【指導参考事項】
成績概要書 (作成 平成9年2月)
|
課題の分類 北海道 生産環境 土壌肥料− 北海道 生産環境 病害虫 研究課題名:土壌pH調整、土壌水分管理によるジャガイモそうか病の軽減対策 (ジャガイモそうか病総合防除法開発試験 Ⅱ土壌環境改善による発病抑制技術の開発) 予算区分:受託 受託担当科:十勝農試研究部土壌肥料科、病虫科 北見農試研究部土壌肥料科 試験期間:平6〜8年度 協力・分担関係:十勝農試そうか病プロジェクトチーム |
1.目的
ジャガイモそうか病を軽量させるために、土壌pH低下対策における、資材、目標pH、後作への影響、残効などについて問題点の検証と技術の深度化を図ると共に、資材施用時の実効的なかん水手法を確立する。
2.方法
土壌酸度調整資材施用による対策試験:資材はフェロサンドと硫酸パンドを使用。現地圃場では全面施用及び作条施用の抑制効果を検討。一部圃場においては後作への影響を調査。農試圃場及び枠圃場では2資材が作物及び土壌に及ぼす影響を調査。また現地圃場及びポットで残効性確認試験を実施。土壌水分管理による対策試験:かん水のみあるいは資材との併用による抑制効果を露地及び雨よけハウスにおいて検討。
かん水を行う時期、開始点、かん水量、機材などについて試験を実施。
3.結果の概要
土壌酸度調整資材施用による対策試験
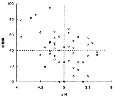
1)現地試験では資材の全面施用の場合、施用量の増加に伴って発病抑制効果が高まり、pH5.0以下となった処理区の60%で発病度が20以上低下し、防除価も40を上回った。
2)フェロサンドと硫酸バンドともに同量の施用量で同程度に土壌pHおよび有効態リン酸を低下、y1を上昇させる。そうか病抑制効果に資材間の差は認められなかった。
3)資材の施用によりpHが4.7〜4.8程度に低下してもぱれいしょの収量、品質に影響はなかった。また表層10㎝への資材の施用によりほぼ培土全体のpHが低下した。一方、pHが4.5以下になる場合は萌芽遅延を引き起こし、収量や品質を低下させ、養分含有率にも影響を及ぼした。
4)資材を施用した圃場でもばれいしょ収穫後の耕起(プラウイング)によりpHが高まれば、後作への影響はほとんどないと推定される。ただし資材施用当年のpHが4.7以下では、耕起してもpHが高まらない場合があり、後作への影響が若干懸念される。
5)資材の作条施用は効果が不安定であるが、資材量を減らす観点から施用法を改良した新たな作条処理を検討する必要がある。
6)資材の発病抑制効果はプラウインクによるpHの上昇がなければ持続すると推定される。
7)発病抑制効果、ばれいしょ収量、後作への影響を勘案して資材の施用目標値をpH5.0とした。
資材施用対象土層は表層10㎝とし、培養試験による緩衝曲線に基づいて資材施用量を算出する。
土壌水分管理による対策試験
1)かん水のみによる発病抑制効果は気象条件によって左右され、土壌の乾燥が続く条件では、かん水による防除効果が高かった。また、かん水のみでは土壌pHを低下させなかった。
2)資材施用とかん水の併用は、それぞれ単独より高い効果を示した。この要因の一つは、培土時期までのかん水により、土壌pHをより確実に低下させることができるためと考えられた。
3)かん水を行う場合は、早い時期からpHを低下させた方が、効果的に発病を抑制できる。そのため萌芽期に一度に25㎜以上の多量かん水を行うことが有効である。かん水期問は、7月末までで十分であり、8月以降のかん水は不要と推察された。
4)上記のかん水期間におけるかん水開始点は、従来通りPF2.3で間題はないと推察され、PF測定位置は従来通り深さ15㎝とする。また、かん水量は1回10mmで十分と思われた。
5)かん水時に、茎葉の上からかん水する機材(レインガン、スブリンクラー、吹き上げ型チューブなど)を用いても、疫病などの病害発生増加は見られず、これら機材の使用が可能と推察される。

図-1 現地試験における処理区のpHと防除価の関係

図-2 資材及びかん水処理区のpH推移
表-1 2資材の比較(収穫時)
| 発病度 | 防除価 | pH | トルオーグ リン酸 |
|
| 対照 | 43 | - | 5.6 | 23.3 |
| フェロサンド | 21 | 44 | 5.1 | 20.8 |
| 硫酸バンド | 26 | 40 | 5.1 | 20.6 |
表-2 資材施用当年のpHと後作の収量指数
| 施用当年の pH |
後作の収量指数 | |||
| 75以下 | 76〜85 | 86〜95 | 96以上 | |
| 5.4以上 | 1 | 1 | ||
| 5.3〜5.1 | 1 | 5 | ||
| 5.0〜4.8 | 11 | |||
| 4.7以下 | 2 | 1 | 4 | 4 |
表-3 資材併用によるかん水の発病抑制効果
| 発病度 | ばれいしょ 収量(t/10a) |
pH (7月) |
|
| 無処理 | 52 | 5.40 | 5.5 |
| かん水のみ | 46 | 4.94 | 5.6 |
| フェロサンドのみ | 30 | 5.51 | 4.7 |
| フェロサンド+かん水 | 16 | 5.13 | 4.6 |
| 硫酸バンドのみ | 37 | 5.43 | 4.6 |
| 硫酸バンド+かん水 | 22 | 5.24 | 4.5 |
4.成果の活用面と留意点
1)本成績はジャガイモそうか病の当面の軽減対策である。
2)資材施用による発病抑制効果には限界があるので、発病いも率15%程度を目標とすれば、発病いも率30%程度以下の圃場で本成績は活用可能である。なお作土のpHが5.5以下の圃場への資材の施用は避ける。
3)施用する資材は、特殊肥料として登録のある「フェロサンド」を用いる。
4)かん水のみでは軽滅効果は不安定であるので、資材を併用する。かん水にあたっては圃場にテンシオメータを設置してかん水開始を判断し、生育初期では水滴の小さくなる機材やヘッドを用いる。また、かん水後は病害発生に特に注意する。
5)ぱれいしょ収穫跡地は、作土としてのpHの回復を図るためプラウによる耕起を行う。
5.残された間題点
1)作土のpHが5.5以下の圃場での発病軽滅対策
2)土壌中のアルミニウムイオン濃度と発病の関係およぴアルミニウムイオン濃度規制要因の解明
3)フェロサンド反復施用におけるFe蓄積の作物に対する長期的影響
4)多発圃場における軽滅対策