| 1 課題の分類 病害・果樹 2 研究課題名 りんご腐らん病の生態と防除対策試験 3 期 間 (昭和44一'57年) 4 担 当 中央農試 病虫部病理科 道南農試 病虫予察科 5 予算区分 道 費 総合助成(昭和51〜54年) 6 協力分担 |
7 目 的
本病の発生生態を明らかにすると共に、薬剤を含めた省力的防除体系を検討する。
8 試験研究方法
1) 発生生態
(1) 病原菌の分離と接種
(2) 室内および圃場における胞子捕捉
(3) 罹病組織の病態解剖
2) 防 除
(1) 病斑の外科的処理
病斑の削り取り方法の検討
有効塗布剤の圃場検定
(2) 薬剤散布
有効薬剤の室内および圃場検定と防除時期の検討
9 試験結果の概要・要約
Ⅰ 発生生態
1) 病原菌の寄主範囲
りんご腐らん病菌はりんごの他に梨類(中国梨、西洋梨)、カイドウ類およびモモに寄生し、病斑上
に子実体を形成するので、これら樹種上の病斑はりんごの感染源となる。
2) 胞子分散
分散様式:柄胞子は降水の際に樹皮表面を流下し分散され、直接空中飛散はしない。他方、子の
う胞子の分散は降水に伴う樹皮表面の流下と子のう殼からの射出による空中飛散によるが、後者が
主であることが明らかとなった。このことから、本病は空気伝染性である。
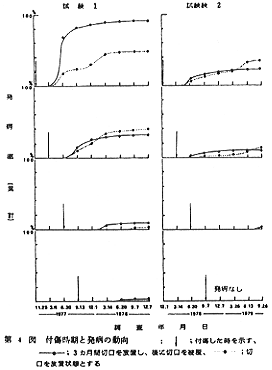
分散消長:柄胞子と子のう胞子の主たる分散時期は異なるが(第1,2図)、本病の伝染源は年間を
通し分散されることがわかった。
3) 感染経路と発病
りんご腐らん病菌の寄主体への侵入(感染)は果台、剪定痕および枯死枝先から主におこる。感染
は年間を通し認められるが(第3図)、特にりんごの休眠期とその前後は多く、しかも感染から発病へ
移行しやすい(第4図)。発病は4月から6月にかけて最も多くみられるが、盛夏期には著しく抑制された。
4) 発病の抑制要因
樹皮水分の多い枝では病原菌の生育適温(25〜30℃)にあるにもかかわらず、病斑進展が抑制さ
れるので(第5図)、夏期に発病が少なく、病斑もほとんど進展しない原因はこの時期の気温の上昇
と樹皮水分の増加に伴い(第6図)、樹体の活性が高揚し、その結果寄主抵抗性が増加したためと
考えられた。
5) 病斑内部形態の季節的変化
病斑組織内では病原菌の進展に先行した組織で傷痍木栓組織が形成される。この木栓組織の発
達の速さや程度は季節的に変動する樹体の活性によって著しく異なり、それによって発病およびその
後の進展が左右されることが明らかとなった。
以上の発生生態から、りんご腐らん病を防除するためには、(1)空気伝染する病原菌を除去し、伝染
源をなくする。(2)病原菌の侵入門戸となる傷痍部の形成を、特に発病につながる感染の多い休眠期
に防止する。(3)伝染源の感染を薬剤散布によって防止する。(4)樹体の抵抗性を強化し、発病を抑制
することなどが必要と考えられた。
Ⅱ 防 除
1) 病斑の外科的処理
病斑の削り取りは単に外観的な病斑だけでなく、枝幹の上下の方向に広く、また癒合組織の形成
が劣る上端と下端の切口を小さくするために紡すい形に行う必要がある。病斑を紡すい形に削り取り
(第1表)、これに治療効果の高いチオファネートメチル、ポリオキシソD亜鉛塩あるいはグアザチンを含
む塗布剤を塗布すると、削り取り病斑からの再発病を顕著に滅らすことが出来た。
2) 薬剤散布
切枝法による検定で高い感染阻止効果があったベンツイミダゾール系化合物を用いた発芽前から9
月中旬までの12〜14回散布(全生育期)は、圃場の枝腐らんの発生を顕著に防除した。また、収穫後
と発芽前に行う高濃度の薬剤を用いる休眠散布(第8図)、あるいは発芽前から6月中旬までの6回散
布(生育期前半、第7図)でも、本病の発生を滅らすことが出来るが、その効果は全生育期散布に劣っ
た。しかし、本病の重要な感染時期、すなわち休眠期に続けて生育期前半に散布すると、その効果は
全生育期散布と同等かやや勝った(第9、10図)。なお、休眠期に散布し有効な薬剤としては、チオファ
ネートメチル、ベノミルの他に石灰硫黄合剤とPCP銅がある。
10 主要成果の具体的数字

