【指導参考事項】
|
1.課題の分類 病害・畑作 2.研究課題名 ジャガイモそうか病の発生生態に関する試験 3.期 間 (昭和55年〜60年) 4.担 当 十勝農試 5.予算区分 道 費 6.協力分担 |
7.目 的
ジャガイモそうか病(粗皮症状を含む)の病原菌,発生生態,発生要因を明らかにし,本病防除対策に資する。
8.試験研究方法
1)発生実態:発生分布,被害実態,年次・地方による発生変動などについて調査
2)病原放線菌:そうか病,象皮病類似(亀の甲)症に関与する病原放線菌の分類,同定のため,接種実験,全菌体中のジアミノピメリン酸,培養・生理性質,血清反応などについて検討
3)発生生態:そうか病,象皮病類似症発生畑における発病環境,そうか病の発病推移,伝染方法のほか,一般土壌微生物,前作物,土壌水分,土壌PHおよび品種とそうか病の発病との関係などについて検討。
9.結果の概要・要約
発生実態:
1).そうか病は北海道のジャガイモ栽培地帯の全域に発生分布し,網走および十勝地方で被害が多い。
2).そうか病の病原放線菌の北海道における地理的分布には明らかな片寄りがみられ,主としてらせん状胞子鎖の菌群は狩勝峠以西に直〜波状胞子鎖の菌群は以東に分布していた。
3).そうか病および象皮病類以(亀の甲)症の発生は年次,地方によって大きく変動し,高温,少雨年に多かった。
被害:
4).そうか病は食品用,食品加工用としての価値低下だけでなく,澱粉の含量および品質を低下させる。
病徴:
5).そうか病は主として塊茎に病徴が顕著で種々の病斑型が存在する。病原放線菌と病斑型との関係は基本的に明確で,common
scabから検出される病原放線菌は特定できないが,deep scabからはらせん状胞子鎖の,raised scabからは直〜波状胞子鎖のStreptomyces属菌が,russet scab(象皮病類似症)の場合は,上記2種とも異なるStreptomyces属菌が検出され,この関係は接種実験によっても再現できた。
病原放線菌:
6).そうか病の発生には複数のStreptomyces属菌が関与しており,胞子鎖がらせん状と直〜波状型の2群が存在した。胞子鎖がらせん状の菌群はメラニン様色産生の有無によって2分され,産生群は無効種Streptomyces scabies(S.scabies
subsp. scabies)に,非産生群はその亜種(S.scabiessubsp. achromogenes)に分類できる。胞子鎖が直〜波状の菌群は緑黄色々素産生の有無によって2分された。また,象皮病類似症を起こす病原放線菌は,これらとも異なる胞子鎖がコンパクトならせん状で,胞子表面にとげのあるStreptomyces属菌である。
7).そうか病原放線菌はダイコン,カプ,ニンジン,てん菜の根部に感染し,そうかおよび縞病班を形成した。
発生生態:
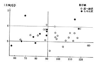
8).現地農家圃場における発生実態調査によると,(1).そうか病多発生畑土壌33点のうち,22点の土壌PHは5〜6の範囲にあったが,7点は5以下を示し,強酸性圃場でも多発生している例があった。(2).そうか病(病原放線菌の胞子鎖はらせん状)の発生と土壌PH,置換性塩基(K2O,MgO)含量との間に正の相関々係が,さらに象皮病類似症の場合も,そうか病の場合と同じであったほか,CaO含量との間に正の相関々係が認められた。(3).そうか病(病原放線菌の胞子鎖はらせん状および直〜波状)無,少発生畑の土壌中Mn含量は,発生,多発生畑土壌のそれに比較して多かった。
9).そうか病の発生推移は年次変動が大きく,6月中旬〜7月上中旬(塊茎形成〜肥大初期)に地温が高く,少雨乾燥に経過した年次に早期発生し,発病も多かった。
10).そうか病は土壌および塊茎伝染を行なう。塊茎伝染による発病(直〜波状胞子鎖の病原放線菌)は発病程度の低い塊茎より高いものを種薯とした場合に多く,発病圃場産の塊茎の場合,選別した無病徴のものを種薯としても塊茎伝染が起こった。なお,象皮病類似症の場合は,主として土壌伝染を行ない塊茎伝染による新塊茎の感染は極めて低率であった。
11).そうか病(病原放線菌の胞子鎖は直〜波状)の塊茎伝染による新塊茎感染は無処理畑に比較して,クロールピクリンで土壌消毒した畑圃場で激しく起こった。
12).そうか病(病原放線菌の胞子鎖はらせん状)の発生はジャガイモを連作しても多くならず,秋播小麦およびトウモロコシ栽培跡畑で,他の作物(豆類,てん菜)栽培跡畑に比較して多かった。
13).そうか病の発生は土壌湿度が高いと少なく,低いと多くなった。
14).そうか病の発生は土壌PHの上昇とともに多くなり,6.5附近で最高,7を越えると再び少なくなった。
15).そうか病(病原放線菌の胞子鎖は直〜波状)の発生は,硫酸加里,硫酸マグネシウム,硫酸カルシウム,硫酸マンガンおよび過燐酸石灰を多量に土壌施用すると無施用区より著しく多くなり,助長された。
16).ジャガイモ品種間に発病差異が認められ,供試18品種中,ウルチカ,ツニカ,529-1,ユキジロおよびアーカーゼゲンは,いずれのそうか病原放線菌による感染にも抵抗性を示した。品種ホッカイアカは,らせん状胞子鎖の病原放線菌に抵抗性であったが,直〜波状のものに対しては感受性を示した。
10.主要成果の具体的数字

