【指導参考事項】
水稲に対する深層追肥用化成の肥効試験
(昭和44〜46年)  北海道立上川農業試験場土壌肥料科

・ 目 的
 寒地水稲に対する深層追肥用化成の肥効をその追肥時期及び追肥量との関連において表層追肥と比較検討せんとする。

・ 試験方法
 ○ 供試品種  そらち
 ○ 試験処理  肥料の形態……基肥用化成(16-20-16、10-18-15-6)
                      追肥用化成(16-0-10-5、16-6-10-5)
            追肥位置………表層、深層(12cm)
            追肥時期………幼形期、幼形期7〜10日後、幼形期14日後
            追肥量…………0.2 0.3kg/a
   処理は肥料の形態×追肥位置×追肥時期×追肥量の組合せ 
 ○ 栽植密度  30×15cm(22.2株/m2)2本植
 ○ 基肥共通施用量(kg/a)N:0.6〜0.8、P2O5:1.00〜1.08、K2O:0.8〜0.9


・ 主要成果の概要
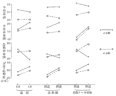
 1) 高温年、低温年を問わず、深層追肥用化成の肥効が顕著に認められ、収量的には同一時期の表層追肥に比して3〜8%の増収率を示している。
 2) 内容的には、稈長、穂数及び有効茎歩合を高めて生育を旺盛にする反面、屑米重、青米歩合を増加させるなど登熟面での不安定性を幾分内包している。
 3) 深層追肥は特に有効茎歩合の向上、1穂籾数の増加(主に2次枝粳の着生籾数の増加)に対して効果が認められ、更に玄米の粒厚を大粒化する有利性がある。
 4) 深層追肥の時期としては、N吸収の効率性及び品質面からみて幼形期7日後追肥の方が有利であり、又、追肥量としては0.2kg/a前後が適量と思われる。

・ 主要成果の具体的デ−タ−
 1. 表層追肥と深層追肥の効果
区   名 玄米収量(kg/a) 収量比(%)
44年 45年 46年 平均 44年 45年 46年 平均
無追肥区 35.7 57.7 47.1 46.8 100 100 100 100
幼形期・表追区 36.7 55.6 45.1 45.8 104 96 96 98
 〃   深追区 37.4 60.3 50.4 49.4 106 105 107 106
幼形7〜10日後・表追区 42.4 57.6 47.5 49.2 119 100 101 105
    〃     深追区 40.9 62.1 48.8 50.6 115 108 104 108

 2. 乾物生産及び窒素吸収状況
区  名 乾物増加量(g/m2) 止葉期(%) 出穂期(%) 15N吸収率(%)
幼〜止 止〜出 茎葉 葉身 葉鞘+稈 止葉期 出穂期
幼形期 表追 420 66 1.54 2.65 0.63 1.19 50.9 52.2
深追 336 125 1.82 2.66 0.65 1.10 82.7 86.2


 3. Nの追肥方法、追肥時期が収量性に及ぼす影響

・ 普及指導上の注意事項
 1) 深層追肥は登熟性を幾分不安定による要因を含むので、特に低温年の使用並びに追肥量
については過剰にならぬ様に考慮を要する。
 2) 現行の手押式深層追肥機では、堅密な土壌での使用が困難なため、動力式に変える様にするべきである。