第1図 柄胞子分数の季節的変動と降雨

第2図 子のう胞子分数の季節的変動と降雨、および温度

第3図 枝の付傷時期と感染:*:付傷3ヶ月後の病原菌の分離率




第7図 生育前半散布の防除効果
A:農家慣行散布(ジクロン・チウラム、グアニジン、
キャプタン、ボルドーを散布),B:生育期前半MBC
散布,C:全生育期MBC散布↓:農業慣行薬剤散布
↓:MBC800倍散布,↓:MBC2000倍(1971年 1500倍)散布
第1表 病斑削り取り方法と再発病
| 試験地 | 削り取り方法 | 処理病斑数 | ゆ合組織形成 | 再発病率 | ||
| 形成程度a) | 病斑痕全体 に対する形 成割合b) |
調査年月 | ||||
| 1977 10月 |
1978 5月 |
|||||
| 余市町 | 紡すい形削り取り法 | 33 | 2.8 | 83 | 0% | 4.5% |
| 農家慣行法 | 32 | 2.6 | 72 | 15.4 | 27.3 | |
| 深川市 | 紡すい形削り取り法 | 62 | 3.0 | 93 | 0 | 6.1 |
| 農家慣行法 | 52 | 2.7 | 66 | 11.5 | 40.9 | |


第9図 休眠期と生育期前半の散布による防除効果(試験1、小規模)
A:無散布、B:休眠期+生育期前半散布、C:全生育期散布、
↓:MBC 800倍散布、↓:MBC 1500倍散布

第10図 休眠期と生育期前半の散布による防除効果(試験2)
A:休眠期散布(低温度),D:休眠期(低温度)+全生育期散布,
B,C:休眠期(高温度)+生育期前半散布,ただしBはチオファネ
ートメチル,チウラム100倍(1000p.p.m,1000p.p.m),
↓:チオファネートメチル 2000倍液散布,↓:チオファネトメチル
800倍液散布,↓:農家慣行散布(前半:ジクロン,チウラム,キャ
プタン,後半:キャプタン,チウラム有機飼)
11 今後の問題点
傷疾木栓組織の形成を促進するような栽培体系の確立
生育期前半に散布しうる有効薬剤の検索
12 成果の取り扱い(指導上の注意事項)
1) 梨類、モモ、カイドウおよびマルメロがりんご園に混植あるいは近接してある場合には、罹病枝の
剪去はりんご樹上のものだけでなく、これら樹種の胴枯性被害部も含めて行う。
2) 枝幹等の剪去は痍傷木栓組織の形成が盛んとなる5〜6月に行い、剪去切口には塗布剤を塗布
することが望ましい。厳寒期に剪去を行った場合は剪去部位を5〜6月に切りなおす。
3) 病斑樹皮の削り取りは紡すい形に行い、削り取った部分にチオファネートメチル塗布剤、ポリリオ
キシンD亜鉛塩塗布剤あるいはグアブチン塗布剤を塗ると治癒効果が高い。
4) 防除薬剤として、チオファネートメチル、ペノミル、石灰硫黄合剤およびPCP銅が有効である。チオ
ファネートメチルおよびペノミルは黒星病に耐性菌が出現しているので、生育期の使用にあたっては
注意が必要である。また、石灰硫黄合剤およびPCP銅は休眠期にのみ使用する。
5) 本病の発生生態、特に胞子分散、感染経路と発病および発病抑制要因等がわかり、また有効薬
剤とその防除時期も明らかとなったが、本病防除の要点は伝染源の除去と樹体の耐凍性の強化な
どの樹体の健全化におくことが必要である。