| 1.課題の分類 豚、飼 養 2.課 題 名 繁殖におけるとうもろこしサイレージ の生産利用技術に関する試験 3.試験期間 【昭和53〜57年】 4.担 当 道立滝川畜試 草地飼料作物科、飼養科、管理科 5.予算区分 総 合 助 成 6.協力分担 な し |
7.試験研究目的
養豚におけるとうもろこしサイレージの利用法に関する技術体系を確立するために、豚糞尿を利用した
とうもろこしの多収栽培と品種比較、サイレージ調製と飼料価値および繁殖豚での利用法に関してそれ
ぞれ検討した。
8.試験研究方法
(1) 品種比較および栽培法
(2) サイレージの栄養価値査定
(3) 繁殖豚での利用技術
9.結果の概要、要約
(1)−1) 発芽期までの日数は順調年は約15日、不順年は約30日を要した。発芽条件は気象の影響も
大きいが、当場の圃場(重粘土)は砕土性の良否による影響が大きかった。この傾向は晩生種になるに
従って一層大きかった。
道央地帯では初霜前(平年10月10日)の収穫時に黄熟期(生雌穂重割合27%以上、乾雌穂重割合40
%以上)に達する時期を早・晩生種に区分して、気象条件(良好年−不良年)の相違でみると、早生種(8
月下旬−9月上旬)、中生種(9月上旬−9月下旬)、晩生種(9月下旬−10月上旬)であった。
乾物収量を5か年間の平均でみると、乾物総重はワセホマレ<C535<ホクユウ<Jx92<P3390<Jx162の
順で晩生種が多収であった。
乾雌穂重はワセホマレ<P3390<ホクユウ<Jx162<C535<Jx92の順であった。年次間の変動は晩生種に
なるに従って大きい傾向がみられた。
品種の選定は利用時(黄熟期を目途)を考慮し収穫期は、早生種は9月上旬、中生種9月下旬、晩生種
は10月上旬である。
2) 豚糞堆肥の施用によって、土壌中の腐植含量が高まり、砕土性が向上し、発芽および生育が良
好となった。この傾向は早ばつ年(昭57年)に顕著であった。
化学肥料施用を半量に減肥しても、堆肥施用2.5t以上では標肥区と同程度の収量であった。窒素換算
(利用率30%仮定)で、堆肥施用量5t(T-N14㎏)で施肥量としては充分量と考えられるが10.0tまで増収した。
(2)−1) とうもろこしの熟期と栄養価との関係より、黄熟期を目途にサイレージ調製を図ることが重要である。
2) 早・中・晩生種、各2品種づつを黄熟期を目途にサイレージ調製し栄養価を検討した結果、TDNは
早・中生種に比較し、晩生種でやや低い傾向がみられた。
3) とうもろこしの切断長は短い方が栄養価の点で好ましい。
4) とうもろこしの総乾物中の乾子実割合およびホールロップの乾物含量を、生草中の生子実割合か
ら推定できたが、子実の乾物含量を加味すると、さらに高い精度による推定が可能であった。
5) とうもろこしサイレージのTDN含量と子実含量との間には密接な関係が示されたが、年次による影響
も大きな要因として認められた。
6) とうもろこしサイレージのミネラル含量を、早生種と晩生種で比較すると、P含量は早生種で有意に
(Pく0.05)高かった。また、子実割合の増加により、CaおよびK含量の低下が認められた。
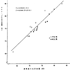
7) 原料草ととうもろこしサイレージの水分含量を比較すると、原料草に比べサイレージの方が約3%高か
った。
(3) とうもろこしサイレージを繁殖豚へ給与し、その採食量、繁殖成績、血液性状について検討した。
1) 1.2産の若豚と3産以上の成豚ではとうもろこしサイレージの採食量が異なるため、給与量を変える必
要が認められた。
2) 若豚に対しては、風乾物換算で配合飼料を妊娠期25%、授乳期10%の代替給与が望ましい。
また、DCPやミネラル補正の必要をとくに認めなかった。
3) 成豚に対しては魚粉添加によるDCP、ミネラルの補正を行うとともに、風乾物換算で妊娠期40%、授乳
期15%の代替給与が可能である。一方、妊娠期50%、授乳期20%の代替給与は繁殖成績が低い傾向を
示したが、とうもろこしサイレージのみをさらに20%増給したところ良好な繁殖成績を示し、適用が可能で
あると判断される。なお、魚粉の添加割合(混合飼料中割合)はとうもろこしサイレージで妊娠期40%、授
乳期15%代替時においては、妊娠期、授乳期でそれぞれ5.3、0%であり、とうもろこしサイレージ増給時に
おいては妊娠期、授乳期でそれそれ8.4、1.3%が望ましい。
