|
1.課題の分類 2.研究課題名 道央多雪地帯における「チホクコムギ」の安定栽培に関する試験 〜栽培適地の拡大〜 3.期 間 昭和57〜60年 4.担 当 道立上川農試 畑作科 5.予算区分 総合助成 6.協力・分担 道立中央農試 畑作部畑作第一科 道立中央農試 病虫部発生予祭科 |
7.目 的
「チホクコムギ」について、道多雪地帯における安定生産地域の区分と栽培技術の検討と組立てを計る。
8.試験研究方法
1)越冬性向上に関する試験 播種期(3〜4)、品種(2)、窒素分施法(3)の分割区法4反復 1区9.6㎡
2)地域環境条件と越冬性に鋳する試験 実施場所5ケ所 播種期と窒素分施法による改善区と農家慣行区との比較 2反復 1区10〜20㎡
9.試験結果の概要
1) 越冬性向上に関する試験
「チホクコムギは「ホロシリコムギ」に比較して播種の早晩に拘わらず、雪腐病の発生は多かったが、9月5日以前の播種により、枯死茎はほとんどみられず、子実収量は「ホロシリコムギ」並か上回った。しかし、9月5日以降の播種では年によって異なり不安定性が増加し、10日以降では「ホロシリコムギjに比較して明らかに減収した。
窒素の分施法については、全窒素量が10kg/10aの範囲内では、各播種期とも基肥窒素を抑えて翌春の施用量を増加することにより子実収量は増加した。春施肥多用により倒伏等の障害には明らかな差はみられなかったが、子実中のタンバク含量は増加した。
2) 地域環境条件と越冬性に関する試験
北部の名寄では59年播種のような雪腐病の発生が多い条件では、9月5日播でも「ホロシリコムギ」に比較して若干減収したが、旭川ではほ場条件件に恵まれたこともあり、9月中旬播でも「チホクコムギ」が「ホロシリコムギ」の収量を上回った。反面、より南部に位置する美瑛では連作やトラクターの踏圧などのほか、傾斜地高台ほ場等の条件もあって「チホクコムギ」は「ホロシリコムギ」に比較して低収であり、また総体的に収量は低かった。さらに雪の条件の不良な士別市温根別などでは「チホクコムギ」は壊滅的な被害を受け、収量が皆無に近い年もみられた。
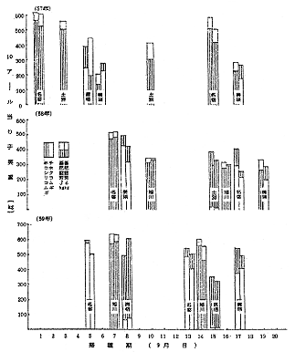
10.主要成果の具体的数字

注)○□△◇は「チホクコムギ」、●■▲◆は「ホロシリコムギ」
図1 播種期と雪腐病発病の関係

図2 栽培法(品種×播種期×窒素施肥法)による収量

図3 現地試験における栽培法と小麦の収量
11.栽培上の注意事項
1 「チホクコムギ」は「ホロシリコムギ」に比べて、雪腐大粒菌核病を除く各種雪腐病
に対する抵抗性が弱い。従って雪腐病防除を徹底し、あわせて融雪促進を必ず行なう
2 ほ場の停滞水がないよう排水に努める。
3 透排水性の悪いほ場では、褐色雪腐病が発生し易いので栽培はさける。
4 播種期は、道央中部では、9月上旬の中でできるだけ早めに、道央南郎では9月中旬
を目途とする。
5 越冬性を高めるため、施肥量は北海道施肥標準を守り、窒素の施肥割合は基肥を少なめとし春分施に重点をおく。
6 「ホロシリコムギ」に比べて、条斑病、うどんこ病および赤かび病に弱いので、防除を徹底する。
7 成熟期後の子実水分の乾滅が早いため、晩刈りの遭雨では低アミロ、穂発芽の危険性が高まるので、適期に収穫する。
8 本品種は粒質が他品種と異なるので、収穫、調整時に他品種と混合しない。
12 栽培適地
石狩、空知、上川(中・南都)、胆振、日高支庁管内の
平年融雪期が4月15日までの排水良好な地帯。

上川管内における根雪終が4月15日以前の地帯
注)北海道気象月報より
(昭和45〜59年の平均)
ただし、調査年数不足場所は当該年次間の比較から推定。