【指導参考事項】
|
1.課題の分類 牛 衛生 2.研究課題名 肉牛の低マグネシウム血症の予防対策に関する試験 3.期 間 (昭52〜56) 4.担 当 新得畜試 研究部 衛生科 5.予算区分 道 単 5.協力分担 |
7.目 的
肉牛の低マグネシウム血症の発生要因,特に北海道において特徴的な冷涼,寒冷期における発生の要因を究明し,防止対策を検討する。
8.試験研究方法
1)肉牛の血清ミネラル特にMgの季節的変動:ヘレフォード成雌牛を供試し,春分娩の場合及び秋分娩の場合の血清ミネラルの季節的変動について観察した。
2)低Mg血症発生における個体差について:低Mg血症発生における個体差の有無について調査,検討した。
3)飼料の摂取不足が,血清Mgに及ぼす影響
ア)肉牛の制限給与が,血清Mgに及ぼす影響:ヘレフォード成雌牛に乾草を飽食量の半量に制限給与した時の血清Mg等について調べた。
イ)タイレリア感染時における貧血の程度と血清Mgについて:タイレリアを人工感染させた肉牛25例について,Htと血清Mgとの関係について調べた。
4)反すう家畜におけるMgの利用性に関する試験
ア)高窒素飼料の給与が,Mgの吸収に及ぼす影響:尿素の添加により,飼料中のNレベルを変えた4処理で,ミネラル出納と第一胃内性状について検討した。
イ)圧べんとうもろこしの給与が,Mgの吸収に及ぼす影響:圧ぺんとうもろこしの有無×NaHCO3の有無の4処理でミネラル出納と第一胃内性状について検討した。
ウ)MgO投与時における濃厚飼料の種類及び給与量の違いが,Mgの吸収に及ぼす影響:MgO投与時,濃厚飼料として配合飼料と圧ぺんとうもろこしの2種,又配合飼料の量2水準で,Mg出納について検討した。
5)肉牛の低Mg血症予防試験
ア)MgO経口投与による低Mg血症予防試験:1頭当りMgO50gの経口投与による予防効果について検討した。
イ)濃厚飼料の種類及ぴ給与量の違いが,MgO投与による低Mg血症予防効果に及ぼす影響:MgO投与で,濃厚飼料として配合飼料ととうもろこしの2種,及びその給与量2gと6g/kgの2水準の4処理における予防効果について検討した。
ウ)Mg剤の種類及ぴ投与量の違いが,低Mg血症予防効果に及ぼす影響:MgO単一投与で,量が0.06と0.19/kgの2水準及びMgOとMgCL2・6H2Oの混合物投与の3処理で予防効果について検討した。
9.主要成果の概要
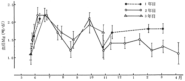
1)春分娩牛の血清Mgは,分娩後から放牧開始数日後までの間,8月,及び10月末に,秋分娩の場合,分娩後にあたる11〜2月に低下する傾向にある。
2)血清Mgの著しい低下は,一定の牛に反復してみられ,低Mg血症になりやすい牛の存在がうかがわれた。
3)肉牛の制限給与により血清Mgの低下がみられた。タイレリア感染時の血清Mgは,貧血が進むほど低くなり,Htとの間に正の相関がみられた。
4)Mgの吸収は尿素を2%以上(全飼料中)添加して給与することにより低下し,とうもろこしの給与により上昇する傾向があった,又MgOを投与する場合,配合飼料よりとうもろこしに混和して与えた方がMgの吸収が約1.5倍高まった。配合飼料の給与量の違いでは差がみられなかった。
5)
ア)MgO50g投与により低Mg血症予防効果はみられた。
イ)MgO投与の場合,濃厚飼料の種類及び量を変えても,予防効果に差はなく1頭当り約30gの投与により予防効果がみられた。
ウ)MgOの投与量及びMgO単一投与とMgOとMgCL2・6H2Oとの混合物投与の違いによって予防効果に差はみられず,いずれも血清Mgの低下を抑えた。MgCL2・6H2Oの潮解性がある点,し好生が悪い点を考慮すると,むしろ単一投与の方が望ましい。よって,舎飼期における低Mg血症は,濃厚飼料1㎏程度にMgOを約30g(体重kg当り0.06g)混和して与えることにより予防できると思われた。
また血清Mgの低下は特定の牛に限ってみられることから,低下しやすい牛にのみMgOを投与すればさらに効率的な予防が可能である。
10.成果の具体的数字

図1.春分娩牛の血清Mgの季節的変動

図2.秋分娩牛の血清Mgの季節的変動
表1.Mgの出納と血清Mg濃度(試験4−ア))
