【指導参考事項】
完了試験研究成績
(作成 昭和63年1月)
|
1.課題の分類 総合農業 生産環境 土壌肥料 3-2-1 北海道 2.研究課題名 十勝畑作地帯における有機物連用の肥料的評価(土壌環境基礎調査、基準点) 3.予算区分 補助(土壌保全) 4.研究期間 (昭和51年〜62年) 5.担 当 十勝農試土壌肥料科 6.協力分担・関係 なし |
7.目 的
十勝畑作土壌を代表する火山性土壌において,一定輪作体系下での有機物(堆きゅう肥)の連年施用が土壌・畑作物(ばれいしょ,てん菜,豆(大豆),麦(春播小麦))に及ぼす影響を
検討し,各作物の反応性の差異を明らかにし,畑作における有機物管理に関する知見を得る。
8.試験研究方法
(1)試験ほ場 十勝農試ほ場(淡色黒ボク土)
(2)供試作物及び輪作順序 ばれいしょ→てん菜→大豆→春播小麦
(3)処理区別
① 化学肥料単用+収穫残さ持ち出し
② 化学肥料単用+収穫残さ持ち出し+堆きゅう肥1.5t/10a連用
③ 化学肥料+収穫残さ持ち出し+堆きゅう肥3.0t/10a連用
④ 化学肥料+収穫残さ還元
⑤ 化学肥料+収穫残さ還元+堆きゅう肥1.5t/10a連用
(4)試験規模 1区 150㎡ 1反復
9.結果の要約
(1)有機物(堆きゅう肥)無施用区では以下のようなことがみられた。
①熱水抽出性窒素でみる土壌窒素は化学肥料単用・残さ持ち出し区では減耗傾向であり,化学肥料単用・残さ還元区では維持傾向であった。
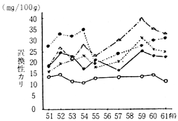
②土壌の置換性カリは化学肥料単用・残さ持ち出し区では維持傾向であり,化学肥料単用・残さ還元区では高まる傾向であった。
③残さ還元の効果は唯きゅう肥1.5t/10a程度と考えられた。
(2)有機物(堆きゅう肥)の連用により以下のことがみられた。
①土壌の置換性カリ,有効態りん酸は高まる傾向であった。また,有機物多量施用の場合全窒素・塩基置換用量の増加傾向がみられた。
②連用有機物(堆きゅう肥)由来窒素量は12年目で1tあたり1kg程度であった。
③有機物(唯きゅう肥)連年施用に対する各作物の反応性は次の通りであった。
| 作物 | 短期間(2〜3年)の反応 | 長期間の反応 |
| 春播小麦 | 増収 | 年次経過にともない増収傾向 |
| 大豆 | 増収 | 増収傾向鈍化 |
| てん菜 | 根重は増加、糖分は低下 | 根重は増大、糖分は低下傾向 |
| ばれいしょ | 塊茎重増大 でんぷん価低下 |
塊茎重の年次変動大 でんぷん価低下傾向 |
10.成果の具体的数字
表1 春播小麦の化学肥料単用区、残さ区に対する各区の収量比の分析
| 処理区 | 平均値 | 変動係数% | 回帰係数 |
| 堆肥1.5t区/化学肥料単用区 | 107 | 6 | -0.6 |
| 堆肥3.0t区/ 〃 | 112 | 11 | +0.1 |
| 残さ区/ 〃 | 106 | 9 | +1.1 |
| 残さ+堆肥区/残さ区 | 106 | 8 | -0.5 |
表2 大豆の化学肥料単用区、残さ区に対する各区の収量比の分析
| 処理区 | 平均値 | 変動係数% | 回帰係数 |
| 堆肥1.5t区/化学肥料単用区 | 105 | 6 | +0.2 |
| 堆肥3.0t区/ 〃 | 109 | 7 | +0.2 |
| 残さ区/ 〃 | 105 | 5 | -0.2 |
| 残さ+堆肥区/残さ区 | 101 | 7 | +0.5 |
表3 てん菜の化学肥料単用、残さ区に対する各区の根重比、糖分差、茎葉重比の分析
| 処理区 | 根重比 | 糖分差 | 茎葉重比 | |||||
| 平均値 | 変動係数 | 回帰係数 | 平均値 | 回帰係数 | 平均値 | 変動係数 | 回帰係数 | |
| 堆肥1.5t区/化学肥料単用区 | 107 | 9% | +0.1 | -0.30 | -0.01 | 115 | 10% | +0.8 |
| 堆肥3.0t区/ 〃 | 112 | 7 | +0.6 | -0.82 | -0.06 | 133 | 15 | +2.9 |
| 残さ区/ 〃 | 106 | 8 | -0.8 | -0.25 | -0.01 | 112 | 14 | -0.6 |
| 残さ+堆肥区/残さ区 | 109 | 10 | +0.1 | -0.54 | -0.05 | 113 | 11 | +1.1 |
表4 ばれいしょの化学肥料単用区、残さ区に対する各区の塊茎重比、でんぷん価差の分析
| 処理区 | 塊茎重比 | でんぷん価差 | |||
| 平均値 | 変動係数% | 回帰係数 | 平均値 | 回帰係数 | |
| 堆肥1.5t区/化学肥料単用区 | 99 | 9 | +0.2 | -1.37 | -0.08 |
| 堆肥3.0t区/ 〃 | 100 | 20 | -0.1 | -2.16 | 0.06 |
| 残さ区/ 〃 | 99 | 12 | -0.5 | -0.92 | -0.07 |
| 残さ+堆肥区/残さ区 | 100 | 20 | -0.1 | -0.54 | -0.08 |

図 土壌の熱水抽出性窒素の推移

図 土壌の置換性カリの推移
表5 有機物連用12年後におけるてん菜無窒素栽培の
窒素吸収量及び有機物由来窒素量
| 処理区 | 窒素吸収量(kg/10a) | 有機物由来窒素量(kg/10a) |
| 1.化学肥料単用区 | 2.8 | - |
| 2.堆肥1.5t区 | 4.6 | 1.8 |
| 3.堆肥3.0t区 | 6.1 | 3.3 |
| 4.残さ区 | 3.1 | 0.3 |
| 5.残さ+堆肥区 | 6.1 | 3.0 |
11.成果の活用面と留意点
(1)本試験は淡色黒ボク土で得られた成果であるが有機物施用に対する基本的考え方は他土壌でも適応できると考えられる。
(2)有機物施用に伴うりん酸,カリ施肥対応は土壊診断に基づいて行う。
12.残された問題
(1)さらに長期的な有機物連用の評価
(2)土壌の物理性,微生物性でみた有機物連用の意義
(3)土壌窒素診断基準の確立