【指導参考事項】
(作成昭和63年1月)
|
1.課題の分類 総合農業 生産環境 病害虫 病害 Ⅱ-1 野菜 野菜 病害虫 病害 ユリ 病害 北海道 病理昆虫 病害 ユリ 園芸 2.研究課題名 ユリウイルス病の種類とその簡易検定法に関する試験 (組織培養によるウイルスフリー化対策試験) 3.予算区分 道費 4.研究期間 (昭58〜62年) 5.担 当 中央農試病虫部病理科 6.協力・分担関係 中央農試園芸部 植物遺伝子源センター |
7.目 的
道内に発生するユリウイルス病の種類を明らかにし、その簡易検定法を開発する。
8.試験研究方法
1)ウイルス病の発生実態と病原ウイルスの分離・同定
対象ユリ:食用ユリ、花ユリ
調査場所:乙部、真狩、栗山、芦別、富良野、美瑛、新得
ウイルスの同定:接種試験、免疫電顕法
2)ウイルス簡易検定法の開発と利用
病原ウイルスの純化と抗血清の作出、エライザ法の開発、エライザ法利用によるウイルス検定(葉、種球)
3)農業資材利用によるウイルス病感染防止試験
9.結果の概要・要約
1)(1)道内に発生するユリウイルス病の病徴は大別するとモザイク症状とエソ条斑症状が認められた。モザイク症状の軽症株は病徴が弱く、生理障害との判別が困難であった。
(2)道内における食用ユリウイルス病の発生実態を調査した結果、寒冷沙被覆による隔離栽培を行った採種ほでは発生が少なかったが、一般ほでは全般に多かった。(表1)
(3)道内における花ユリウイルス病の発生実態を調査した結果、採種ほ、一般ほとも全般に少なかったが、なかには高い発病株率を示す品種も認められた。
(4)道内各地の食用ユリ、花ユリから接種法、免疫電顕法などによりウイルスの検出を行った結果、キュウリモザイクウイルス(CMV)、ユリ潜在ウイルス(LSV)、チューリップモザイクウイルス(TBV)のチューリップ系(T)、ユリ系(L)の3種2系統が発生していることが明らかになった。
2)(1)ユリ病原ウイルス3種2系統のウイルスの純化と抗血清の作出を行った結果、CMVの場合、罹病葉1㎏から約47㎎のウイルス、力価4,096倍の抗血清、LSVの場合、罹病葉1kgから約3.5㎎のウイルス、力価512倍の抗血清、TBV-Lの場合、罹病葉1kgから約11㎎のウイルス、力価2,048倍の抗Im清をそれぞれ作出したが、TBV-Tの場合、ウイルスの純化に必要な供試材料が少なく抗血清を作出できなかった。しかしながらTBV-T抗血清はウィルスの純化材料が確保できれば作出可能である。
(2)CMV、LSV、TBV-T(オランダから分譲)各抗血清を用いたエライザ検定は接種検定に比べ10〜100倍、電顕法に比べ同等〜100倍ウイルスの検出精度が高く、ユリウイルス病の簡易検定法として実用的であった。(表2)
(3)エライザ法を用いて2、3の試験を行った。道内各地の食用ユリ、花ユリからウイ
ルスの検出を行った結果、CMV、LSV、TBV-Tは道内に広く発生し、その発生量も多かった。これに対し、TBV-Lは一部の地域で発生が認められた。食用ユリではCMV、花ユリではLSVが最も多く発生していた。(表3、表4)
(4)食用ユリ、花ユリの病徴(モザイク、エソ条斑)を示した株からはほぼ100%ウイルスが検出されたのに対して、無病徴株からも高い割合でウイルスが検出された。従ってユリのウイルス病は病徴による判定が難しく、病徴のみで感染の有無やその種類を判別することが困難である。(表5、表6)
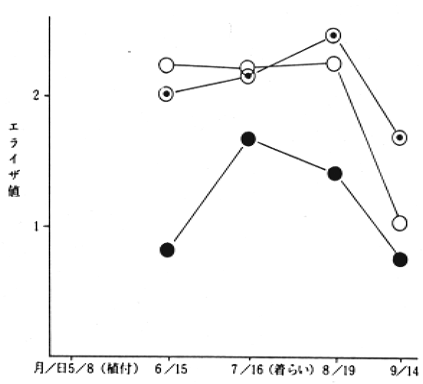
(5)ほ場で生育中の食用ユリおよび花ユリ葉中のウイルス濃度を調べた結果、CMVおよびTBV-Tの場合、生育中期頃まで増加した後減少した。これに対してLSVは生育中期頃までウイルス濃度に大きな変化は認められず、生育後期に減少した。(図1)
(6)ウイルス保毒食用ユリ球のりん片からウイルスの検出を行った結果、CMVおよびLSVの場合、生体重の1,250倍希釈、TBV-Tの場合生体重の250倍希釈まで検出できた。
(7)ウイルス保毒食用ユリ球の全てのりん片からウイルスの検出を行った結果、LSV感染ユリ球の場合全てのりん片から検出されたのに対して、CMVおよびTBV-T感染ユリ球の場合、検出されなかったりん片が数多く認められた。
(8)りん片の位置とウイルス濃度との関係を調べた結果、CMVおよびLSVは外部および芯に近いりん片のウイルス濃度が高く、中間に位置するりん片のそれは低い値を示す傾向が認められた。これに対してTBV-Tは全体的にウイルス濃度が低く判然としなかった。(図2) (9)ほ場で自然感染した食用ユリ罹病株のりん片からウイルスの検出を行った結果、CMVおよびLSVの場合、りん片の外部および芯のいずれを用いてもウイルスの検出が可能であった。これに対してTBV-Tはりん片体内のウイルス濃度が低く、検出されなかった例も認められたので今後さらに検討する必要がある。(表7)
