成績概要書 (作成平成12年1月)
| 課題の分類 北海道生産環境土壌肥料 研究課題名:衛星リモートセンシングを利用した米粒タンパク含有率区分図の作成 (米の理化学成分の変動要因解析と良食味米生産マニュアル作成) 予算区分:道費 研究期間:平成11〜15年 担当科:中央農試環境化学部土壌資源科 協力分担関係:長沼町 長沼農業協同組合,北海道米食味分析センター |
1.目的
衛星リモートセンシングを利用して米粒タンパク含有率を推定し、区分図を作成する手法を開発して、良食味米生産を支援する。
2.方法
1)市町村を単位とした正規化植生指数(NDVI)と米粒タンパク含有率の関係
1992年・1993年・1995年の水稲成熟期(9月)に取得された石狩川下流域の衛星データから算出した市町村別NDVIと、北海道食味分析センターで測定された市町村別米粒タンパク含有率との関係を検討した。
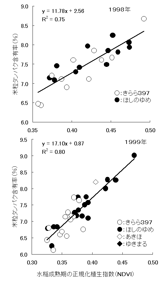
2)圃場における正規化植生指数(NDVI)と米粒タンパク含有率の関係
夕張郡長沼町を対象として、1998年・1999年の水稲成熟期(9月)に取得された衛星データから算出したNDVIと、長沼町内に設置した現地圃場(1998年24圃場・1999年33圃場)で実測した米粒タンパク含有率との関係を検討した。
3)米粒タンパク含有率区分図の作成
衛星データから米粒タンパク含有率区分図を作成する手法を検討した。
3.結果の概要
1)本道の主要な稲作地帯である石狩川下流域を対象として1992年・1993年・1995年の3ヶ年について、水稲成熟期の正規化植生指数(NDVI)と市町村別の平均米粒タンパク含有率との関係を検討したところ、両者の間にはいずれの年次についても高い正の相関があり、NDVIが大きくなるほど米粒タンパク含有率が高くなる傾向にあった(表1)。
2)大規模水田が広く分布する夕張郡長沼町において1998年・1999年に、水稲成熟期に衛星観測を行い、現地の調査圃場(1998年24圃場・1999年33圃場)で実測した米粒タンパク含有率との関係を検討したところ、石狩川下流域で得られた傾向と同様に、水稲成熟期のNDVIと米粒タンパク含有率との間には正の相関があり、衛星データを用いて個々の圃場の米粒タンパク含有率の推定が可能であった(図1)。
3)水稲移植〜幼穂形成期(5月下旬〜7月上旬)の衛星データから水田を判別し、成熟期(8月下旬〜9月上旬)の衛星データを利用して米粒タンパク含有率を推定することにより、米粒タンパク含有率区分図を作成する事ができた(図2)。
表1 水稲成熟期の正規化植生指数(NDVI)と米粒タンパク含有率・統計収量との相関係数
|
年次 |
観測日 |
センサ |
市町 |
米粒タンパク |
統計収量と |
出穂期 (空知) |
成熟期 (空知) |
作況指数 (空知) |
|
1992 |
9月14日 |
TM |
23 |
0.87** |
-0.57** |
8月12日 |
10月 4日 |
93 |
|
1993 |
9月2日 |
MESSR |
24 |
0.84** |
-0.78** |
8月 7日 |
9月26日 |
47 |
|
1995 |
9月23日 |
TM |
23 |
0.81** |
-0.22 |
8月 2日 |
9月22日 |
103 |

図1 水稲成熟期の正規化植生指数(NDVI)と米粒タンパク含有率の関係
(1998年・1999年、長沼町)

図2 衛星リモートセンシングを利用した米粒タンパク含有率区分図
(1998年 長沼町一部) ©CNES,1998,SPOT,NASDA®による処理
4.成果の活用面と留意点
1)本成果の当面想定されるユーザーは、市町村などの行政機関や農協などの団体である。
2)得られた米粒タンパク含有率区分図は、①改善技術を導入する圃場の選定、②各種栽培管理技術の評価、③米の分別集荷等に利用可能である。
3)本成績は移植栽培の「きらら397」および「ほしのゆめ」を対象として検討したものであるが、他品種についても検証を行うことにより利用可能と考えられる。
5.残された問題とその対応
1)他品種、直播などの著しく異なる栽培体系への対応