【指導参考事項】(昭和55〜58年)
ニンジン・ハクサイ畑土壌のP肥沃度に対応した施肥法
道立中央農試化学部土壌肥料第一科
目 的
野菜畑の肥沃化過程が各種野菜の生育・品質に及ぼす影響を明らかにするとともに、肥沃度に対応した施肥改善対策並びに土壌管理方式を策定し、高品質野菜の安定多岐技術の確立を図る。
試験方法
A ニンジン
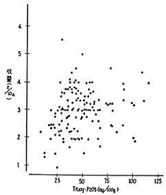
1 現地実態調査
道内の主要なニンジン生産地である富良野管内156ケ所のニンジン栽培跡地の土壌分析と聴取りによる収量
2 現地試験
試験区……P2O50、10、25、50×N6、12、18、24kg/10a
土 壌……黒ボク土(5ケ所)、低地土(4ケ所)、褐色森林土(1ケ所)
3 場内枠試験
試験区……N10、15、20、25kg/10a×P施肥5段階(P吸に対し0、5、30、60、
100、200%のP2O5添加……P吸900)
B ハクサイ
1 現地実態調査
道央の一般野菜畑133ケ所の土壌分析
2 現地および場内枠試験
試験区……N施肥10〜35kg/10a(追肥5、10Kgを含めて)×P2O52〜4段階
(0〜50Kg/10a)の部分組合せ
土壌……黒ボク土(4ケ所)、低地土(6ケ所)、泥炭土(2ケ所)
3 場内枠試験……ニンジンに同じ
試験成果の概要
A 実態調査
1 ニンジン、ハクサイ畑における養分蓄積状況は、前者でややP蓄積が認められたものの、タマネギやホウレン草畑のように蓄積が進行していなかった。
B ニンジン
1 P施肥反応は、作土のP肥沃度もさることながら、深根性作物の特性を反映して根域のP肥沃度が大きな影響を及ぼし、下層土のP肥沃度が高い低地土で、P施肥反応が低かった。
2 N施肥反応には、P肥沃度が大きな影響を及ぼし、根域のP肥沃度が高い土壌では、N施肥に対する適応巾が広くなった。またP肥沃度の低い土壌に対するN多施は減収を招いた。これは少P条件下における多Nが、生育初期の根の伸長を抑制し、P、塩基の吸収を抑え体内含有率を低下させたことに基づくものと考えられた。したがって、黒ボク土のような下層のP肥沃度が低い土壌に対してのN施肥は、現行のN施肥基準以内にとどめるぺきである。
3 現地実態調査に基づく収量調査並びに土壌分析結果から、土壌中のTruog-P2O5レベルを30〜50mg/100g程度にすべきと思われた。
C ハクサイ
1 P施肥試験の結果、Truog-P2O530mg/100g以下の土壌に対するP2O5施肥量30〜50kg、30〜100mg/100gでは15〜30kg100mg以上の高P土壌では0〜15kg/10aが適量であった。
2 またN肥沃度に対応した適正なN施肥量はN5Kg/10aの追肥を前提とし、熱水抽出性−N5mg以下では基肥N20〜25Kg、5〜10mgでは15〜20Kg、10mg以上では10〜15Kg/10aが適量であった。
3 P肥沃度の向上に伴うN増肥効果が認められた。そこでN・P肥沃度に対応した施肥量を設定した。
主要成果の具体的数字
第1表 ニンジンに対するN・P施肥試験
の平均収量指数
| P2O5 (kg/10a) |
N (kg/10a) |
黒ボク土 | 低地土 |
| 0 | 6 | 94 | 98 |
| 12 | 92 | 94 | |
| 18 | 65 | ||
| 24 | 98 | ||
| 10 | 6 | 104 | 100 |
| 12 | 100 | 96 | |
| 18 | 76 | ||
| 24 | 103 | ||
| 25 | 6 | 96 | 100 |
| 12 | 100 | 100 | |
| 18 | 93 | ||
| 24 | 104 | ||
| 50 | 6 | 112 | 95 |
| 12 | 111 | 98 | |
| 18 | 97 | ||
| 24 | 104 |
第2表 ハクサイに対するN・P肥沃度別施肥量(kg/10a)
| 熱水抽出性− N(mg/100g) |
要素 | Truog-P2O5(mg/100g) | ||
| 30以下 | 30〜100 | 100〜 | ||
| 5以下 | N | 20 | 20 | 25 |
| P2O5 | 30〜50 | 15〜30 | 0〜15 | |
| 5〜10 | N | 15 | 15 | 15〜20 |
| P2O5 | 30〜50 | 15〜30 | 0〜15 | |
| 10〜 | N | 10 | 10 | 10〜15 |
| P2O5 | 30〜50 | 15〜30 | 0〜15 | |

富良野地区におけるニンジン
収穫跡地Truog-Pと収量

跡地Truog-P2O5とハクサイの収量
普及指導上の注意事項
1 塩基飽和度が低い土壌に対するP多施用は減収を招く。したがってP肥沃度と塩基飽和度が低い土壌に対してのP多施用にあたっては、土壌診断に基づいた塩基の補給を行うこと。
2 土壌Nが流亡しやすい条件下では、それに対応したN施肥を行うこと。