【指導参考事項】
根釧地方における土壌凍結の実態および対する融凍促進法
その1.土壌凍結の実態調査(昭和57年〜58年)
根釧農試土壌肥料科
協力機関 帯広畜大開発土木教室
根釧管内農業改良普及所
ホクレン根釧開発課
目 的
根室、釧路管内における土壌凍結の実態を明らかにする。
試験方法
根釧管内14市町村(33ケ所)に基準点をおきメチレンブルー凍結深度計を設置して定期的に調査する。
調査時期:12月から翌5月まで毎月2回(基準日1日、15日)
調査項目:①土壌凍結深、②積雪深、③凍上量、④風向
試験成果の概要
1.根釧管内における土壌凍結は、11月下旬〜12月上旬にかけて開始され、2月中旬〜3月中旬にかけて最大凍結深度に到達し、4月中旬〜5月中旬にかけて融凍する。
2.本地域の土壌凍結深度およひ積雪深の地域的分布から、降雪が遅く積雪の少ない地帯で凍結深度の大きいことが明らかになった。また、積雪が中程度でも積算寒度が大きい場合には凍結が深かった。
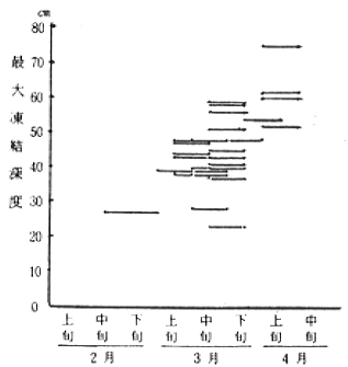
3.最大凍結深度に達する時期は凍結深度が大きい地帯ほど遅い傾向にあった。
4.土壌凍結の融凍時期(融凍日)は最大凍結深度の大きい地帯ほど遅い傾向にあった。
5.根釧地域における土壌凍結の実態を基礎に土壌凍結類型区分を試み、その結果、4区分が設定された。
| 項目 /型 |
降雪開始 | 積雪量 | 融雪 | 積算寒度 | 最大 凍結深 |
融凍 |
| Ⅰ型 | 早 | 多 | 遅 | 中 | 浅 | 中〜遅 |
| Ⅱ型 | 中 | 中 | 中 | 中〜大 | 中 | 中〜遅 |
| Ⅲ型 | 中 | 中〜少 | 中 | 大 | 深 | 遅 |
| Ⅳ型 | 遅 | 少 | 早 | 小 | 深 | 早〜中 |
試験成果の具体的データ

図1.根釧管内の土壌凍結深度・積雪深分布(昭和57年3月1日)

図2.土壌凍結深度・積雪深の推移

図3.積雪深と凍結深度の関係(昭57.3.1)

図4.最大凍結深度の時期(昭58年)

図5.根釧管内の融凍期分布(昭和57年)
普及指導上の注意事項
1.土壌凍結深度は各年次の気象条件により変動するので、基準点における調査が必要である。
2.融凍時期の予測は、春先の気象状況(気温、積雪、降雨)などを考慮して判断する必要がある。