はじめに
  北海道日本海側で拡大しつつある磯焼けが持続する要因として,キタムラサキウニによる有用海藻(ホソメコンブ等)の幼芽への過剰な摂食,すなわち食害が挙げられます。1年生海藻であるホソメコンブの幼芽の時期は1月~3月くらいまでの冬の間ですので,この時期にウニの食害から守られればホソメコンブは春から群落を形成し,磯焼けが解消されると考えられます。
キタムラサキウニは波当たりが強い(海底では行ったり来たりする流れが速い)と餌を食べることができなくなることが実験から明らかとなっています。2004年,北海道は寿都町美谷地区にウニ増殖場を造成することとなりましたが,この現象を活用するために,コンクリートブロックと石材で作られる礁の上面,天端(てんばと読みます)面の水深を浅くした礁を作りました(図1)。水深が浅いところでは,小さな波でも波高が高まり,それに伴って海底の流れが速くなることで,ウニの食害を防ぐことができると考えたからです。通常のウニ増殖場の礁より天端が高くなっていることから,嵩上げ礁と呼ばれています。
 
		キタムラサキウニは波当たりが強い(海底では行ったり来たりする流れが速い)と餌を食べることができなくなることが実験から明らかとなっています。2004年,北海道は寿都町美谷地区にウニ増殖場を造成することとなりましたが,この現象を活用するために,コンクリートブロックと石材で作られる礁の上面,天端(てんばと読みます)面の水深を浅くした礁を作りました(図1)。水深が浅いところでは,小さな波でも波高が高まり,それに伴って海底の流れが速くなることで,ウニの食害を防ぐことができると考えたからです。通常のウニ増殖場の礁より天端が高くなっていることから,嵩上げ礁と呼ばれています。
嵩上げ礁の効果調査
  礁の完成後の2005年から中央水産試験場では,このウニ増殖場の調査を継続しています。簡単に結果を述べますと,2005年から2008年くらいまでは計画通りホソメコンブが群落を形成し,ウニは出来たホソメコンブに群がって身入りを良くしていました(図2)。しかし2009年頃からコンブの量が減少し,2011年にはほとんどコンブが生えなくなってしまいました(図3)。
  
 
		
  このままでは今後,新たに作られる嵩上げ礁の効果にも疑問が生じてしまいますので,嵩上げ礁でコンブが生えなくなった原因を探ることとしました。
この礁は流れの速さによってウニの食害を防ぐ計画でしたから,それがうまく機能していないことが原因であると考えられました。そこで(1)礁の形が以前と比べて崩れたり,低くなっていないか,(2)礁に作用する波が近年小さくなっていないか,(3)この2点と合わせて天端面での流れが遅くなっていないかを検討しました。
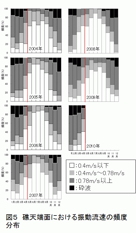
まず,(1)については,潜水と陸上測量を組み合わせ,2007年および2011年に礁の形状を計測しました。その結果,両年を比べて,周りを囲うブロックは変形しておらず,中の石材も一部で移動がみられるものの,礁全体での沈下等はありませんでした(図4)。(2)についてはインターネットで公開されている全国港湾海洋波浪情報網ナウファスの通年データ(瀬棚港)を検討したところ,近年特に波高が小さくはなっていたり,凪が続いていたということもありませんでした。そこで(1),(2)のデータを元に(3)天端面での流れの速さを計算してみたところ,これも礁にコンブ群落が形成されていた頃と近年で,1月~4月の間の流速頻度分布に大きな差は無く,食圧は低く抑えられていたと考えられました(図5)。ちなみに,流れが0.4m/sを超えるとキタムラサキウニは餌を食べられなくなります。
以上(1)~(3)の結果から,礁自体に問題はなく,ウニの食圧も低く抑えられており,近年のホソメコンブ群落形成不良の原因は他にあると推察されました。
  
 
		この礁は流れの速さによってウニの食害を防ぐ計画でしたから,それがうまく機能していないことが原因であると考えられました。そこで(1)礁の形が以前と比べて崩れたり,低くなっていないか,(2)礁に作用する波が近年小さくなっていないか,(3)この2点と合わせて天端面での流れが遅くなっていないかを検討しました。
まず,(1)については,潜水と陸上測量を組み合わせ,2007年および2011年に礁の形状を計測しました。その結果,両年を比べて,周りを囲うブロックは変形しておらず,中の石材も一部で移動がみられるものの,礁全体での沈下等はありませんでした(図4)。(2)についてはインターネットで公開されている全国港湾海洋波浪情報網ナウファスの通年データ(瀬棚港)を検討したところ,近年特に波高が小さくはなっていたり,凪が続いていたということもありませんでした。そこで(1),(2)のデータを元に(3)天端面での流れの速さを計算してみたところ,これも礁にコンブ群落が形成されていた頃と近年で,1月~4月の間の流速頻度分布に大きな差は無く,食圧は低く抑えられていたと考えられました(図5)。ちなみに,流れが0.4m/sを超えるとキタムラサキウニは餌を食べられなくなります。
以上(1)~(3)の結果から,礁自体に問題はなく,ウニの食圧も低く抑えられており,近年のホソメコンブ群落形成不良の原因は他にあると推察されました。
その他の原因の検討
  原因の一つとして水温が上げられます。なぜなら,過去に冬期間の水温が高い年は,ウニの食圧が抑制されていたと考えられる場所でもコンブ群落の形成が良くなかったことが示されており(検討中),かつ,近年は冬期間の水温が高い傾向を示しているからです。水温が高いことがホソメコンブにどのような影響を与えるかは,未解明の部分が残されていますが,考えられることとして,母藻(放出される遊走子量)への影響,発生初期の成長・生残への影響等が考えられます。
一つずつ不明な点を潰してゆくため,今年(2011年)は天然で遊走子が放出されている12月初めに,室内で遊走子を付着させた小型のコンクリート板1枚と,そのままのコンクリート板1枚の2枚を1セットとし,これを6セット,嵩上げ礁の上に取り付けました。来春になり,このコンクリート板上の様子を見れば,ウニの食害が強いのか,天然での遊走子の放出量が少ないのかが判明し,今後のウニ増殖場の管理のあり方を検討する基礎資料になると考えています。
 
   一つずつ不明な点を潰してゆくため,今年(2011年)は天然で遊走子が放出されている12月初めに,室内で遊走子を付着させた小型のコンクリート板1枚と,そのままのコンクリート板1枚の2枚を1セットとし,これを6セット,嵩上げ礁の上に取り付けました。来春になり,このコンクリート板上の様子を見れば,ウニの食害が強いのか,天然での遊走子の放出量が少ないのかが判明し,今後のウニ増殖場の管理のあり方を検討する基礎資料になると考えています。
(中央水産試験場 資源増殖部 金田友紀)
  