| 処理 | Mg摂取量 | Mg糞中 排泄量 |
Mg吸収量 | Mg尿中 排泄量 |
Mg体内 残留量 |
血清Mg |
| Urea-0区 | 2.39g | 1.93g | 0.46g(19.1) | 0.41gab | 0.05g | 2.6mg/dL |
| Urea-2区 | 2.41 | 1.86 | 0.55(22.8) | 0.45a | 0.10 | 2.6 |
| Urea-5区 | 2.41 | 2.06 | 0.35(14.5) | 0.34ab | 0.01 | 2.7 |
| Urea-8区 | 2.41 | 2.08 | 0.33(13.7) | 0.15b | 0.18 | 2.7 |
表2.Mgの出納(試験4−イ)) (g/1日1頭)
| 処理 | Mg摂取量 | Mg糞中 排泄量 |
Mg吸収量 | Mg尿中期 排泄量 |
Mg残留量 |
| H区 | 1.63 | 1.59 | 0.04(2.5)a | 0.27(16.6) | -0.23 |
| H+C区 | 1.84 | 1.46 | 0.38(20.6)ab | 0.33(17.9) | 0.05 |
| H+Na区 | 1.64 | l.49 | 0.15(9.3)ab | 0.40(24.4) | -0.25 |
| H+C+Na区 | 1.83 | 1.30 | 0.53(29.0)b | 0.33(18.0) | 0.20 |
表3.Mgの出納(試験4−ウ)) (g/1日1頭)
| 処理 | Mg摂取量 | Mg糞中 排泄量 |
Mg吸収量 | Mg尿中期 排泄量 |
Mg残留量 |
| とうもろこし区 | 2.75 | 1.83 | 0.92(33.5)a | 0.56(20.4)a | 0.36 |
| 配合多量区 | 3.18 | 2.50 | 0.68(21.4)b | 0.41(12.9)b | 0.27 |
| 配合少量区 | 2.93 | 2.22 | 0.71(24.2)ab | 0.44(15.0)ab | 0.27 |
表4.予防試験2)における血清Mg(mg/dL)
| 処理/経過 | 開始時 | 1週後 | 2週後 |
| 配合区 | 1.45 | 1.63 | 1.43 |
| 配合(少)+MgO区 | 1.49 | 1.90 | 1.88 |
| 配合(多)+MgO区 | 1.59 | 1.99 | 1.87 |
| とうもろこし区 | 1.61 | 1.68 | 1.70 |
| とうもろこし(少)+MgO区 | 1.66 | 1.97 | 2.01 |
| とうもろこし(多)+MgO区 | 1.63 | 1.99 | 1.92 |
表5.予防試験3)における血清Mg(mg/dL)
| 処理/経過 | 開始時 | 5日後 | 10日後 |
| 対照区 | 1.74 | 1.84a | 1.86 |
| MgO50区 | 1.79 | 2.09b | 1.93 |
| MgO30区 | 1.83 | 2.05b | 1.95 |
| MgO・MgCL2区 | 1.84 | 2.10b | 1.99 |
11.今後の問題点
1.低Mg血症発症における環境要因(特に寒冷感作)の検討。
2.低Mg血症発症における個体差の原因の検討。
3.放牧期における効果的な予防法の検討。
12.成果の取り扱い(普及指導ヒの注意事項)
1.本道における肉牛の低Mg血症発症の危険時期は,一般的に言われている春の放牧初期ではなく,春分娩の場合は,分娩後から放牧開始数日後までの間と,8月,10月末,秋分娩の場合は分娩後から2月頃までの間である。よってこの時期に1日1頭当りMgO約30g(体重㎏当り0.06g)を濃厚飼料に1kg程度に混和して投与することにより,本症の発生を予防できるものと思われた。
低Mg血症発生には個体差が著しく,本症を経験した牛は,再発の危険が大きいので十分注意することが望ましい。
3.本症発症の原因として特に放牧末期の場合は,飼料の摂取不足が大きな要因であると思われるので,転牧を早めるなどして飼料の摂取不足にならぬよう十分配慮すること。
4.高炭水化物飼料はMgの吸収を高めるが,高蛋白はMgの吸収を低下させるので,留意すること。