3)(1)本試験条件下ではムシコン、シルバーテープ利用およびエチルチオメトン粒剤処理は無処理とウイルス病の発生に大差がなかった。
(2)ウイルスフリー球でも栽培環境によっては、栽培初年目からウイルス病に高く汚染されるので、採種栽培の場合、寒冷沙による隔離が必要である。(表8)
(3)ユリ病原ウイルスのうち、TBV-TおよびCMVはアプラムシにより伝搬され易くLSVは伝搬され難かった。(表8)
10.成果の具体的数字
表1 食用ユリウイルス病発生実態調査
| 年次 | ほ場 | 品種 | 場所 | 調査 ほ場数 |
発病株率(%) | |
| モザイク | エソ条斑 | |||||
| 昭和59年 | 採種 | 白銀 | 栗山 | 1 | 0 | 0 |
| 一般 | 白銀 | 栗山 | 2 | 2.0 | 1.5 | |
| 昭和60年 | 採種 | 白銀 | 栗山 | 1 | 0 | 0 |
| 一般 | 白銀 | 栗山 | 1 | 4.5 | 0 | |
| 昭和60年 | 採種 | 白銀 | 乙部 | 1 | 1.0 | 0 |
| 栗山 | 2 | 0 | 0 | |||
| 芦別 | 1 | 1.0 | 0 | |||
| 富良野 | 2 | 0 | 0 | |||
| 美瑛 | 1 | 1.0 | 0 | |||
| 新得* | 1 | 30.0 | 0 | |||
| 夕映 | 乙部 | 1 | 0 | 0 | ||
| 和寒ユリ | 〃 | 1 | 50.0 | 0 | ||
| 一般 | 白銀 | 乙部 | 3 | 13.3 | 0.7 | |
| 真狩 | 9 | 3.9 | 0.1 | |||
| 栗山 | 2 | 0.5 | 0 | |||
| 芦別 | 1 | 10.0 | 0 | |||
| 富良野 | 10 | 27.0 | 0 | |||
| 美瑛 | 8 | 16.7 | 0.1 | |||
| 新得 | 2 | 70.0 | 0 | |||
| 夕映 | 美瑛 | 1 | 20.0 | 0 | ||
| 芦別ユリ | 新得 | 1 | 90.0 | 0 | ||
表2 エライザ検定および接種検定によるCMVの検出
| 検定法 | 粗汁液の希釈倍数 | ||||||
| 101 | 102 | 103 | 104 | 105 | 106 | 107 | |
| エライザ法 | + | + | + | + | + | ± | - |
| 接種法 | + | + | + | - | - | - | - |
表3 食用ユリからの病原ウイルスの検出
| 場所 | 検定数 | 検出数(率) | |||
| CMV | LSV | TBV-T | TBV-L | ||
| 乙部町 | 28 | 17(61) | 10(36) | 21(75) | 12(43) |
| 真狩村 | 43 | 40(93) | 30(70) | 15(35) | 0(0) |
| 栗山町 | 38 | 31(82) | 7(18) | 22(58) | 0(0) |
| 芦別市 | 13 | 12(92) | 9(69) | 0(0) | 0(0) |
| 富良野市 | 32 | 26(81) | 3(9) | 19(59) | 0(0) |
| 美瑛町 | 18 | 12(67) | 3(17) | 9(50) | 2(11) |
| 新得町 | 19 | 18(95) | 3(16) | 5(26) | 0(0) |
| 合計 | 191 | 146(76) | 65(34) | 91(48) | 14(7) |
表4 花ユリからの病原ウイルスの検出
| 場所 | 検定数 | 検出数(率) | |||
| CMV | LSV | TBV-T | TBV-L | ||
| 真狩村 | 48 | 26(54) | 46(96) | 2(4) | 3(6) |
| 栗山町 | 18 | 2(11) | 9(50) | 0(0) | 0(0) |
| 芦別市 | 18 | 6(33) | 8(44) | 4(22) | 0(0) |
| 合計 | 84 | 34(40) | 63(75) | 6(7) | 3(4) |
表5 食用ユリの病徴別によるウイルス検出
| 病徴 | 検定数 | 検出数 (率) |
病原ウイルス別割合(率) | |||||||||||
| C | T | L | TL | C + T |
T + L |
C + L |
C + T + L |
C + TL |
C + L + TL |
T + TL |
C + T + L + TL |
|||
