【指導参考事項】
根釧火山灰地帯におけるマメ科混播採草地の肥培管理方式
根釧農試土壌肥料科
目 的
根釧火山灰地帯におけるマメ科混播採草地で、長期の施肥管理か牧草収量および植生(草種構成)とくにマメ科混生割合の変遷に及ぼす影響を明らかにし、マメ科混播採草地の肥培管理方式を検討する。
試験方法
| 1.試験圃の造成 | 1967年6月 |
| 2.播種量 (kg/10a) |
チモシー0.5kg、オーチャードグラス0.75kg、アカクローバ0.5kg ラジノクローバ0.25Kgの4草種 |
| 3.施肥設計 (kg/10a) |
1)造成時…炭カル120kg、N、P2O5、K2Oをそれぞれ3Kg、 8Kg、6kg(硫安、過石・ようりん、硫加) 2)処理区…造成後2年目より三要素区(3F区)、無窒素区 (-N区)、無リン酸区(-P区)、無カリ区(-K区) 無肥料区(-F区)の5処理を設けた。 1区40㎡(5m×8m) 3)処理区の施肥料(年間)…N、P2O5、K2Oを硫安、過石、硫加にて9kg、15 kg、24kgを早春、1番草後、2番草後に均等施肥 ただし、2年目は2回刈のため6㎏、10Kg、16Kgを 施肥。 |
| 4.各種調査 | 1)収量調査…常法に従い収量調査を行い、イネ科草、マメ科の 乾物量を求め、牧草体養分含有率測定に供試。 ただし、2年目は2回刈、3年目以降は3回刈であ る。 2)植生調査…3年目以降の1番草について、重量法にて実施 した(生草)。また、15年目には積算優占度(SDR3) を測定した。 3)土壌化学性の調査…3、5、7、9、11、15年目は0〜10㎝土壌、さらに、 10年目には0〜2㎝、2〜5㎝、5〜10㎝、10〜 20㎝の各層位で調査した。 |
試験成果の概要
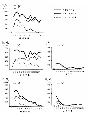
1.マメ科混生割合の高い草地では高収か得られた。(図−1)
2.マメ科混生割合を支配する肥培管理としてカリならびにリン酸か重要であり、これらの養分を欠除するとマメ科混生割合および収量は著しく低下した。(図−1、2)
3.土壌中の置換性石灰・苦土含量およびPHもマメ科混生割合に大きく関与し、これらの要因が悪化するとマメ科混生割合および収量は低下した。そのため土壌の化学性を改善すると、マメ科混生割合は高まり収量も増加した。(図−4、5)
4.生産性の低い草種および雑草類の草地への侵入は、施肥管理によって大きく影響され、カリ欠除ではケンタッキーブルーグラス、リン欠除ではレッドトップか主体草種となり、また土壌が酸性化することによりヒメスイバが侵入した。このような植生変遷の様相は土壌の化学性と対応していた。(表−1、図−2、3)
5.マメ科混播採草地に対する窒素施肥効果は認められた。すなわち、窒素欠除によりマメ科混生割合は高く維持され収量も安定していたが、収量水準は三要素区の造成3〜4年目の80%程度であった。したがって、三要素区の造成3〜4年目の収量水準を維持するには窒素を施肥する必要があるか、マメ科草の混生割合によっては窒素肥料の減肥は可能と思われた。(図−1)
6.以上の結果から、根釧火山灰地帯におけるマメ科草混播採草地の収量を高収で安定させるためには、マメ科草の混生割合の高い草種構成を維持することが重要と考えられた。
そのためには、苦土を含めたりン酸、カリの十分な施肥管理と土壌の酸性改良が必要である。なお、窒素施肥量についてはマメ科草の混生割合が高い場合は、その節減か可能と思われた。また、草地土壌の化学性の状態を判断するためには、ケンタッキーブルーグラス、レッドトップ、ヒメスイバを指標植物として活用(植生診断)することも有効な方法と考えられた。
試験結果の具体的データ

図−1 牧草収量の推移

図−2 植生の変化(1番草)

図−3 土壌養分含量の変化

図−4 土壌の化学性改善に伴う植生の変化
表−1 積算優占度(SDR3)
| 植生 /処理 |
導入 草種 |
ケンタッ キーブル ーグラス |
レッド トップ |
ヒメ スイバ |
その他 (裸地含む) |
| 3F | 59 | 4 | [19] | 17 | |
| -N | 99 | ||||
| -P | 23 | [50] | 9 | 19 | |
| -K | 20 | [46] | 11 | 1 | 22 |
| -F | 26 | 11 | 9 | 3 | 51 |

図−5 土壌の化学性改善に伴う牡草収量の変化
普及指導上の注意事項
1.マメ科混播採草地の基本的な肥培管理として、窒素,リン酸,カリ,苦土の4要素が重要であり、また土壌pHを適正に維持するため石灰の施用も必要である。
2.侵入雑草の種類で欠乏要素の推定が可能である。植生診断と土壌診断を定期的に行い適正な肥培管理を行う。