第1図 北海道におけるそうか病原放線菌の地理的分布
第1表 そうか病の澱粉価に及ぼす
影響(1980)供試品種 紅丸
| 発病 程度 |
澱粉価(範囲) |
| 0 | 17.6(17.1〜17.9)% |
| 1 | 17.5(17.4〜17.6) |
| 2 | 17.9(16.7〜18.8) |
| 3 | 17.3(16.1〜18.8) |
| 4 | 15.1(14.4〜15.9) |
第2表 病原放線菌と病斑型との関係(品種男爵薯)


第2図 芽室町におけるジャガイモそうか病、粉状そうか病及び
象皮病類似症の発生状況

第3表 供試Streptomyces属菌の形態、培養および生理的性質
| 菌群 | 菌 株 数 |
胞子鎖 の形態 |
胞子の 表面 構造 |
マスカ ラー |
基 菌 糸 |
メラニ ン様色 素産生 |
メラニ ン様色 素以外 の色素 産生 |
硝酸塩 の還元 |
澱粉の 加水 分解 |
| A(M-) | 24 | らせん状 | 平滑 | 灰白 | 黄 | − | − | + | +,± |
| A(M+) | 7 | らせん状 | 平滑 | 灰白 | 黄 | + | − | + | + |
| B(F-) | 37 | 直〜波状 | 平滑 | 灰白 | 黄 | − | − | + | +,± |
| B(F+) | 5 | 直〜波状 | 平滑 | 灰白 | 黄 | − | +* | ± | + |
| R | 9 | らせん状 | とげ状 | 紫〜赤 | 黄 | − | − | ND | ND |
| 菌群 | 牛乳培養 | 食塩耐性 | 最高生 育温度 (℃) |
全菌体アミ ノ酸・糖粗成 |
全菌体 細胞壁 アミノ 酸糖パ ターン |
||||||
| 凝固 | 消化 | 色素 | 4% | 7% | 10% | LL- A2pm |
meso- A2pm |
ガラス トース |
|||
| A(M-) | 67 | 29 | - | 73 | 0 | 0 | 38 | + | - | - | Ⅰ型 |
| A(M+) | 0 | 100 | +** | 0 | 0 | 0 | 37 | + | - | - | Ⅰ型 |
| B(F-) | 16 | 84 | - | 79 | 0 | 0 | 35〜36 | + | - | - | Ⅰ型 |
| B(F+) | 20 | 80 | - | 60 | 0 | 0 | 35〜36 | + | - | + | Ⅰ型 |
| R | ND | ND | ND | ND | ND | ND | ND | + | - | ND | Ⅰ型 |

第4図 そうか病原放線菌と土壌pH及び
最大容水量との関係

第5図 ジャガイモそうか病の発病推移
注)病原放線菌の胞子鎖は直〜波状
![]() |
![]() |
![]() |
![]() |
第4表 供試Streptomyces属菌の各種糖利用性
| 菌群 | 菌株数 | グル コース |
キシ ロース |
アラビ ノース |
ラム ノース |
フラク ノース |
ガラク トース |
ラフィ ノース |
マンニッ トール |
イノシ トール |
サリ シン |
サッカ ロース |
| A(M-) | 22 | 100 | 96 | 100 | 100 | 100 | 100 | 96 | 100 | 100 | 100 | 100 |
| A(M+) | 7 | 100 | 100 | 100 | 100 | 100 | 100 | 100 | 71 | 57 | 100 | 100 |
| B(F-) | 37 | 100 | 95 | 100 | 97 | 100 | 97 | 97 | 95 | 100 | 0 | 100 |
| B(F+) | 5 | 100 | 100 | 100 | 100 | 100 | 100 | 100 | 80 | 100 | 0 | 100 |
| R | 9 | ND | ||||||||||