4) 成豚における妊娠30、90日後および分娩2週後の血液性状を調べたところ、慣行法における血液性状
や既往の報告値と比べて妊娠期における血中尿素窒素が低かった他は、とくに大きく異なる値は認めら
れなかった。
10.主要成果の具体的数字
(1)−表1 品種比較
| 発芽期 | 抽糸期 | 乾物収量(kg/10a) | 黄熟期 | |||||||
| 月日 | SD(日) | 月日 | SD(日) | 総重 | CV(%) | 雌穂重 | CV(%) | 昭和53年 | 昭和56年 | |
| ワセホマレ | 6.3 | 3 | 8.2 | 5 | 983 | 19.4 | 581 | 22.4 | 8月下旬 | 9月上旬 |
| C535 | 6.4 | 5 | 8.3 | 6 | 1265 | 16.4 | 730 | 20.4 | 〃 | 9月中旬 |
| ホクユウ | 6.4 | 4 | 8.8 | 4 | 1385 | 22.2 | 718 | 31.5 | 9月上旬 | 〃 |
| Jx92 | 6.5 | 6 | 8.11 | 7 | 1462 | 19.5 | 750 | 31.3 | 〃 | 9月下旬 |
| Jx162 | 6.6 | 6 | 8.14 | 7 | 1574 | 24.1 | 729 | 47.4 | 9月中旬 | 10月上旬 |
| P3390 | 6.6 | 7 | 8.17 | 7 | 1535 | 26.8 | 612 | 56.0 | 9月下旬 | 10月上旬 |
(1)−表2 栽培法
| 5か年間平均(月日) | 乾物総重割合(%) | 5か年間平均(㎏/10a) | ||||||||
| 発芽期 | 抽糸期 | 昭53年 | 54年 | 55年 | 56年 | 57年 | 乾物総重 | 乾雌穂重 | ||
| 標肥 | 無堆肥 | 6.3 | 8.7 | 100 | 100 | 100 | 100 | 100 | 1183 | 526 |
| 堆肥 2.5t | 6.2 | 8.5 | 103 | 97 | 114 | 110 | 104 | 1248 | 559 | |
| 〃 5.0t | 6.2 | 8.5 | 110 | 109 | 120 | 112 | 135 | 1381 | 628 | |
| 〃 10.0t | 6.2 | 8.5 | 98 | 118 | 110 | 101 | 120 | 1296 | 594 | |
| 減肥 | 無堆肥 | 6.2 | 8.6 | 91 | 82 | 68 | 98 | 64 | 954 | 453 |
| 堆肥 2.5t | 6.31 | 8.5 | 101 | 92 | 114 | 118 | 103 | 1246 | 596 | |
| 〃 5.0t | 6.1 | 8.5 | 102 | 100 | 122 | 114 | 121 | 1317 | 597 | |
| 〃 10.0t | 6.1 | 8.6 | 116 | 124 | 124 | 123 | 131 | 1459 | 696 | |
(2)−表1 生草重量および総乾物中の乾子実割合とTDNとの関係 (n=13)
| 変 数 | 相関係数 | 回 帰 式 | |
| 総乾物中の乾子実割合(Y) | % | r=0.874** | Y=0.4465X+51.30 |
| サイレージのTDN含量(Y) | % | ||
| とうもろこしの生草重量(X1) | g/本 | r=0.931** | Y=46.11+0.0068X1+0.4343X2 |
| 総乾物中の乾子実割合(X2) | % | ||
| サイレージのTDN含量(Y) | % | ||

(2)−図1 生草中の生子実割合と総乾物中の
乾子実割合との関係

(2)−図2 原料草とサイレージの水分含量との関係
(3)−表1 とうもろこしサイレージの採食率 (%)
| 産次 | 妊娠期 | 授乳期 | |||
| 腹数 | 採食数 | 腹数 | 採食数 | ||
| 25-10%区 | 1.2産 | 5 | 99.4±1.4 | 4 | 100.0±0 |
| 3産以上 | 7 | 99.0±1.0 | 7 | 96.6±5.4 | |
| 50-20%区 | 1.2産 | 6 | 9l.2±8.2a | 5 | 92.8±9.8 |
| 3産以上 | 5 | 98.5±2.6b | 5 | 97.9±3.3 | |
(3)−表2 子 豚 の 増 体 (㎏)
| 腹 数 |