| モザイク | 101 | 101 (100) |
13 | 6 | 2 | 0 | 36 | 1 | 23 | 13 | 2 | 0 | 0 | 4 |
| エソ条斑 | 10 | 10 (100) |
0 | 0 | 0 | 0 | 20 | 0 | 10 | 20 | 10 | 20 | 10 | 10 |
| なし | 55 | 47 (85) |
51 | 4 | 0 | 4 | 7 | 7 | 17 | 10 | 0 | 0 | 0 | 0 |
表6 花ユリの病徴別によるウイルス検出
| 病徴 | 検定数 | 検出数 (率) |
病原ウイルス別割合(率) | ||||||||
| C | T | L | C + T |
T + L |
C + L |
C + TL |
C + T + L |
C + L + TL |
|||
| モザイク | 29 | 28 (97) |
4 | 4 | 35 | 4 | 4 | 39 | 4 | 4 | 4 |
| なし | 48 | 35 (73) |
9 | 0 | 51 | 0 | 0 | 37 | 0 | 3 | 0 |

図1 食用ユリ(白銀)生育期間中におけるウイルス濃度
●-●CMV ○-○LSV ◎-◎TBV-L
表7 ほ場において自然感染した食用ユリりん片のエライザ検定
| 試料 番号 |
葉のエライザ検定 | りん片のエライザ検定 | ||||||
| CMV | LSV | TBV-T | CMV | LSV | TBV-T | |||
| 外部 | 芯 | 外部 | 外部 | 芯 | ||||
| 1 | + | - | + | + | + | - | - | + |
| 2 | + | - | + | + | + | - | - | - |
| 3 | + | - | + | + | + | - | + | + |
| 4 | + | + | + | + | + | + | - | + |
| 5 | + | + | + | + | + | + | - | + |
| 6 | + | + | + | + | + | + | - | + |
| 7 | - | + | - | - | - | + | - | - |
| 8 | + | - | + | + | + | - | + | + |
| 9 | + | - | - | + | + | - | - | - |
| 10 | + | - | - | + | + | - | - | - |
| 11 | + | - | + | + | + | - | - | + |
| 12 | - | - | - | - | - | - | - | - |
| 13 | - | - | - | - | - | - | - | - |
表8 農業資材利用によるユリウイルス病の感染防止試験
感染源の発病株率33.5%、エライザ検定による検出率
| 処理 | 7月16日 | 8月19日 | ||||||
| 発病 株率 (%) |
エライザ検定による検出率(%) | 発病 株率 (%) |
エライザ検定による検出率(%) | |||||
| CMV | LSV | TBV-T | CMV | LSV | TBV-T | |||
| ムシコン シルバーテープ |
0 | 0 | 0 | 0 | 2.0 | 25.0 | 0 | 55.0 |
| 土壌施用 | 0 | 5.0 | 0 | 5.0 | 1.5 | 30.0 | 10.0 | 40.0 |
| 無処理 | 0 | 0 | 0 | 5.0 | 1.5 | 15.0 | 0 | 25.0 |

図2 LSV保毒ユリ球のりん片の位置とウイルス濃度
●-●2次感染ユリ球 ★-★1次感染ユリ球
○-○健全球 ☆-☆健全球
11.成果の活用面と留意点
1)道内に発生するユリの病原ウィルスとしてキュウリモザイクウイルス(CMV)、ユリ潜在ウイルス(LSV)、チューリップモザイクウイルス(TBV)の2系統(チューリップ系、ユリ系)が存在し、このうちCMV、LSV、TBVのチューリップ系(T)は道内各地に広く発生し、その発生量も多かった。
2)ユリのウイルス病は無病徴感染も多く、また病徴が出現している場合でもその種類の識別は困難である。
3)ウイルス病の簡易検定法としてエライザによる診断法を確立した。
4)エライザ法によりユリの葉および種球(TBVを除く)のウイルス検定が可能になった。
葉の検定時期としては、最もウィルス濃度の高い7月中旬〜8月上旬が望ましい。また種球を検定する場合、検定部位として種球外部または芯部のりん片をそれぞれ数枚使用することが重要である。
12.残された問題とその対応
1)ウイルス媒介アブラムシの発生生態と伝搬能力
2)ウイルス病発生環境の解明