14.6 | 2.4 |
| 1/2 | 11.4 | 2.9 | 13.5 | 2.3 | ||
| 1/3 | 10.8 | 3.0 | 10.3 | 3.4 | ||
| 900 | 2/3 | 11.5 | 2.4 | 11.1 | 2.4 | |
| 1/2 | 10.8 | 3.1 | 8.3 | 3.4 | ||
| 1/3 | 9.6 | 3.6 | 7.6 | 3.6 | ||
| 1000 | 2/3 | 11.6 | 2.9 | 9.2 | 2.6 | |
| 1/2 | 11.1 | 3.4 | 8.1 | 3.7 | ||
| 1/3 | 7.3 | 3.8 | 7.2 | 3.3 | ||