生時 | 2週 | 3週 | 4週 | 5週 | |||||||||||
| 頭 数 |
総体重 | 平均 体重 |
頭数 | 総体重 | 平均 体重 |
頭 数 |
総体重 | 平均 体重 |
頭 数 |
総体重 | 平均 体重 |
頭 数 |
総体重 | 平均 体重 |
||
| 40-15%区 | 8 | 13.3 | 18.95 | 1.45 | 9.6 | 37.4 | 4.0 | - | - | - | 9.5 | 62.1 | 6.7 | - | - | - |
| 慣行法 (昭57) |
38 | 10.9 | 15.28 | 1.46 | 8.4 | 32.1 | 3.9 | - | - | - | 8.2 | 53.7 | 6.6 | - | - | - |
| 50-20%区 | 8 | 12.0 | 15.8 | 1.32 | 9.1 | 31.5 | 3.5 | 9 | 41.9 | 4.7 | - | - | - | 8.9 | 60.2 | 6.9 |
| 慣行法 (昭55) |
42 | 12.0 | 16.23 | 1.38 | 8.5 | 32.2 | 3.8 | 8.4 | 42.6 | 5.1 | - | - | - | 8.2 | 57.8 | 7.2 |
| 増給 区 | 9 | 12.6 | 16.99 | 1.38 | 10.1 | 37.1 | 3.7 | - | - | - | 10.1 | 62.9 | 6.4 | - | - | - |
| 慣行法 (昭 56) |
44 | 11.3 | 16.00 | 1.45 | 8.9 | 33.8 | 3.9 | - | - | - | 8.2 | 55.6 | 6.6 | - | - | - |
(3)−表3 成豚における飼料給与量 (原物㎏/日)
| 交配時体重 | 妊娠期 | 哺育 開始 子豚数 |
授乳期3) | ||||||||
| 混合1) 飼料 |
サイレージ2) | 配合 飼料 |
混合 飼料 |
サイレージ2) | |||||||
| Ⅰ | Ⅱ | Ⅲ | Ⅰ | Ⅱ | Ⅲ | ||||||
| 40-15%区 | 200kg> | 1.52(5.3) | 4.2 | 3.8 | 3.4 | 6 > | 3.9 | − | 2.9 | 2.6 | 2.3 |
| 7〜9 | 4.8 | − | 3.5 | 3.1 | 2.8 | ||||||
| 10 ≦ | 5.2 | − | 3.8 | 3.4 | 3.1 | ||||||
| 200kg≦ | 1.65(5.3) | 4.6 | 4.1 | 3.7 | 6 > | 4.3 | − | 3.2 | 2.8 | 2.6 | |
| 7〜9 | 5.2 | − | 3.8 | 3.4 | 3.1 | ||||||
| 10 ≦ | 5.6 | − | 4.1 | 3.7 | 3.3 | ||||||
| 増給区 | 200kg> | 1.32(8.4) | 6 | 5.3 | 4.8 | 6 > | − | 3.75(1.3) | 4.6 | 4.1 | 3.7 |
| 7〜9 | − | 4.55(1.3) | 5.6 | 5.0 | 4.5 | ||||||
| 10 ≦ | − | 4.95(1.3) | 6.1 | 5.4 | 4.9 | ||||||
| 200kg≦ | 1.42(8.4) | 6.5 | 5.8 | 5.2 | 6 > | − | 4.15(1.3) | 5.1 | 4.5 | 4.1 | |
| 7〜9 | − | 4.95(1.3) | 6.1 | 5.4 | 4.9 | ||||||
| 10 ≦ | − | 5.35(1.3) | 6.6 | 5.9 | 5.3 | ||||||
11.普及指導上の注意事項
1. 道央地帯においては品種の選定は比較的自在であるが、極晩生種は黄熟期に達しない年もあるの
で留意すること。播種は5月中旬までに完了すること。圃場の砕土率が劣ると発芽が遅延し欠株の原
因となるので砕土率を高めることが必要である。
2. とうもろこしサイレージは配合飼料と異なり、水分、栄養価などの変動が大きいため、とくに多給に際し
ては、適宜水分含量を測って原物給与量をチェックする、また個体の観察をより綿密に行うなどの配慮が
必要である。なお、とうもろこしサイレージは採食状況をみながら徐々に増給する。
サイレージと組み合わせる種豚用配合飼料については、本試験例における配合飼料からの養分供給量
と過不足のないように給与する。