第7図 発病畑及び病原放線菌接種土壌におけるそうか病の年次発病推移
注)●○:発病畑土壌、×□:病原放線菌接種

第8図 そうか病の塊茎伝染と年次発病推移
注)病原放線菌の胞子鎖はらせん状
第5表 象皮病類似症の土壌伝染
| * 供試畑 土壌 |
無殺菌土壌区 | 殺菌土壌区 | ||||
| 調査新 塊茎数 |
発症 塊茎率 |
発症度 | 調査新 塊茎率 |
発症 塊茎率 |
発症度 | |
| A | 9個 | 100% | 100 | 8個 | 0% | 0 |
| B | 8 | 100 | 84 | 6 | 0 | 0 |
| C | 8 | 100 | 59 | 7 | 0 | 0 |
| D | 9 | 100 | 50 | 9 | 0 | 0 |
| E | 13 | 100 | 35 | 7 | 0 | 0 |
第6表 象皮病類似症の種薯伝染
| * 供試塊茎 |
無殺菌塊茎区 | 殺菌塊茎区 | ||||
| 調査新** 塊茎数 |
発症 塊茎率 |
発症度 | 調査新** 塊茎数 |
発症 塊茎率 |
発症度 | |
| B圃場産 | 15個 | 7% | 1 | 14個 | 0% | 0 |
| C圃場産 | 16 | 13 | 3 | 13 | 0 | 0 |
| D圃場産 | 17 | 6 | 2 | 13 | 0 | 0 |

第9図 発病程度の異なる種薯における新塊茎のそうか病発生推移

第10図 殺菌および無殺菌畑でのそうか病の
種薯伝染による発病差異


SFN8011-7;A菌群(M+)菌株、SN8011-30;A菌群(M-)菌株
SHE8011-13;B菌群(F+)菌株、SMN8011-2;B菌群(F-)菌株
S-20;(Strcptomyces tumnli)

第13図 土壌pHのそうか病の発病に及ぼす影響
第7表 ジャガイモ品種のそうか病に対する抵抗性
| 供試品種 | 実験-Ⅰ | 実験-Ⅱ | ||
| 発病塊茎率 | 発病度 | 発病塊茎率 | 発病度 | |
| ウルチカ | 84.6ab% | 36.3b | 52.9d% | 13.2f |
| ツニカ | 72.8ab | 42.8b | 53.4d | 13.3f |
| ホッカイアカ | 100a | 74.3a | 64.7cd | 17.9ef |
| 529-1 | 83.5ab | 42.6b | 63.7cd | 21.0def |
| ユキジロ | 75.5ab | 41.5b | 68.9bcd | 21.9def |
| アーカーゼゲン | 58.3b | 14.5b | 68.0bcd | 22.6def |
| ホッカイコガネ | 100a | 89.7a | 90.6ab | 34.8cde |
| 農林1号 | 100a | 90.9a | 100a | 36.4cde |
| シレトコ | 100a | 91.6a | 88.9abc | 38.7bcd |
| コナフブキ | 100a% | 83.2a | 98.5% | 39.2bcd |
| メークイン | 100a | 91.4a | 92.2ab | 42.1abc |
| エニワ | 100a | 92.4a | 95.9a | 43.6abc |
| 男しゃ薯 | 100a | 81.8a | 98.9a | 46.3abc |
| 紅丸 | 100a | 85.4a | 100a | 47.7abc |
| ハツフブキ | 100a | 81.3a | 99.5a | 51.3abc |
| タルマエ | 100a | 96.2a | 99.6a | 55.4ab |
| トヨシロ | 95.8a | 94.8a | 97.0a | 56.6ab |
| ワセシロ | 100a | 97.1a | 100a | 60.8 |
11.今後の問題点
1.病原放線菌の検出,定量法の開発,確立
2.発生生態の究明
3.防除法の確立(抵抗性品種の育成,微生物利用,有効農薬の探索,輪作・施肥など)
12.成果の取扱い
1.そうか病の発生生態からみて,粗大有機物の鋤込みや土壌pHなどに特に留意を要する。
2.品種ツニカおよびユキジロは,胞子鎖がらせん状および直〜波状の病原放線菌に対して他品種に比較し,強い抵抗性を示す。
3.種薯消毒は北海道農作物防除基準に従がって行なう。