成績概要書(2007年1月作成)
|
研究課題:環境保全と良質粗飼料生産のための乳牛飼養可能頭数算定法 担当部署:根釧農試・草地環境科、上川農試・天北支場、畜試・畜産環境科 |
1.目的
環境保全と良質粗飼料生産を両立した酪農経営規模の指標を示すため、不必要な養分を施用せず、良質粗飼料生産を確保するふん尿主体施肥設計法を根拠とし、作目や草地区分ごとに、乳牛1頭当たりのふん尿還元必要面積を設定することにより、酪農家が各自の飼養可能頭数を知るための算定法を提示する。
2.方法
1) 北海道における乳牛飼養頭数とふん尿還元可能農地面積の実態
2) 乳牛飼養可能頭数の算定法
3) 乳牛飼養可能頭数の算定例
3.成果の概要
1) 北海道の40%の酪農家はふん尿還元困難な圃場を有しており、その圃場面積は各経営面積の平均30%程度と見積もられた。この結果、ふん尿還元困難な圃場面積は、全調査酪農家
における経営面積の約13%を占めた。
2) ふん尿還元が困難な理由は圃場が遠隔地にあることが最も多く、急傾斜地であることがこれに次いだ。ふん尿還元が困難な理由の80-90%は両者のいずれかに属した。したがって、コ
ントラクタ等作業請負機関の活用による遠隔地へのふん尿還元は、最も重要で優先度の高い改善対策である(表1)。
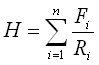
3) 酪農家の乳牛飼養可能頭数H(成牛換算、頭)を次のように算定する。
ふん尿還元可能な圃場に対し、各圃場面積を、乳牛における排泄量の原単位(表2)と肥効率および北海道施肥標準によって設定された乳牛1頭当たりのふん尿還元必要面積(表3)で除
し、圃場ごとの乳牛飼養可能頭数を得る。各圃場の乳牛飼養可能頭数を積算して、その酪農家の乳牛飼養可能頭数H(頭)とする(式1)。なお、放牧牛を有する場合、まず、放牧牛用の
草地面積として、放牧草地面積(0.5ha/頭×放牧頭数HG)と放牧牛用の採草地面積(0.2〜0.3ha/頭×放牧頭数HG)を求める。次に、全草地面積から放牧牛用の草地面積を差し引き、
上記の計算を行う。この時得られた乳牛飼養可能頭数Hは、放牧頭数HGを除く頭数である(図1)。
(式1)
ここで、nはふん尿還元可能な圃場数、Fiはふん尿還元可能な圃場ごとの面積(ha)、Riはその圃場に対応する乳牛1頭当たりのふん尿還元必要面積(ha/頭)。
4) 上記の乳牛飼養可能頭数を超過した酪農家に対しては、①コントラクタ等作業請負機関の活用による遠隔地等ふん尿未還元農地へのふん尿還元、②作付け等土地利用法の再検
討、③新たな土地の取得、④ふん尿の周辺農家等系外への搬出、⑤飼養頭数の削減などの対策を提示できる。
以上のように、ふん尿主体施肥設計法に基づき、環境保全と良質粗飼料生産を両立した酪農経営規模の指標となる乳牛飼養可能頭数の算定法を提示した。

![]() |
あああああ | ![]() |

4.成果の活用面と留意点
1) 本成果は個々の酪農場が耕地面積と飼養頭数の関係を適正化するための指標となる。
2) 本算定法には揮散等の養分損失をほとんど見込んでいない。
3) 草地の草種構成や土壌の化学性等の変化に対応した毎年の土地管理に対しては、北海道施肥ガイド等既存の施肥対応技術を活用する。
4) 水系に隣接するなど、環境に対する脆弱性を有する圃場に対しては、緩衝帯の設置など既往の留意事項を遵守し、ふん尿還元圃場面積を無理に確保しないよう配慮する。
5.残された問題点とその対応
北海道施肥ガイド、日本飼養標準等の見直しに対応した改訂