|
1.課題の分類 2.研究課題名 転換畑における秋まき小麦栽培技術の実証試験 3.期 間 昭和54〜57年 4.担 当 中央農試稲作部栽培第一科 〃 圃場管理科 5.予算区分 総 合 助 成 6.協力分担 |
7.目 的
転換畑における秋まき小麦の短期連作対策とその栽培技術を確立する。
8.試験研究方法
A 麦稈すき込みと深耕による連作対策試験
昭和52年まで水稲 53年畑転換〜57年(4作)
場内グライ七(HC) 「ホロシリコムギ」 反復2
1) 有機物石灰処理 対照(裸地)稲わら堆肥+石灰300g 麦稈+石灰300g
無処刑 麦稈すき込
2) 耕深処哩 浅耕(15㎝) 深耕(30㎝)
B コムギの生育収量に対するは種期および排水処理の影響
昭和52年まで水稲 53年畑転換〜57年(4作)
「ホロシリコムギ」「チホクコムギ」「タクネコムギ」
1) は種時期 9月5日から10月10日まで5日〜7日毎には種
2) 排水処理 無処理、籾殻心砕、籾殻暗渠、籾殻心砕+籾殻暗渠
9.結果の概要・要約
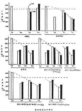
(1) 秋まき小麦の収量は転換初年目に比べ連作年数の増加に伴って著しく減少した、または
種時期の遅れはこの傾向を一層助長した。
(2) 深耕区(30㎝)は浅耕区(15㎝)に比べ多雨年を除くと収量性が高い。また、本圃場の立枯
病発生は、連作3年目から出現し、その程度は石灰無施用区に比べ施用区が、深耕区に比
べ浅耕区がそれぞれ著しかった。
(3) 麦稈施用区の収量は転換初年目のみ無施用区を上回ったが、2作目以降ではほぼ同等
かむしろ減収気味に推移した。
(4) 転換畑における秋まき小麦のは種期は9月10以前が望ましく、それ以降のは種では、著
しい減収を示した。
(5) 排水不良な転換畑では適期は種が困難であり、適期は種可能な圃場条件の確保のため
には、籾殻暗渠、籾殻心土破砕+籾殻暗渠の併用が有効であった。
10.主要成果の具体的数字

立枯発生率*と冬枯率**
| 浅耕系列(15㎝) | 深耕系列(30㎝) | 冬枯率(%) | ||||
| 発生面積率 | 発病度 | 発生面積率 | 発病度 | 浅 耕 | 深 耕 | |
| 対照(前年まで裸地) | 0 % | 0 | 0 % | 0 | 0.5 | 0.3 |
| 稲わら堆肥+石灰900kg | 80.0 | 60.0 | 75.0 | 55.0 | 0.5 | 0.5 |
| 麦稈+石灰900kg | 90.0 | 70.0 | 70.0 | 46.3 | 0.5 | 0.7 |
| 無 処 理 | 20.0 | 10.0 | 10.0 | 5.0 | 0.3 | 0.3 |
| 麦稈すき込み | 20.0 | 10.0 | 15.0 | 8.8 | 0.3 | 0.5 |
| 稲わら堆肥+石灰600kg | 60.0 | 37.5 | 25.0 | 17.5 | 0.5 | 0.7 |
| 麦稈+石灰600kg | 75.0 | 50.0 | 30.0 | 17.5 | 1.0 | 0.8 |
| 無 処 理 | 15.0 | 7.5 | 5.0 | 2.5 | 1.0 | 0.5 |
| 麦稈すき込み | 10.0 | 5.0 | 10.0 | 5.0 | 0.5 | 0.3 |
| 平 均 | 41.1 | 27.8 | 26.7 | 17.5 | 0.6 | 0.5 |


○:倍量は種
は種期とコムギ子実重の関係
11.普及指導上の注意事項
1 連作栽培は原則としてさける。
2 播種期は9月10日まで終えることが望ましい。