成績概要書 (2006年1月24日作成)
|
課題分類 : 担当部署 :十勝農試 生産研究部 栽培システム科 |
1.目 的
吸水材として成形バレイショデンプンを利用した菜豆類の混合乾燥における乾燥特性を明らかにするとともに,この乾燥方式を利用した乾燥装置の開発・実用化を検討する。
2.方 法
混合乾燥は,デンプンを吸水材として菜豆類と混合堆積し,通風は行わずに,受入水分(16〜18%程度)まで乾燥する(図1)。混合乾燥終了後,吸水したデンプンは熱風乾燥して再利用する。
1)小容量容器における混合乾燥特性(十勝農試)
(1)試験場所 十勝農試
(2)供試品種 「大正金時」,「福勝」,「雪手亡」
(3)混合比 1:1(重量比)
(4)使用容器 プラスチック容器,円筒塩ビパイプ(堆積高さ60,80,100cm)
(5)恒温器温度10,15,20,30℃
(6)デンプン水分 3〜12%
(7)調査項目 水分経過,乾燥速度,子実組成,加工適性
2)実規模混合乾燥試験(サタケ,十勝農試,供試装置は図2)
(1)混合乾燥
①試験場所 更別村 ②供試品種,混合比は1)と同様 ③使用容器 メッシュコンテナ(約2m3) ④調査項目 水分経過,乾燥速度,子実組成,加工適性
(2)リサイクル乾燥
①乾燥法 連続流下式熱風乾燥 ②調査項目 デンプン水分,温湿度,乾燥速度,電力消費量,LPG消費量
(3)繰り返し使用後の物性,汚れ程度
①供試デンプン 未使用品,H15年使用品,H15-16年使用品 ②調査項目 粒度分布,剛度,一般生菌数,大腸菌群,耐熱性菌数,真菌数
3.結果の概要
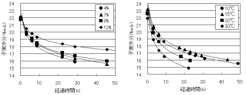
1)菜豆子実と成形バレイショデンプンの混合乾燥では,恒温器内温度が高いほど,またデンプンの初期水分が低いほど子実水分の低下は速やかであった(図2)。
子実初期水分,デンプン初期水分と外気温を考慮した,目安となる乾燥所要時間を明らかにした(図3)。
2)子実とデンプンとを重量比1:1で目標水分18%以下まで混合乾燥する場合,子実初期水分が26%以下,デンプン初期水分が6%以下であれば,常温通風乾燥よりも短時間で乾燥で
きる(表1)。乾燥終了時のデンプン水分は13%程度であった。
3)堆積高さ100cmまでの混合乾燥が可能であり,単位面積当たりの処理量は常温通風乾燥と同程度以上で,撹拌が必要なく省力的である(表2)。
4)デンプン初期水分が5〜6%であれば,混合乾燥子実の吸水,煮熟特性は対照の常温通風乾燥子実と比較して大差はなく,製品評価は良好であった(表3)。
5)デンプンのリサイクル乾燥のために,送風温度100℃程度,風量比12m3/s・t程度の送風条件で,デンプン水分を13%から5〜6%まで調整するのに必要な時間は,乾燥が約9時間,
クーリングが約1時間,合計約10時間であり,一時貯蔵時の結露や著しい水分上昇はなかった(表4)。デンプンをリサイクル乾燥する場合の燃料効率は4〜6kg/kgLPG,積算電力量
は8.1kWhであった。
6)汚れ指数2以上の子実は,混合乾燥において指数が1程度低下し,乾燥と同時に汚れの低減が可能である。
7)13回の繰り返し使用では,未使用品と比較して粒度は細かくなるが,剛度の低下はなかった。また,デンプンの汚れ程度(細菌数)は,12回の繰り返し使用で増加することはなく,未使
用品と同程度であった(表5)。

図1 混合乾燥概要
図2 経過時間と子実水分

図3 乾燥時間の目安




4.成果の活用面と留意点
1)乾燥調製施設における菜豆類の集約的・計画的な乾燥に利用できる。
2)混合乾燥における子実初期水分は26%以下とする。デンプンの初期水分は5〜6%とし,品温を十分下げてから使用する。
5.残された問題とその対応
1)成形バレイショデンプンの繰り返し使用限界
2)他の豆類(大豆,高級菜豆,小豆)での利用可能性