【指導参考事項】
|
1.課題の分類 水稲 2.研究課題名 水稲機械移植用成苗ポット苗(成型丸型)に関する試験 (2)育苗施肥に関する試験 3.期 間 昭和53〜54 4.予算区分 受 託 5.担 当 北農試稲第2研究室 上川農試水稲栽培科 道南農試作物科 北見農試普通作物科 6.協力分担 中央農試稲作部圃場管理科 農務部農業改良課 |
7.目 的
成苗ポット苗育苗時における、床土と置床の施肥量について検討する。
8.試験研究方法
| 場 所 | 試験年次 | 床土(枠当りg) | 置床(1.0=成苗の標準量) | 播種日 | 播 種 量 | 供試品種 |
| 北農試 | 53 | 0.5 | 0.5、0.7、1.0 | 4/21 | 40g/枠 | ゆうなみ |
| 上川農試 | 53 | 0、0.5 | 0.5、1.0 | 4/18 | 3粒/ポット | イシカリ |
| 54 | 0、0.5、1.0、2.0 | 0、0.8、1.0、1.5 | 5/9 | 3粒/ポット | イシカリ | |
| 道南農試 | 53 | 0.5、1.0、2.0 | 0、0.5 | 4/21 | 3〜4粒/ポット | マツマエ |
| 54 | 0.5、1.0 | 0.5、1.0 | 4/23 | 2〜4粒/ポット | マツマエ | |
| 北見農試 | 54 | 0.5 | 0.5、1.0 | 4/23 | 3〜4粒/ポット | はやこがね |
9.試験結果および考察
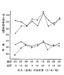
床土施肥量:施肥量1.0gでは、大きな問題はないが、発芽不整(上川)、初期生育の不整(道南)があり、2.0gでは発芽障害(上川)がみられた。0.5gではほとんど問題がなく、0gでも試験の範囲では問題なかったが、0.5g程度が適量と考えられた。
置床施肥量:置床施肥量は、標準量より少ない程、苗生育が劣る傾向を示し、標準量以上でも良い結果が得られた例(上川)もある。置床施肥量は、成苗育苗の場合の標準施肥量が適量と考えられた。
10.主要成果の具体的数字
| 場名 | 年次 | 床土 施肥 |
草丈 | 第1 鞘高 |
葉数 | 茎数 | 乾物重 | DW/ 草丈 |
草丈 | 第1 鞘高 |
葉数 | 茎数 | 乾物重 | DW/ 草丈 |
| 北農試 | 53 | 0.5 | 置 床 0.5 | 置 床 1.0 | ||||||||||
| 11.8 | 2.0 | 4.6 | 1.9 | 42.0 | 3.57 | 12.7 | 2.3 | 4.6 | 2.1 | 49.4 | 3.89 | |||
| 上川農試 | 53 | 0 0.5 |
12.5 13.1 |
- - |
3.9 3.9 |
2.0 2.0 |
29.7 25.7 |
2.38 1.96 |
14.4 14.5 |
- - |
3.6 3.7 |
1.8 1.8 |
27.4 29.2 |
1.90 2.01 |
| 54 | 0 0.5 1.0 2.0 |
17.5 17.5 16.8 15.6 |
- - - - |
4.2 4.2 4.2 4.1 |
1.9 1.9 1.9 1.9 |
39.5 39.8 40.2 39.0 |
2.26 2.27 2.39 2.50 |
|||||||
| 0.5 | 置 床 0. | 置 床 0.8 | ||||||||||||
| 10.4 | - | 3.6 | 1.0 | 28.3 | 2.72 | 15.4 | - | 4.1 | 1.7 | 37.7 | 2.45 | |||
| 置 床 1.0 | 置 床 1.5 | |||||||||||||
| 15.7 | - | 4.1 | 1.8 | 40.3 | 2.57 | 16.6 | - | 4.2 | 1.9 | 41.7 | 2.51 | |||
| 道南農試 | 53 | 0.5 1.0 2.0 |
置 床 0. | 置 床 0.5 | ||||||||||
| 10.2 13.7 13.6 |
2.32 2.21 2.66 |
3.44 4.08 3.89 |
1.00 1.30 1.20 |
26.6 36.9 32.0 |
2.61 2.69 2.35 |
15.3 13.9 15.2 |
2.16 2.26 2.13 |
4.28 4.11 4.24 |
1.85 1.95 2.00 |
36.8 36.0 36.6 |
2.41 2.59 2.41 |
|||
| 54 | 0.5 1.0 |
置 床 0.5 | 置 床 1.0 | |||||||||||
| 14.8 12.7 |
- - |
4.23 4.30 |
2.15 2.15 |
36.7 35.2 |
2.48 2.77 |
15.1 13.7 |
- - |
4.24 4.20 |
2.05 2.30 |
38.8 35.1 |
2.57 2.56 |
|||
| 北見農試 | 54 | 0.5 | 11.9 | - | 4.20 | 2.13 | 3.56 | 2.99 | 11.1 | - | 4.20 | 2.10 | 3.57 | 3.22 |

図1. 道南農試 (昭53)

図2. 北見農試 (昭54)