【指導参考事項】(昭和53〜57年)
リンゴわい化栽培における若令樹の結実安定に関与する窒素施肥について
2.「レッドスパー」,「ふじ」における栽植密度と施肥量
北海道立中央農業試験場 化学部・園芸部
目 的
わい性台樹の高密植下において栽培密度と施肥量との関係を明らかにし,樹体の維持増大及び高品質果実の生産安定を図るための施肥基準を確立する。
試験研究方法
(1)試験場所;夕張郡長沼町字北長沼,中央農試園芸部果樹園2号園
(2)土 壌;崩積/洪積世堆積の凝灰質粘土(暗色表層酸性褐色森林土)
(3)N施肥量;栽植初年目は無肥料,2年目(54年度)は尿素入り複合硝化燐安(15-15-15)を10a当りN成分0〜12Kg,3年目以降は0〜24Kgを4月中旬連続的に施用。
(4)供試台木,穂品種など処理条件
| 穂品種 | 台木 | 供試樹数 | 栽植区 | 接木年次 |
| レッド スパー |
M26 | 39 | 3.5×1.0m(285樹/10a) | G1974 |
| 32 | 3.5×1.5(190樹/10a) | G1974 | ||
| 24 | 3.5×2.0(142樹/10a) | G1974 | ||
| 16 | 3.5×3.0(95樹/10a) | G1974 | ||
| ふじ | M7 | 31 | 4.5×1.5m(148樹/10a) | B1976 |
| 23 | 4.5×2.0(111樹/10a) | B1976 | ||
| 14 | 4.5×3.0(74樹/10a) | B1976 | ||
| 12 | 4.5×4.0(55樹/10a) | B1976 |
試験成果の概要
栽植密度および施肥量の違いが全葉中N含量,樹体生育,収量および果実品質に及ぼす影響
(1)レッドスパー(結実期)について
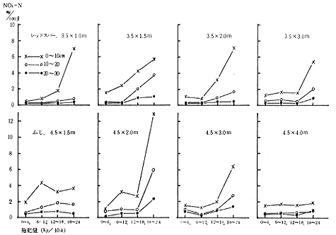
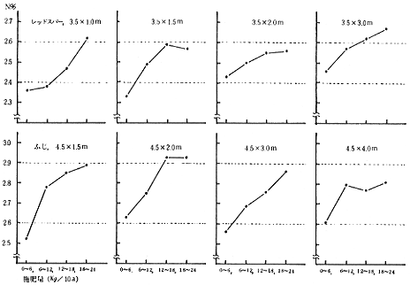
①全葉中N含量は,施肥量の増加に伴って高まる傾向を示した。栽植密度との関連では,高密植(3.5×1.0m)区に於ては,施肥量に対応して葉中N含量が高まった。しかし,栽植密度が低くなると,施肥量がある程度以上ある場合は,N含量の増加量は小さくなる傾向が認められた。
②樹体生育は,栽植密度の最も高い(3.5×1.0m)区は,他区に比べて幹周増加量が小さいなど,施肥段階にかかわりなく生育が劣った。しかし,施肥量の影響は栽植密度にかかわりなく,ほとんど認められなかった。
③1樹当り収量は,低密度区ほど高かった。施肥量の影響は,いずれも9〜15Kg程度の施肥範囲で収量が高かった。
1果重は,栽植密度の高い区で小さく,施肥量の影響は高密植区では,施肥量増に伴って大きくなる傾向にあったが,栽植密度が低くなると,10〜15Kg程度の施肥範囲で優る傾向があった。
④果実品質は,栽植密度の最も低い区で着色が明らかに良く,糖度は,最高密度区で若干低い傾向があった。施肥量の影響は,5Kg程度の低施肥段階で若干、着色が良好であった。(2)ふじ(結実開始期)について
①全葉中N含量は,施肥量の増加に伴って相対的に高まる方向にはあるが,栽植密度にかかわりなく低施肥段階では低いが,若干の施肥量がある場合は,N含量の増加が小さくなる傾向を示した。
②樹体生育は,レッドスパーと同様ふじでも,栽植密度の最も高い(4.5×1.5m)区は,他区に比べて幹周増加量が小さいなど,施肥段階にかかわりなく生育が劣った。施肥量との関連では,各栽植密度区とも,レッドスパーとは違って,施肥量の増加に伴って幹周増加量が増し,生育が旺盛になった。
③1樹当りの収量については,果実の結実量はまだ少ないが,施肥量の影響で樹体生育が旺盛になっても,結実開始期の収量には結びついて来なかった。
④果実品質は,果実の熟度の指標となる地色のあがりが,施肥量5Kg程度から悪くなる傾向があった。
以上要約すると
結実期に入った「レッドスパー/M26」と結実開始期の「ふじ/M7」とでは,栽植密度と施肥量の違いが,樹体生育などに及ぼす影響は,大部異なる傾向を示した。
(1)レッドスパー(結実期)について
①栽植密度と施肥量の違いが,樹体生育,収量および果実品質に及ぼす影響は,施肥量の影響よりも栽培密度の影響の方が大きく,本試験の最高密度(3.5×1.0m)区は,樹体生育,果実品質で他区に著しく劣った。
②施肥量については,9〜15Kg程度の施肥範囲でやや収量が高く,それ以上の施肥量では増加はみられなかった。
③従来に比べて栽植本数の多いわい化栽培に於ては,栽植樹数に比例しての増肥の必要はなく,現在の施肥標準における単位面積当りの施肥量で対応できる。
(2)ふじ(結実開始期)について
①幼木に対する施肥量の影響は,樹体生育には比較的明らかに反映した。
②結実初期の収量は,樹体が大きくなった割には施肥量増が反映しておらず,施肥量5Kg程度より果実の地色のあがりが悪くなったことなどから,幼木では5Kg程度の施肥量で十分である。

図−1 NO2-N(mg/100g 乾土当り)57.7.19

図−2 全葉中N%(54〜57年平均,各7月)
普及指導上の注意事項
①10a当り,190本程度までのわい化栽培に於ては,栽植本数に比例しての増肥の必要はなく,従来の施肥標準でほぼ対応できる。
②必要以上の多施肥は,土壌悪化の一因となるので注意する。
リンゴわい栽培における若令樹の結実安定に関与する窒素施肥について
2.「レッドスパー」,「ふじ」における栽植密度と施肥量
附図,主要成果の具体的データー

図−3*,施肥量と乾周増加量
(レッドスパー,54〜57年平均値)

図−4*,施肥量と乾周増加量(ふじ,54〜57年平均値)

図−5,施肥量と1樹当り収量(重量),(レッドスパー,54〜57年平均値)

図−6*,施肥量と1樹当りの累積収量(ふじ,56,57年合計)

図−7*,施肥量と1果重(レッドスパー,55〜57年平均値)

図−8*,施肥量と地色(ふじ,57年)